Cost-Effective Preparation of Gold Tailing-Based Aerogels for Efficient Adsorption of Copper Ions from Wastewater
Abstract
:1. Introduction
2. Experimental Section
2.1. Materials
2.2. Experiment
2.2.1. Synthesis of the Silica Aerogel
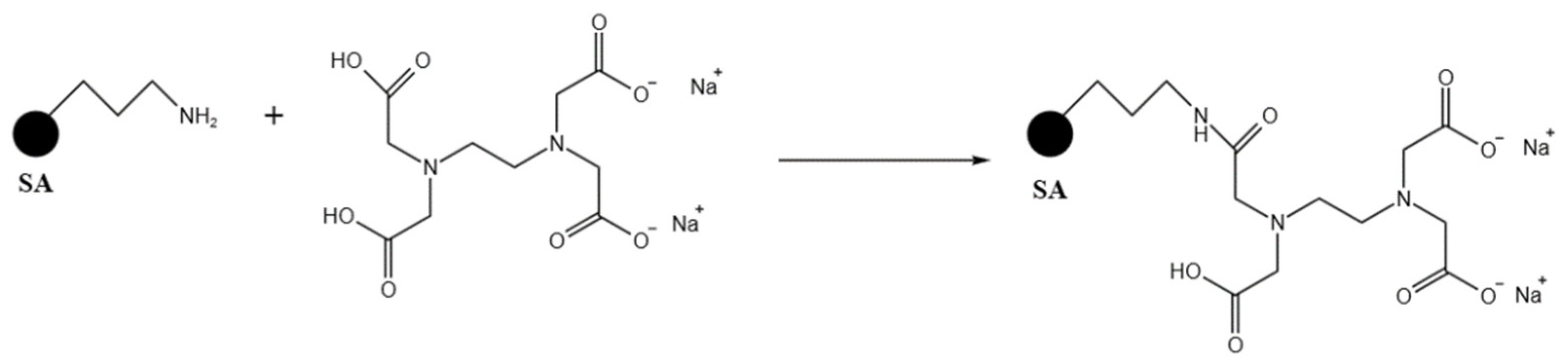
2.2.2. Synthesis of Amino-Modified SA
2.2.3. Synthesis of Carboxyl-Modified SA
2.2.4. Synthesis of Chitosan-Modified SA
2.3. Heavy Metal Adsorption Experiments
2.4. Characterizations
3. Results and Discussion
3.1. Physiochemical Characterizations
3.2. Adsorption Analysis
4. Conclusions
Author Contributions
Funding
Conflicts of Interest
References
- Wang, X.; Wang, J.; Teng, W.; Du, Y.; Wu, J.; Guo, F.; Chen, B. Fabrication of highly efficient magnesium silicate and its adsorption behavior towards Cr(VI). Microporous Mesoporous Mater. 2021, 323, 111196. [Google Scholar] [CrossRef]
- Sun, L.; Wu, J.; Wang, J.; Yang, Y.; Xu, M.; Liu, J.; Yang, C.; Cai, Y.; He, H.; Du, Y.; et al. In-situ constructing nanostructured magnesium ferrite on steel slag for Cr(VI) photoreduction. J. Hazard. Mater. 2022, 422, 126951. [Google Scholar] [CrossRef] [PubMed]
- Ye, M.; Li, G.; Yan, P.; Ren, J.; Zheng, L.; Han, D.; Sun, S.; Huang, S.; Zhong, Y. Removal of metals from lead-zinc mine tailings using bioleaching and followed by sulfide precipitation. Chemosphere 2017, 185, 1189–1196. [Google Scholar] [CrossRef]
- Stala, L.; Ulatowska, J.; Polowczyk, I. A review of polyampholytic ion scavengers for toxic metal ion removal from aqueous systems. Water Res. 2021, 203, 117523. [Google Scholar] [CrossRef]
- Qasem, N.A.A.; Mohammed, R.H.; Lawal, D.U. Removal of heavy metal ions from wastewater: A comprehensive and critical review. npj Clean Water 2021, 4, 36. [Google Scholar] [CrossRef]
- Liu, J.; Liu, A.; Zhang, W.-x. The influence of polyelectrolyte modification on nanoscale zero-valent iron (nZVI): Aggregation, sedimentation, and reactivity with Ni(II) in water. Chem. Eng. J. 2016, 303, 268–274. [Google Scholar] [CrossRef]
- d’Halluin, M.; Rull-Barrull, J.; Bretel, G.; Labrugère, C.; Le Grognec, E.; Felpin, F.-X. Chemically Modified Cellulose Filter Paper for Heavy Metal Remediation in Water. ACS Sustain. Chem. Eng. 2017, 5, 1965–1973. [Google Scholar] [CrossRef]
- Siddiqui, S.I.; Chaudhry, S.A. A review on graphene oxide and its composites preparation and their use for the removal of As3+and As5+ from water under the effect of various parameters: Application of isotherm, kinetic and thermodynamics. Process. Saf. Environ. Prot. 2018, 119, 138–163. [Google Scholar] [CrossRef]
- Feng, X.; Long, R.; Wang, L.; Liu, C.; Bai, Z.; Liu, X. A review on heavy metal ions adsorption from water by layered double hydroxide and its composites. Sep. Purif. Technol. 2022, 284, 120099. [Google Scholar] [CrossRef]
- Xiao, Z.; Li, Z.; Meng, X.; Wang, R. MXene-engineered lithium–sulfur batteries. J. Mater. Chem. A 2019, 7, 22730–22743. [Google Scholar] [CrossRef]
- Kolodynska, D.; Geca, M.; Skwarek, E.; Goncharuk, O. Titania-Coated Silica Alone and Modified by Sodium Alginate as Sorbents for Heavy Metal Ions. Nanoscale Res. Lett 2018, 13, 96. [Google Scholar] [CrossRef] [PubMed]
- Gdula, K.; Dąbrowski, A.; Skwarek, E. Synthesis, surface characterization and electrokinetic properties of colloidal silica nanoparticles with magnetic core. Adsorption 2016, 22, 681–688. [Google Scholar] [CrossRef]
- Li, J.; Dong, X.; Liu, X.; Xu, X.; Duan, W.; Park, J.; Gao, L.; Lu, Y. Comparative Study on the Adsorption Characteristics of Heavy Metal Ions by Activated Carbon and Selected Natural Adsorbents. Sustainability 2022, 14, 15579. [Google Scholar] [CrossRef]
- Mo, L.; Zhang, S.; Qi, F.; Huang, A. Highly stable cellulose nanofiber/polyacrylamide aerogel via in-situ physical/chemical double crosslinking for highly efficient Cu(II) ions removal. Int. J. Biol. Macromol. 2022, 209, 1922–1932. [Google Scholar] [CrossRef] [PubMed]
- Gladysz-Plaska, A.; Skwarek, E.; Budnyak, T.M.; Kolodynska, D. Metal Ions Removal Using Nano Oxide Pyrolox Material. Nanoscale Res. Lett. 2017, 12, 95. [Google Scholar] [CrossRef]
- Mazrouei-Sebdani, Z.; Begum, H.; Schoenwald, S.; Horoshenkov, K.V.; Malfait, W.J. A review on silica aerogel-based materials for acoustic applications. J. Non-Cryst. Solids 2021, 562, 120770. [Google Scholar] [CrossRef]
- Mazrouei-Sebdani, Z.; Naeimirad, M.; Peterek, S.; Begum, H.; Galmarini, S.; Pursche, F.; Baskin, E.; Zhao, S.; Gries, T.; Malfait, W.J. Multiple assembly strategies for silica aerogel-fiber combinations—A review. Mater. Des. 2022, 223, 111228. [Google Scholar] [CrossRef]
- Mobley, L.R.; Scott, L.; Rutherford, Y.; Kuo, T.M. Using residential segregation to predict colorectal cancer stage at diagnosis: Two different approaches. Ann. Epidemiol. 2017, 27, 10–19. [Google Scholar] [CrossRef]
- Zhang, X.; Chen, Z.; Zhang, J.; Yu, Q.; Cui, S. Rapid synthesis of silica aerogels by microwave irradiation. J. Porous Mater. 2021, 28, 1469–1479. [Google Scholar] [CrossRef]
- Han, H.; Wei, W.; Jiang, Z.; Lu, J.; Zhu, J.; Xie, J. Removal of cationic dyes from aqueous solution by adsorption onto hydrophobic/hydrophilic silica aerogel. Colloids Surf. A Physicochem. Eng. Asp. 2016, 509, 539–549. [Google Scholar] [CrossRef]
- Liu, Q.; Liu, Y.; Zhang, Z.; Wang, X.; Shen, J. Adsorption of cationic dyes from aqueous solution using hydrophilic silica aerogel via ambient pressure drying. Chin. J. Chem. Eng. 2020, 28, 2467–2473. [Google Scholar] [CrossRef]
- Wiehn, M.; Levario, T.J.; Staggs, K.; Linneen, N.; Wang, Y.; Pfeffer, R.; Lin, Y.S.; Nielsen, D.R. Adsorption of Short-Chain Alcohols by Hydrophobic Silica Aerogels. Ind. Eng. Chem. Res. 2013, 52, 18379–18385. [Google Scholar] [CrossRef]
- Mazrouei-Sebdani, Z.; Salimian, S.; Khoddami, A.; Shams-Ghahfarokhi, F. Sodium silicate based aerogel for absorbing oil from water: The impact of surface energy on the oil/water separation. Mater. Res. Express 2019, 6, 085059. [Google Scholar] [CrossRef]
- Perdigoto, M.L.; Martins, R.C.; Rocha, N.; Quina, M.J.; Gando-Ferreira, L.; Patricio, R.; Duraes, L. Application of hydrophobic silica based aerogels and xerogels for removal of toxic organic compounds from aqueous solutions. J. Colloid Interface Sci. 2012, 380, 134–140. [Google Scholar] [CrossRef] [PubMed]
- Ihsanullah, I.; Sajid, M.; Khan, S.; Bilal, M. Aerogel-based adsorbents as emerging materials for the removal of heavy metals from water: Progress, challenges, and prospects. Sep. Purif. Technol. 2022, 291, 120923. [Google Scholar] [CrossRef]
- Pornchuti, B.; Pongpattananurak, B.; Sutthiard, D.; Singtothong, P. Adsorption of copper, nickel and chromium ions using silica aerogel synthesized by ambient-pressure drying and modified with EDTA. IOP Conf. Ser. Mater. Sci. Eng. 2020, 778, 012133. [Google Scholar] [CrossRef]
- Liu, T.; Liu, Q.; Liu, Y.; Yao, H.; Zhang, Z.; Wang, X.; Shen, J. Fabrication of methyl acrylate modified silica aerogel for capture of Cu2+ from aqueous solutions. J. Sol.-Gel Sci. Technol. 2021, 98, 389–400. [Google Scholar] [CrossRef]
- Han, X.; Wang, Y.; Zhang, N.; Meng, J.; Li, Y.; Liang, J. Facile synthesis of mesoporous silica derived from iron ore tailings for efficient adsorption of methylene blue. Colloids Surf. A Physicochem. Eng. Asp. 2021, 617, 126391. [Google Scholar] [CrossRef]
- Dong, K.; Xie, F.; Wang, W.; Chang, Y.; Lu, D.; Gu, X.; Chen, C. The detoxification and utilization of cyanide tailings: A critical review. J. Clean. Prod. 2021, 302, 126946. [Google Scholar] [CrossRef]
- Hong, W.; Liu, X.; Srinivasakannan, C.; Duan, X.; Wang, X. Novel Aerogel Absorbent Derived from Iron Tailings Via Atmospheric Drying. Arab. J. Sci. Eng. 2021, 47, 6901–6914. [Google Scholar] [CrossRef]
- Rodríguez-Estupiñán, P.; Legnoverde, M.S.; Simonetti, S.; Díaz Compañy, A.; Juan, A.; Giraldo, L.; Moreno-Piraján, J.C.; Basaldella, E.I. Influence of functionalization, surface area and charge distribution of SBA15-based adsorbents on CO (II) and NI (II) removal from aqueous solutions. J. Environ. Chem. Eng. 2020, 8, 103671. [Google Scholar] [CrossRef]
- Sun, D.; Qin, Z.; Gao, J.; Gao, Y. Improvement of spectrophotometric method for determination of copper ions con-centration in solution by copper reagent. Chem. Eng. 2019, 33, 70–73. [Google Scholar]
- Jiang, Z.; Chen, K.; Zhang, Y.; Wang, Y.; Wang, F.; Zhang, G.; Dionysiou, D.D. Magnetically recoverable MgFe2O4/conjugated polyvinyl chloride derivative nanocomposite with higher visible-light photocatalytic activity for treating Cr(VI)-polluted water. Sep. Purif. Technol. 2020, 236, 116272. [Google Scholar] [CrossRef]
- Ji, X.; Zhou, Q.; Qiu, G.; Yue, C.; Guo, M.; Chen, F.; Zhang, M. Preparation of monolithic silica-based aerogels with high thermal stability by ambient pressure drying. Ceram. Int. 2018, 44, 11923–11931. [Google Scholar] [CrossRef]
- Feng, Q.; Chen, K.; Ma, D.; Lin, H.; Liu, Z.; Qin, S.; Luo, Y. Synthesis of high specific surface area silica aerogel from rice husk ash via ambient pressure drying. Colloids Surf. A Physicochem. Eng. Asp. 2018, 539, 399–406. [Google Scholar] [CrossRef]
- Kaya Ekinci, E.; Oktar, N. Production of value-added chemicals from esterification of waste glycerol over MCM-41 supported catalysts. Green Process. Synth. 2019, 8, 128–134. [Google Scholar] [CrossRef]
- Tang, R.; Hong, W.; Srinivasakannan, C.; Liu, X.; Wang, X.; Duan, X. A Novel Mesoporous Fe-Silica Aerogel Composite with Phenomenal Adsorption Capacity for Malachite Green. Sep. Purif. Technol. 2022, 281, 119950. [Google Scholar] [CrossRef]
- Hu, W.; Li, M.; Chen, W.; Zhang, N.; Li, B.; Wang, M.; Zhao, Z. Preparation of Hydro-phobic Silica Aerogel with Kaolin Dried at Ambient Pressure. Colloids Surf. A Physicochem. Eng. Asp. 2016, 501, 83–91. [Google Scholar] [CrossRef]
- Shi, L.; Zeng, F.; Cheng, X.; Lam, K.H.; Wang, W.; Wang, A.; Jin, Z.; Wu, F.; Yang, Y. Enhanced performance of lithium-sulfur batteries with high sulfur loading utilizing ion selective MWCNT/SPANI modified separator. Chem. Eng. J. 2018, 334, 305–312. [Google Scholar] [CrossRef]
- Sun, D.; Li, K.; Sui, X.; Zhou, C.; Liu, F. Research of silica aerogels prepared by acidic silica sol under the condition of atmospheric pressure drying. J. Porous Mater. 2017, 25, 341–349. [Google Scholar] [CrossRef]
- Huang, J.; Ye, M.; Qu, Y.; Chu, L.; Chen, R.; He, Q.; Xu, D. Pb (II) removal from aqueous media by EDTA-modified mesoporous silica SBA-15. J. Colloid Interface Sci. 2012, 385, 137–146. [Google Scholar] [CrossRef]
- Khedkar, M.V.; Somvanshi, S.B.; Humbe, A.V.; Jadhav, K.M. Surface modified sodium silicate based superhydrophobic silica aerogels prepared via ambient pressure drying process. J. Non-Cryst. Solids 2019, 511, 140–146. [Google Scholar] [CrossRef]
- Zhao, W.; Fu, Y.; Chen, Y.; Sun, J.; Tang, Q.; Jiang, B.; Kong, H.; Xu, F.; Ji, Q. Effective fenton catalyst from controllable framework doping of Fe in porous silica spheres. Microporous Mesoporous Mater. 2021, 312, 110704. [Google Scholar] [CrossRef]
- Zhang, Y.; Xiang, L.; Shen, Q.; Li, X.; Wu, T.; Zhang, J.; Nie, C. Rapid synthesis of dual-mesoporous silica aerogel with excellent adsorption capacity and ultra-low thermal conductivity. J. Non-Cryst. Solids 2021, 555, 120547. [Google Scholar] [CrossRef]
- Zhang, L.; Zhang, H.; Guo, W.; Tian, Y. Removal of Malachite Green and Crystal Violet Cati-onic Dyes from Aqueous Solution Using Activated Sintering Process Red Mud. Appl. Clay Sci. 2014, 93–94, 85–93. [Google Scholar]
- Muttakin, M.; Mitra, S.; Thu, K.; Ito, K.; Saha, B.B. Theoretical Framework to Evaluate Minimum Desorption Temperature for Iupac Classified Adsorption Isotherms. Int. J. Heat Mass Transf. 2018, 122, 795–805. [Google Scholar] [CrossRef]
- Ebisike, K.; Okoronkwo, A.E.; Alaneme, K.K. Adsorption of Cd (II) on chitosan–silica hybrid aerogel from aqueous solution. Environ. Technol. Innov. 2019, 14, 100337. [Google Scholar] [CrossRef]
- Vareda, J.P.; Duraes, L. Efficient adsorption of multiple heavy metals with tailored silica aerogel-like materials. Environ. Technol. 2019, 40, 529–541. [Google Scholar] [CrossRef]













| Sample | SA | SA-NH2 | SA-COOH | SA-Ch |
|---|---|---|---|---|
| Average particle diameter (nm) | 576 | 667 | 918 | 1195 |
| Sample | Specific Surface Area (m2/g) | Average Pore Diameter (nm) | Total Pore Volume (cc/g) |
|---|---|---|---|
| SA | 526.245 | 16.245 | 1.514 |
| SA-NH2 | 431.256 | 9.822 | 1.403 |
| SA-COOH | 400.421 | 9.523 | 1.366 |
| SA-Ch | 154.662 | 3.563 | 1.064 |
| SiO2 | Al2O3 | Fe2O3 | CaO | MgO | K2O | Na2O | TiO2 | P2O5 | SO3 | |
|---|---|---|---|---|---|---|---|---|---|---|
| Gold tailings | 57.7 | 17.2 | 6.33 | 5.97 | 3.77 | 3.74 | 3.02 | 0.627 | 0.317 | 0.683 |
| Alkali slag | 41.5 | 15.0 | 6.63 | 5.73 | 2.54 | 2.03 | 25.1 | 0.605 | 0.128 | 0.206 |
| SA | 91.1 | 3.13 | 0.505 | 0.291 | 0.148 | 0.223 | 3.25 | 0.188 | 0.448 | 0.226 |
Disclaimer/Publisher’s Note: The statements, opinions and data contained in all publications are solely those of the individual author(s) and contributor(s) and not of MDPI and/or the editor(s). MDPI and/or the editor(s) disclaim responsibility for any injury to people or property resulting from any ideas, methods, instructions or products referred to in the content. |
© 2023 by the authors. Licensee MDPI, Basel, Switzerland. This article is an open access article distributed under the terms and conditions of the Creative Commons Attribution (CC BY) license (https://creativecommons.org/licenses/by/4.0/).
Share and Cite
Wang, Y.; Cui, K.; Bai, J.; Fang, B.; Wang, F. Cost-Effective Preparation of Gold Tailing-Based Aerogels for Efficient Adsorption of Copper Ions from Wastewater. Water 2023, 15, 669. https://doi.org/10.3390/w15040669
Wang Y, Cui K, Bai J, Fang B, Wang F. Cost-Effective Preparation of Gold Tailing-Based Aerogels for Efficient Adsorption of Copper Ions from Wastewater. Water. 2023; 15(4):669. https://doi.org/10.3390/w15040669
Chicago/Turabian StyleWang, Yingjie, Kaibin Cui, Jiaxuan Bai, Baizeng Fang, and Fei Wang. 2023. "Cost-Effective Preparation of Gold Tailing-Based Aerogels for Efficient Adsorption of Copper Ions from Wastewater" Water 15, no. 4: 669. https://doi.org/10.3390/w15040669
APA StyleWang, Y., Cui, K., Bai, J., Fang, B., & Wang, F. (2023). Cost-Effective Preparation of Gold Tailing-Based Aerogels for Efficient Adsorption of Copper Ions from Wastewater. Water, 15(4), 669. https://doi.org/10.3390/w15040669

