Unveiling Distribution, Hydrogeochemical Behavior and Environmental Risk of Chromium in Tannery Wastewater
Abstract
1. Introduction
2. Materials and Methods
2.1. Description of the Study Area
2.2. Tannery Wastewater Sampling
2.3. Environmental Risk Assessment of Chromium-Bearing Wastewater
2.4. Quality Control and Analytical Precision
2.5. Geochemical Modeling for Saturation Index
2.6. Multivariate Analysis
3. Results and Discussion
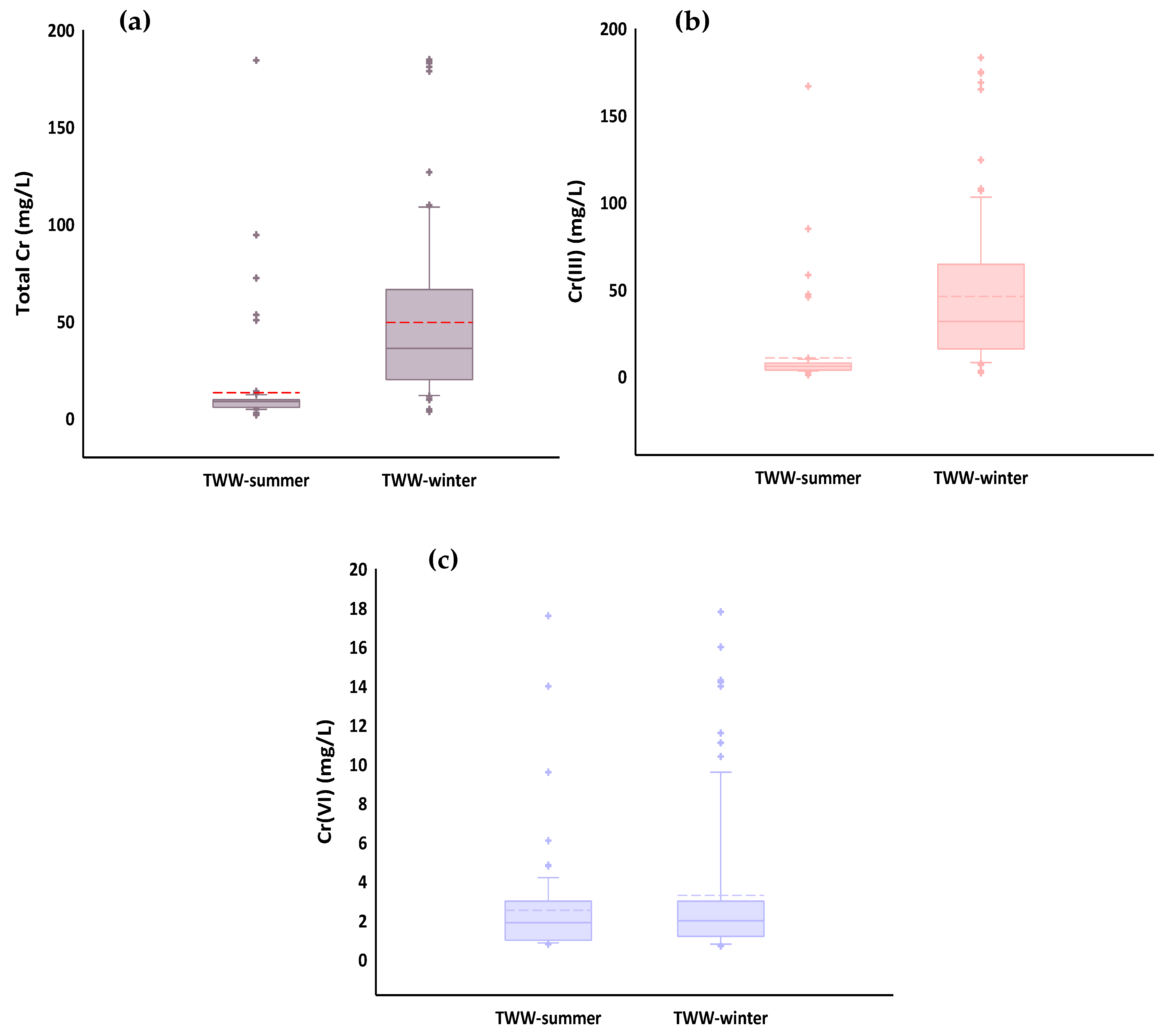
3.1. Distribution of Chromium and Speciation in Wastewater
3.2. Chromium Speciation in Wastewater
3.3. Tannery Wastewater Attributes
3.4. Multivariate Analysis of Various Attributes in Tannery Wastewater
3.5. Principal Component Analysis
3.6. Saturation Indices for Estimating Possible Mineral-Phases
3.7. Geochemical Speciation and Eh–pH Relationship of Chromium-Contaminated Tannery Wastewater
3.8. Environmental Risk Assessment of Tannery Wastewater
4. Conclusions
Supplementary Materials
Author Contributions
Funding
Institutional Review Board Statement
Informed Consent Statement
Data Availability Statement
Acknowledgments
Conflicts of Interest
References
- Laxmi, V.; Kaushik, G. Toxicity of Hexavalent Chromium in Environment, Health Threats, and Its Bioremediation and Detoxification from Tannery Wastewater for Environmental Safety. In Bioremediation of Industrial Waste for Environmental Safety: Volume I: Industrial Waste and Its Management; Saxena, G., Bharagava, R., Eds.; Springer: Singapore, 2020; pp. 223–243. [Google Scholar]
- Yahya, M.D.; Obayomi, K.S.; Abdulkadir, M.B.; Iyaka, Y.A.; Olugbenga, A.G. Characterization of cobalt ferrite-supported activated carbon for removal of chromium and lead ions from tannery wastewater via adsorption equilibrium. Water Sci. Eng. 2020, 13, 202–213. [Google Scholar] [CrossRef]
- Liang, T.; Li, L.; Zhu, C.; Liu, X.; Li, H.; Su, Q.; Ye, J.; Geng, B.; Tian, Y.; Sardar, M.F.; et al. Adsorption of As(V) by the Novel and Efficient Adsorbent Cerium-Manganese Modified Biochar. Water 2020, 12, 2720. [Google Scholar] [CrossRef]
- Hasan, I.M.U.; Javed, H.; Hussain, M.M.; Shakoor, M.B.; Bibi, I.; Shahid, M.; Farwa; Xu, N.; Wei, Q.; Qiao, J.; et al. Biochar/nano-zerovalent zinc-based materials for arsenic removal from contaminated water. Int. J. Phytoremediation 2022, 2022, 2140778. [Google Scholar] [CrossRef]
- Khan, M.U.; Malik, R.N.; Muhammad, S. Human health risk from Heavy metal via food crops consumption with wastewater irrigation practices in Pakistan. Chemosphere 2013, 93, 2230–2238. [Google Scholar] [CrossRef] [PubMed]
- Czikkely, M.; Neubauer, E.; Fekete, I.; Ymeri, P.; Fogarassy, C. Review of Heavy Metal Adsorption Processes by Several Organic Matters from Wastewaters. Water 2018, 10, 1377. [Google Scholar] [CrossRef]
- Sardar, M.; Ahmad, H.; Zıa-Ur-Rehman, M. Absorption of foliar-applied lead (Pb) in rice (Oryza sativa L.): A hydroponic experiment. Fresenius Env. Bull 2018, 27, 6634–6639. [Google Scholar]
- Younas, F.; Niazi, N.K.; Bibi, I.; Afzal, M.; Hussain, K.; Shahid, M.; Aslam, Z.; Bashir, S.; Hussain, M.M.; Bundschuh, J. Constructed wetlands as a sustainable technology for wastewater treatment with emphasis on chromium-rich tannery wastewater. J. Hazard. Mater. 2021, 422, 126926. [Google Scholar] [CrossRef]
- Kazakis, N.; Kantiranis, N.; Kalaitzidou, K.; Kaprara, E.; Mitrakas, M.; Frei, R.; Vargemezis, G.; Tsourlos, P.; Zouboulis, A.; Filippidis, A. Origin of hexavalent chromium in groundwater: The example of Sarigkiol Basin, Northern Greece. Sci. Total. Environ. 2017, 593-594, 552–566. [Google Scholar] [CrossRef]
- Khalid, S.; Shahid, M.; Dumat, C.; Niazi, N.K.; Bibi, I.; Bakhat, H.F.S.G.; Abbas, G.; Murtaza, B.; Javeed, H.M.R. Influence of groundwater and wastewater irrigation on lead accumulation in soil and vegetables: Implications for health risk assessment and phytoremediation. Int. J. Phytoremediation 2017, 19, 1037–1046. [Google Scholar] [CrossRef]
- Khalid, S.; Shahid, M.; Natasha; Bibi, I.; Sarwar, T.; Shah, A.H.; Niazi, N.K. A Review of Environmental Contamination and Health Risk Assessment of Wastewater Use for Crop Irrigation with a Focus on Low and High-Income Countries. Int. J. Environ. Res. Public Heal. 2018, 15, 895. [Google Scholar] [CrossRef]
- Natasha; Bibi, I.; Niazi, N.K.; Shahid, M.; Ali, F.; Hasan, I.M.U.; Rahman, M.M.; Younas, F.; Hussain, M.M.; Mehmood, T.; et al. Distribution and ecological risk assessment of trace elements in the paddy soil-rice ecosystem of Punjab, Pakistan. Environ. Pollut. 2022, 307, 119492. [Google Scholar] [CrossRef] [PubMed]
- Ali, A.; Hussain, M.M.; Niazi, N.K.; Younas, F.; Farooqi, Z.U.R.; Zeeshan, N.; Javed, M.T.; Shahid, M.; Bibi, I. A Comparison of Technologies for Remediation of Arsenic-Bearing Water: The Significance of Constructed Wetlands. In Global Arsenic Hazard: Ecotoxicology and Remediation; Niazi, N., Bibi, I., Aftab, T., Eds.; Springer International Publishing: Cham, Switzerland, 2022; pp. 223–245. [Google Scholar] [CrossRef]
- Homa, D.; Haile, E.; Washe, A.P. Determination of Spatial Chromium Contamination of the Environment around Industrial Zones. Int. J. Anal. Chem. 2016, 2016, 7214932. [Google Scholar] [CrossRef] [PubMed]
- Apollaro, C.; Fuoco, I.; Brozzo, G.; De Rosa, R. Release and fate of Cr(VI) in the ophiolitic aquifers of Italy: The role of Fe(III) as a potential oxidant of Cr(III) supported by reaction path modelling. Sci. Total. Environ. 2019, 660, 1459–1471. [Google Scholar] [CrossRef] [PubMed]
- Vasileiou, E.; Papazotos, P.; Dimitrakopoulos, D.; Perraki, M. Expounding the origin of chromium in groundwater of the Sarigkiol basin, Western Macedonia, Greece: A cohesive statistical approach and hydrochemical study. Environ. Monit. Assess. 2019, 191, 509. [Google Scholar] [CrossRef] [PubMed]
- Ma, H.; Li, X.; Zhu, C.; Chen, F.; Yang, Y.; Chen, X. Liberation and recovery of Cr from real tannery sludge by ultrasound-assisted supercritical water oxidation treatment. J. Clean. Prod. 2020, 267. [Google Scholar] [CrossRef]
- Guo, S.-S.; Xu, Y.-H.; Yang, J.-Y. Simulating the migration and species distribution of Cr and inorganic ions from tanneries in the vadose zone. J. Environ. Manag. 2021, 288, 112441. [Google Scholar] [CrossRef]
- Izbicki, J.A.; Ball, J.W.; Bullen, T.D.; Sutley, S.J. Chromium, chromium isotopes and selected trace elements, western Mojave Desert, USA. Appl. Geochem. 2008, 23, 1325–1352. [Google Scholar] [CrossRef]
- Khan, M.; Ahad, S. Analysis Of Kasur Tannery Pre Treated Wastewater For Its Metal Toxicity. J. Appl. Chem. 2015, 4, 572–577. [Google Scholar]
- Zaheer, I.; Ali, S.; Saleem, M.; Imran, M.; Alnusairi, G.; Alharbi, B.; Riaz, M.; Abbas, Z.; Rizwan, M.; Soliman, M. Role of iron–lysine on morpho-physiological traits and combating chromium toxicity in rapeseed (Brassica napus L.) plants irrigated with different levels of tannery wastewater. Plant Physiol. Biochem. 2020, 155, 70–84. [Google Scholar] [CrossRef]
- Zaheer, I.E.; Ali, S.; Rizwan, M.; Bareen, F.-E.; Abbas, Z.; Bukhari, S.A.H.; Wijaya, L.; Alyemeni, M.N.; Ahmad, P. Zinc-lysine prevents chromium-induced morphological, photosynthetic, and oxidative alterations in spinach irrigated with tannery wastewater. Environ. Sci. Pollut. Res. 2019, 26, 28951–28961. [Google Scholar] [CrossRef]
- Ashraf, S.; Naveed, M.; Afzal, M.; Seleiman, M.F.; Al-Suhaibani, N.A.; Zahir, Z.A.; Mustafa, A.; Refay, Y.; Alhammad, B.A.; Ashraf, S.; et al. Unveiling the Potential of Novel Macrophytes for the Treatment of Tannery Effluent in Vertical Flow Pilot Constructed Wetlands. Water 2020, 12, 549. [Google Scholar] [CrossRef]
- Younas, F.; Bibi, I.; Afzal, M.; Niazi, N.K.; Aslam, Z. Elucidating the Potential of Vertical Flow-Constructed Wetlands Vegetated with Different Wetland Plant Species for the Remediation of Chromium-Contaminated Water. Sustainability 2022, 14, 5230. [Google Scholar] [CrossRef]
- Shah, S.W.A.; Rehman, M.U.; Hayat, A.; Tahseen, R.; Bajwa, S.; Islam, E.; Naqvi, S.N.H.; Shabir, G.; Iqbal, S.; Afzal, M.; et al. Enhanced Degradation of Ciprofloxacin in Floating Treatment Wetlands Augmented with Bacterial Cells Immobilized on Iron Oxide Nanoparticles. Sustainability 2022, 14, 14997. [Google Scholar] [CrossRef]
- Afzal, M.; Shabir, G.; Iqbal, S.; Mustafa, T.; Khan, Q.M.; Khalid, Z.M. Assessment of Heavy Metal Contamination in Soil and Groundwater at Leather Industrial Area of Kasur, Pakistan. CLEAN Soil, Air, Water 2013, 42, 1133–1139. [Google Scholar] [CrossRef]
- Joyia, F.A.; Ashraf, M.Y.; Shafiq, F.; Anwar, S.; Nisa, Z.-U.; Khaliq, B.; Malik, A. Phytotoxic effects of varying concentrations of leather tannery effluents on cotton and brinjal. Agric. Water Manag. 2020, 246, 106707. [Google Scholar] [CrossRef]
- Abbas, M.; Rahman, M.A.U.; Safdar, A. Detection of Heavy Metals Concentration Due to Leather Tanning Industry and Prevalent Disease Pattern in Kasur, Pakistan. Environ. Urban. ASIA 2012, 3, 375–384. [Google Scholar] [CrossRef]
- Andleeb, S.; Mahmood, T.; Khalid, A.; Akrim, F.; Fatima, H. Hexavalent chromium induces testicular dysfunction in small Indian mongoose (Herpestes javanicus) inhabiting tanneries area of Kasur District, Pakistan. Ecotoxicol. Environ. Saf. 2018, 148, 1001–1009. [Google Scholar] [CrossRef]
- Bozlur Rahman, M. Design and Fabrication of Column Filtration Reactor for the Removal of Dissolved Dyes from Tannery Wastewater. Master’s Thesis, Bangladesh University of Engineering and Technology, Dhaka, Bangladesh, 2004. [Google Scholar]
- Spellman, F. Water & Wastewater Infrastructure: Energy Efficiency and Sustainability; Crc Press: Boca Raton, FL, USA, 2013. [Google Scholar]
- Ryan, J.; Estefan, G.; Rashid, A. Soil and Plant Analysis Laboratory Manual; ICARDA: Beirut, Liban, 2001. [Google Scholar]
- Saritha, B.; Chockalingam, M.; Bist, B. Evaluation and Characterization of Tannery Wastewater. Int. J. Pure Appl. Math. 2018, 119, 8479–8487. [Google Scholar]
- NEQS. The Gazette of Pakistan, Extraordinary, Islamabad; Part II, Statutory Notification (SRO); Government of Pakistan, Envi-ronmental and Urban Affairs Division (Pakistan Environmental Protection Agency): Islamabad, Pakistan, 1999.
- Mekuria, D.M.; Kassegne, A.B.; Asfaw, S.L. Assessing pollution profiles along Little Akaki River receiving municipal and industrial wastewaters, Central Ethiopia: Implications for environmental and public health safety. Heliyon 2021, 7, e07526. [Google Scholar] [CrossRef]
- Bibi, I.; Singh, B.; Silvester, E. Dissolution of illite in saline–acidic solutions at 25 °C. Geochim. Cosmochim. Acta 2011, 75, 3237–3249. [Google Scholar] [CrossRef]
- Dotro, G.; Larsen, D.; Palazolo, P. Preliminary Evaluation of Biological and Physical–Chemical Chromium Removal Mechanisms in Gravel Media Used in Constructed Wetlands. Water, Air, Soil Pollut. 2010, 215, 507–515. [Google Scholar] [CrossRef]
- Shakoor, M.B.; Bibi, I.; Niazi, N.K.; Shahid, M.; Nawaz, M.F.; Farooqi, A.; Naidu, R.; Rahman, M.M.; Murtaza, G.; Lüttge, A. The evaluation of arsenic contamination potential, speciation and hydrogeochemical behaviour in aquifers of Punjab, Pakistan. Chemosphere 2018, 199, 737–746. [Google Scholar] [CrossRef]
- Bhalli, J.A.; Khan, Q.M. Pollution Level Analysis in Tannery Effluents Collected From Three Different Cities of Punjab, Pakistan. Pak. J. Biol. Sci. 2006, 9, 418–421. [Google Scholar] [CrossRef]
- Shakir, L.; Ejaz, S.; Ashraf, M.; Ahmad, N.; Javeed, A. Characterization of tannery effluent wastewater by proton-induced X-ray emission (PIXE) analysis to investigate their role in water pollution. Environ. Sci. Pollut. Res. 2011, 19, 492–501. [Google Scholar] [CrossRef] [PubMed]
- Shafiq, M.; Shaukat, T.; Nazir, A.; Bareen, F.-E. Modeling of Cr contamination in the agricultural lands of three villages near the leather industry in Kasur, Pakistan, using statistical and GIS techniques. Environ. Monit. Assess. 2017, 189, 1–18. [Google Scholar] [CrossRef]
- Parveen, R.; Ashfaq, M.; Qureshi, J.; Ali, S.M.M.; Qadri, M. Estimation of Chromium in Effluents from Tanneries of Korangi Industrial Area. Pak. J. Chem. 2013, 3, 29–33. [Google Scholar] [CrossRef]
- Hadad, H.; Maine, M.A.; Bonetto, C. Macrophyte growth in a pilot-scale constructed wetland for industrial wastewater treatment. Chemosphere 2006, 63, 1744–1753. [Google Scholar] [CrossRef]
- Khalid, N.; Rizvi, Z.F.; Yousaf, N.; Khan, S.M.; Noman, A.; Aqeel, M.; Latif, K.; Rafique, A. Rising Metals Concentration in the Environment: A Response to Effluents of Leather Industries in Sialkot. Bull. Environ. Contam. Toxicol. 2021, 106, 493–500. [Google Scholar] [CrossRef]
- Neelam, A.; Alamgir, A.; Kanwal, H. Determination of chromium in the tannery wastewater, Korangi, Karachi. Int. J. Environ. Sci. Nat. Resour. 2018, 15, 122–125. [Google Scholar] [CrossRef]
- Bibi, I.; Niazi, N.K.; Choppala, G.; Burton, E. Chromium(VI) removal by siderite (FeCO3) in anoxic aqueous solutions: An X-ray absorption spectroscopy investigation. Sci. Total. Environ. 2018, 640–641, 1424–1431. [Google Scholar] [CrossRef]
- Chowdhury, M.; Mostafa, G.; Biswas, T.K.; Mandal, A.; Saha, A.K. Characterization of the Effluents from Leather Processing Industries. Environ. Process. 2015, 2, 173–187. [Google Scholar] [CrossRef]
- Ashraf, S.; Naveed, M.; Afzal, M.; Ashraf, S.; Ahmad, S.R.; Rehman, K.; Zahir, Z.A.; Núñez-Delgado, A. Evaluation of Toxicity on Ctenopharyngodon idella Due to Tannery Effluent Remediated by Constructed Wetland Technology. Processes 2020, 8, 612. [Google Scholar] [CrossRef]
- Nur-E-Alam, M.; Mia, M.; Ahmad, F.; Rahman, M. An overview of chromium removal techniques from tannery effluent. Appl. Water Sci. 2020, 10, 205. [Google Scholar] [CrossRef]
- Mwinyihija, M.; Meharg, A.; Dawson, J.; Strachan, N.J.; Killham, K. An Ecotoxicological Approach to Assessing the Impact of Tanning Industry Effluent on River Health. Arch. Environ. Contam. Toxicol. 2006, 50, 316–324. [Google Scholar] [CrossRef] [PubMed]
- Sardar, M.F.; Zhu, C.; Geng, B.; Huang, Y.; Abbasi, B.; Zhang, Z.; Song, T.; Li, H. Enhanced control of sulfonamide resistance genes and host bacteria during thermophilic aerobic composting of cow manure. Environ. Pollut. 2021, 275, 116587. [Google Scholar] [CrossRef] [PubMed]
- Aregu, M.B.; Asfaw, S.L.; Khan, M.M. Developing horizontal subsurface flow constructed wetland using pumice and Chrysopogon zizanioides for tannery wastewater treatment. Environ. Syst. Res. 2021, 10, 1–13. [Google Scholar] [CrossRef]
- Afzal, M.; Rehman, K.; Shabir, G.; Tahseen, R.; Ijaz, A.; Hashmat, A.J.; Brix, H. Large-scale remediation of oil-contaminated water using floating treatment wetlands. NPJ Clean Water 2019, 2, 3. [Google Scholar] [CrossRef]
- Li, Y.; Cundy, A.B.; Feng, J.; Fu, H.; Wang, X.; Liu, Y. Remediation of hexavalent chromium contamination in chromite ore processing residue by sodium dithionite and sodium phosphate addition and its mechanism. J. Environ. Manag. 2017, 192, 100–106. [Google Scholar] [CrossRef]
- Liang, J.; Huang, X.; Yan, J.; Li, Y.; Zhao, Z.; Liu, Y.; Ye, J.; Wei, Y. A review of the formation of Cr(VI) via Cr(III) oxidation in soils and groundwater. Sci. Total. Environ. 2021, 774, 145762. [Google Scholar] [CrossRef]
- Dai, R.; Liu, J.; Yu, C.; Sun, R.; Lan, Y.; Mao, J.-D. A comparative study of oxidation of Cr(III) in aqueous ions, complex ions and insoluble compounds by manganese-bearing mineral (birnessite). Chemosphere 2009, 76, 536–541. [Google Scholar] [CrossRef]
- Li, P.; Wu, J.; Qian, H. Assessment of groundwater quality for irrigation purposes and identification of hydrogeochemical evolution mechanisms in Pengyang County, China. Environ. Earth Sci. 2012, 69, 2211–2225. [Google Scholar] [CrossRef]
- Natasha; Bibi, I.; Shahid, M.; Niazi, N.K.; Younas, F.; Naqvi, S.R.; Shaheen, S.M.; Imran, M.; Wang, H.; Hussaini, K.M.; et al. Hydrogeochemical and health risk evaluation of arsenic in shallow and deep aquifers along the different floodplains of Punjab, Pakistan. J. Hazard. Mater. 2020, 402, 124074. [Google Scholar] [CrossRef] [PubMed]
- Ghazaryan, K.; Chen, Y. Hydrochemical assessment of surface water for irrigation purposes and its influence on soil salinity in Tikanlik oasis, China. Environ. Earth Sci. 2016, 75, 383. [Google Scholar] [CrossRef]
- Kumar, P.S. Evolution of groundwater chemistry in and around Vaniyambadi Industrial Area: Differentiating the natural and anthropogenic sources of contamination. Geochemistry 2014, 74, 641–651. [Google Scholar] [CrossRef]
- Kanagaraj, G.; Elango, L. Chromium and fluoride contamination in groundwater around leather tanning industries in southern India: Implications from stable isotopic ratio δ53Cr/δ52Cr, geochemical and geostatistical modelling. Chemosphere 2019, 220, 943–953. [Google Scholar] [CrossRef]
- Shahid, M.; Shamshad, S.; Rafiq, M.; Khalid, S.; Bibi, I.; Niazi, N.K.; Dumat, C.; Rashid, M.I. Chromium speciation, bioavailability, uptake, toxicity and detoxification in soil-plant system: A review. Chemosphere 2017, 178, 513–533. [Google Scholar] [CrossRef]
- Unceta, N.; Séby, F.; Malherbe, J.; Donard, O.F.X. Chromium speciation in solid matrices and regulation: A review. Anal. Bioanal. Chem. 2010, 397, 1097–1111. [Google Scholar] [CrossRef]
- Mishra, S.; Lai, K.; Singh, V. Optimality and duality for minimax fractional programming with support function under (C,α,ρ,d)-convexity. J. Comput. Appl. Math. 2015, 274, 1–10. [Google Scholar] [CrossRef]
- Son, C.T.; Giang, N.T.H.; Thao, T.P.; Nui, N.H.; Lam, N.T.; Cong, V.H. Assessment of Cau River water quality assessment using a combination of water quality and pollution indices. J. Water Supply Res. Technol. 2020, 69, 160–172. [Google Scholar] [CrossRef]
- Matta, G.; Kumar, A.; Nayak, A.; Kumar, P.; Kumar, A.; Tiwari, A.K. Water Quality and Planktonic Composition of River Henwal (India) Using Comprehensive Pollution Index and Biotic-Indices. Trans. Indian Natl. Acad. Eng. 2020, 5, 541–553. [Google Scholar] [CrossRef]
- Goher, M.E.; Hassan, A.M.; Abdel-Moniem, I.A.; Fahmy, A.H.; El-Sayed, S.M. Evaluation of surface water quality and heavy metal indices of Ismailia Canal, Nile River, Egypt. Egypt. J. Aquat. Res. 2014, 40, 225–233. [Google Scholar] [CrossRef]




| TWW-Summer Sampling: n = 82 TWW-Winter Sampling: n = 82 | ||||||||
|---|---|---|---|---|---|---|---|---|
| Parameters | Mean | Median | Range | S.D (±) | Mean | Median | Range | S.D (±) |
| pH | 7.3 | 7.2 | 6.0–8.8 | 0.95 | 7.0 | 6.9 | 6.0–8.1 | 0.7 |
| EC (mS/cm) | 8.7 | 5.2 | 2.0–24.4 | 6.22 | 14.5 | 13.8 | 8.5–21.8 | 3.1 |
| TDS (g/L) | 4.2 | 2.7 | 1.0–11.9 | 3.05 | 7.6 | 8.0 | 5.0–11.9 | 2.7 |
| DO (mg/L) | 5.1 | 5.2 | 3.3–6.4 | 0.88 | 5.2 | 5.2 | 3.2–6.4 | 0.8 |
| Eh (mv) | −3.4 | −20.3 | −74.5–198 | 66.0 | −20.7 | −19.0 | −304–180 | 99.1 |
| Ca (mg/L) | 96.1 | 69.5 | 48.1–220 | 53.2 | 97.5 | 84.2 | 48.1–219 | 40.4 |
| Mg (mg/L) | 477.3 | 462.3 | 257.7–1161 | 165.1 | 509.1 | 483.1 | 358–774 | 112.4 |
| Total hardness (mg/L) | 573.2 | 531.7 | 350.0–1380 | 202.2 | 606.7 | 566.6 | 433.3–993.3 | 129.4 |
| Na (mg/L) | 324.3 | 295.9 | 147.0–564.5 | 127.5 | 345.7 | 351.0 | 117–643 | 122.1 |
| K (mg/L) | 151.7 | 129.4 | 62.9–283 | 55.2 | 184.6 | 163.0 | 91.3–354 | 63.6 |
| CO3 (mg/L) | 512.8 | 518.2 | 192.0–750 | 190.9 | 622.1 | 640.0 | 260–870 | 157.3 |
| HCO3 (mg/L) | 3119.9 | 3105.9 | 2199–4270 | 523.1 | 3301.7 | 3233.0 | 2623–4209 | 491.0 |
| Cl (mg/L) | 4136.6 | 4263.0 | 2408–5431 | 773.5 | 4542.8 | 4431.6 | 3147–5739 | 551.1 |
| SO4 (mg/L) | 1033.2 | 686.5 | 446–4097 | 881.1 | 1294.0 | 922.5 | 425–5161 | 938.9 |
| COD (mg/L) | 3340.4 | 2583.3 | 471–9286 | 2654.7 | 3509.0 | 2324.0 | 356–9397 | 3124.9 |
| BOD (mg/L) | 1712.2 | 1416.6 | 235–4693 | 1346.5 | 1954.0 | 1273.7 | 178–5400 | 1758.7 |
| Fe (mg/L) | 12.8 | 12.0 | 3.6–21.0 | 4.7 | 15.3 | 14.4 | 4.5–29.0 | 5.5 |
| Mn (mg/L) | 2.8 | 2.8 | 1.1–6.1 | 1.1 | 5.3 | 5.3 | 2.1–11.6 | 2.1 |
| Total Cr (mg/L) | 15.0 | 7.5 | 2.8–94.6 | 21.1 | 49.3 | 43.6 | 3.9–125 | 32.2 |
| Cr(VI) (mg/L) | 2.7 | 2.0 | 1.0–9.6 | 2.1 | 2.9 | 2.2 | 1.0–7.2 | 1.8 |
| Cr(III) (mg/L) | 12.4 | 5.8 | 1.7–85.0 | 19.1 | 46.3 | 38.8 | 2.5–122 | 31.4 |
| Parameters | TWW-Summer | NEQS Safe Limit | % Number of Samples >NEQS Limit | WHO | USEPA | TWW- Winter | % Number of Samples >NEQS Limit |
|---|---|---|---|---|---|---|---|
| pH | 7.3 | 6–10 | 0 | 6–9 | 6–9 | 7.0 | 0 |
| EC (mS/cm) | 8.7 | NG | - | - | 1.0 | 14.5 | - |
| TDS (mg/L) | 4200 | 3500 | 30 | 2100 | 500 | 7600 | 100 |
| DO (mg/L) | 5.1 | 6–9.5 | - | - | - | 5.2 | - |
| Eh (mV) | −3.4 | NG | - | - | - | −20 | - |
| Ca (mg/L) | 96 | NG | - | - | - | 97 | - |
| Mg (mg/L) | 477 | NG | - | 509 | - | ||
| Total hardness (mg/L) | 573 | NG | - | - | - | 606 | - |
| Na (mg/L) | 324 | 250 | 46 | - | - | 345 | 84 |
| K (mg/L) | 151 | NG | - | - | - | 184 | - |
| CO3 (mg/L) | 512 | NG | - | - | - | 622 | - |
| HCO3 (mg/L) | 3119 | NG | - | - | - | 3301 | - |
| Cl (mg/L) | 4136 | 1000 | 100 | - | - | 4542 | 100 |
| SO4 (mg/L) | 1033 | NG | - | - | - | 1294 | - |
| COD (mg/L) | 3340 | 150 | 100 | 250 | 500 | 3509 | 100 |
| BOD (mg/L) | 1712 | 80 | 100 | 30 | 300 | 1954 | 100 |
| Fe (mg/L) | 12.8 | 2.0 | 100 | - | 5.0 | 15.3 | 100 |
| Mn (mg/L) | 2.8 | 1.5 | 80 | - | - | 5.3 | 100 |
| Total Cr (mg/L) | 15.0 | 1.0 | 100 | 0.05 | 1.0 | 49 | 100 |
| Cr(VI) (mg/L) | 2.7 | 0.25 | 100 | - | - | 2.9 | 100 |
| Cr(III) (mg/L) | 12.4 | 0.75 | 100 | - | - | 46 | 100 |
| TWW-Summer (n = 82) | TWW-Winter (n = 82) | Single Factor Risk Category | |
|---|---|---|---|
| Parameters | SFEI | SFEI | |
| TDS | 1.2 | 2.1 | SFEI > 1: Water is contaminated |
| Na | 1.3 | 1.4 | |
| Cl | 4.1 | 4.5 | |
| COD | 22 | 23 | |
| BOD | 21 | 24 | |
| Fe | 6.4 | 7.6 | |
| Mn | 1.9 | 3.5 | |
| Total Cr | 15 | 49 | |
| Cr(VI) | 10 | 11 | |
| Cr(III) | 16 | 61 | |
| Total | 99 | 189 | |
| CCI | 9 | 18 | |
| Tannery wastewater quality class | V | V | |
| HEI | 23 | 60 | |
| Chromium risk category | High contamination | High contamination |
Disclaimer/Publisher’s Note: The statements, opinions and data contained in all publications are solely those of the individual author(s) and contributor(s) and not of MDPI and/or the editor(s). MDPI and/or the editor(s) disclaim responsibility for any injury to people or property resulting from any ideas, methods, instructions or products referred to in the content. |
© 2023 by the authors. Licensee MDPI, Basel, Switzerland. This article is an open access article distributed under the terms and conditions of the Creative Commons Attribution (CC BY) license (https://creativecommons.org/licenses/by/4.0/).
Share and Cite
Younas, F.; Bibi, I.; Afzal, M.; Al-Misned, F.; Niazi, N.K.; Hussain, K.; Shahid, M.; Shakil, Q.; Ali, F.; Wang, H. Unveiling Distribution, Hydrogeochemical Behavior and Environmental Risk of Chromium in Tannery Wastewater. Water 2023, 15, 391. https://doi.org/10.3390/w15030391
Younas F, Bibi I, Afzal M, Al-Misned F, Niazi NK, Hussain K, Shahid M, Shakil Q, Ali F, Wang H. Unveiling Distribution, Hydrogeochemical Behavior and Environmental Risk of Chromium in Tannery Wastewater. Water. 2023; 15(3):391. https://doi.org/10.3390/w15030391
Chicago/Turabian StyleYounas, Fazila, Irshad Bibi, Muhammad Afzal, Fahad Al-Misned, Nabeel Khan Niazi, Khalid Hussain, Muhammad Shahid, Qamar Shakil, Fawad Ali, and Hailong Wang. 2023. "Unveiling Distribution, Hydrogeochemical Behavior and Environmental Risk of Chromium in Tannery Wastewater" Water 15, no. 3: 391. https://doi.org/10.3390/w15030391
APA StyleYounas, F., Bibi, I., Afzal, M., Al-Misned, F., Niazi, N. K., Hussain, K., Shahid, M., Shakil, Q., Ali, F., & Wang, H. (2023). Unveiling Distribution, Hydrogeochemical Behavior and Environmental Risk of Chromium in Tannery Wastewater. Water, 15(3), 391. https://doi.org/10.3390/w15030391

