Assessing the Suitability of the Flood Defense Policy of Republic of Korea for Risk Reduction in Local Rivers
Abstract
1. Introduction
2. Dataset
2.1. Study Area
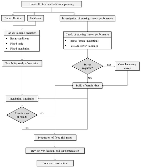
2.2. Flood Risk Maps
2.3. Spatial Inventory
3. Methodology
3.1. Development of Flood Risk Measurement Methodology in Republic of Korea
3.2. Range and Depth of Inundation
3.3. Damage Estimation
loss × average daily income
3.4. Expected Annual Damage Estimation
4. Results and Discussion
4.1. Analysis of Flood Damage
4.2. Relationship between the Flood Defense Level and Flood Damage Cost
4.3. Enhancement of Policies, Plans, and Measures on Flood Defense Criteria
5. Conclusions
Author Contributions
Funding
Data Availability Statement
Acknowledgments
Conflicts of Interest
References
- Swain, D.L.; Wing, O.E.; Bates, P.D.; Done, J.M.; Johnson, K.A.; Cameron, D.R. Increased flood exposure due to climate change and population growth in the United States. Earth’s Future 2020, 8, e2020EF001778. [Google Scholar] [CrossRef]
- Davenport, F.V.; Burke, M.; Diffenbaugh, N.S. Contribution of historical precipitation change to US flood damages. Proc. Natl. Acad. Sci. USA 2021, 118, e2017524118. [Google Scholar] [CrossRef] [PubMed]
- Dottori, F.; Szewczyk, W.; Ciscar, J.C.; Zhao, F.; Alfieri, L.; Hirabayashi, Y.; Bianchi, A.; Mongelli, I.; Frieler, K.; Betts, R.A.; et al. Increased human and economic losses from river flooding with anthropogenic warming. Nat. Clim. Chang. 2018, 8, 781–786. [Google Scholar] [CrossRef]
- Merz, B.; Blöschl, G.; Vorogushyn, S.; Dottori, F.; Aerts, J.C.; Bates, P.; Bertola, M.; Kemter, M.; Kreibich, H.; Lall, U.; et al. Causes, impacts and patterns of disastrous river floods. Nat. Rev. Earth Environ. 2021, 2, 592–609. [Google Scholar] [CrossRef]
- Wasko, C.; Nathan, R.; Stein, L.; O’Shea, D. Evidence of shorter more extreme rainfalls and increased flood variability under climate change. J. Hydrol. 2021, 603, 126994. [Google Scholar] [CrossRef]
- Ministry of the Interior and Safety. Disaster Annual Report 2020. 2021. Available online: www.safekorea.go.kr (accessed on 15 April 2022).
- Merz, B.; Kreibich, H.; Schwarze, R.; Thieken, A. Review article “Assessment of economic flood damage”. Nat. Hazards Earth Syst. Sci. 2010, 10, 1697–1724. [Google Scholar] [CrossRef]
- Tobin, G.A. The levee love affair: A stormy relationship? J. Am. Water Resour. Assoc. 1995, 31, 359–367. [Google Scholar] [CrossRef]
- Vis, M.; Klijn, F.; De Bruijn, K.M.; Van Buuren, M. Resilience strategies for flood risk management in the Netherlands. Int. J. River Basin Manag. 2003, 1, 33–40. [Google Scholar] [CrossRef]
- DKKV. Lessons Learned: Hochwasservorsorge in Deutschland. Lernen aus der Katastrophe 2002 im Elbegebiet; Schriftenreihe des DKKV: Bonn, Germany, 2003; 29p. (In German) [Google Scholar]
- Evans, E.; Hall, J.; Penning-Rowsell, E.; Sayers, P.; Thorne, C.; Watkinson, A. Future flood risk management in the UK. In Proceedings of the Institution of Civil Engineers-Water Management; Thomas Telford Ltd.: London, UK, 2006; Volume 159, pp. 53–61. [Google Scholar]
- European Commission. A New EU Floods Directive 2007/60/EC. 2007. Available online: http://ec.europa.eu/environment/water/flood_risk/index.htm (accessed on 1 May 2022).
- Ali, S.A.; Parvin, F.; Pham, Q.B.; Vojtek, M.; Vojteková, J.; Costache, R.; Linh, N.T.T.; Nguyen, H.Q.; Ahmad, A.; Ghorbani, M.A. GIS-based comparative assessment of flood susceptibility mapping using hybrid multi-criteria decision-making approach, naïve Bayes tree, bivariate statistics and logistic regression: A case of Topľa basin, Slovakia. Ecol. Indic. 2020, 117, 106620. [Google Scholar] [CrossRef]
- Ahmadlou, M.; Al-Fugara, A.K.; Al-Shabeeb, A.R.; Arora, A.; Al-Adamat, R.; Pham, Q.B.; Al-Ansari, N.; Linh, N.T.T.; Sajedi, H. Flood susceptibility mapping and assessment using a novel deep learning model combining multilayer perceptron and autoencoder neural networks. J. Flood Risk Manag. 2021, 14, e12683. [Google Scholar] [CrossRef]
- Islam, A.R.M.T.; Talukdar, S.; Mahato, S.; Kundu, S.; Eibek, K.U.; Pham, Q.B.; Kuriqi, A.; Linh, N.T.T. Flood susceptibility modelling using advanced ensemble machine learning models. Geosci. Front. 2021, 12, 101075. [Google Scholar] [CrossRef]
- Pham, B.T.; Luu, C.; Van Phong, T.; Trinh, P.T.; Shirzadi, A.; Renoud, S.; Asadi, S.; Van Le, H.; von Meding, J.; Clague, J.J. Can deep learning algorithms outperform benchmark machine learning algorithms in flood susceptibility modeling? J. Hydrol. 2021, 592, 125615. [Google Scholar] [CrossRef]
- Kim, Y.; Newman, G. Climate change preparedness: Comparing future urban growth and flood risk in Amsterdam and Houston. Sustainability 2019, 11, 1048. [Google Scholar] [CrossRef] [PubMed]
- Toosi, A.S.; Doulabian, S.; Tousi, E.G.; Calbimonte, G.H.; Alaghmand, S. Large-scale flood hazard assessment under climate change: A case study. Ecol. Eng. 2020, 147, 105765. [Google Scholar] [CrossRef]
- Ekmekcioğlu, Ö.; Koc, K.; Özger, M. Towards flood risk mapping based on multi-tiered decision making in a densely urbanized metropolitan city of Istanbul. Sustain. Cities Soc. 2022, 80, 103759. [Google Scholar] [CrossRef]
- Alfieri, L.; Bisselink, B.; Dottori, F.; Naumann, G.; de Roo, A.; Salamon, P.; Wyser, K.; Feyen, L. Global projections of river flood risk in a warmer world. Earth’s Future 2017, 5, 171–182. [Google Scholar] [CrossRef]
- Tellman, B.; Sullivan, J.A.; Kuhn, C.; Kettner, A.J.; Doyle, C.S.; Brakenridge, G.R.; Erickson, T.A.; Slayback, D.A. Satellite imaging reveals increased proportion of population exposed to floods. Nature 2021, 596, 80–86. [Google Scholar] [CrossRef]
- Korea Research Institute for Human Settlements. Determining the Flood Defense Level Based on the Quantitative Risk Assessment. 2021. Available online: https://library.krihs.re.kr/ (accessed on 1 May 2022).
- Korea Environment Institute. Analysis on Establishment of Strategies for Flood Risk Evaluation and Flood Defense Criteria against Climate Change (I). 2022. Available online: https://repository.kei.re.kr/handle/2017.oak/23922 (accessed on 1 May 2022).
- Yugyung Na, J.C. A study on the flood damage estimation using object-based analysis. J. Korean Geogr. Soc. 2019, 54, 637–649. [Google Scholar]
- Ministry of Environment. Flood Risk Map. Available online: https://floodmap.go.kr (accessed on 15 April 2022).
- Ministry for Food Agriculture Forestry and Fisheries. Farm Map. Available online: https://agis.epis.or.kr (accessed on 15 April 2022).
- Ministry of Land Infrastructure and Transport. Building Registry. Available online: https://open.eais.go.kr (accessed on 15 April 2022).
- Ministry of Land Infrastructure and Transport. Property Appraisal Database. Available online: http://www.nsdi.go.kr (accessed on 5 August 2022).
- Ministry of Land Infrastructure and Transport. Vehicle Registration Database. Available online: https://stat.molit.go.kr/ (accessed on 1 August 2022).
- Ministry of the Interior and Safety. Population Census. Available online: https://jumin.mois.go.kr/ (accessed on 1 August 2022).
- Statistics Korea. Household Inventory Survey. Available online: https://kosis.kr/statisticsList/statisticsListIndex.do?vwcd=MT_ZTITLE&menuId=M_01_01#K1_20.2 (accessed on 1 August 2022).
- Statistics Korea. Industrial Asset Valuation. Available online: https://kosis.kr/statisticsList/statisticsListIndex.do?vwcd=MT_ZTITLE&menuId=M_01_01#J2_17.2 (accessed on 20 May 2022).
- Statistics Korea. Production Cost Statistics. Available online: https://kosis.kr/statHtml/statHtml.do?orgId=101&tblId=DT_1C81&vw_cd=MT_ZTITLE&list_id=Q_7&scrId=&seqNo=&lang_mode=ko&obj_var_id=&itm_id=&conn_path=MT_ZTITLE&path=%252FstatisticsList%252FstatisticsListIndex.do (accessed on 20 May 2022).
- Hall, J.W.; Meadowcroft, I.C.; Sayers, P.B.; Bramley, M.E. Integrated flood risk management in England and Wales. Nat. Hazards Rev. 2003, 4, 126–135. [Google Scholar] [CrossRef]
- Jonkman, S.N.; Bočkarjova, M.; Kok, M.; Bernardini, P. Integrated hydrodynamic and economic modelling of flood damage in the Netherlands. Ecol. Econ. 2008, 66, 77–90. [Google Scholar] [CrossRef]
- Ward, P. On the use of tradable development rights for reducing flood risk. Land Use Policy 2013, 31, 576–583. [Google Scholar] [CrossRef]
- Foudi, S.; Osés-Eraso, N.; Tamayo, I. Integrated spatial flood risk assessment: The case of Zaragoza. Land Use Policy 2015, 42, 278–292. [Google Scholar] [CrossRef]
- Aerts, J.C.; Botzen, W.J.; Clarke, K.C.; Cutter, S.L.; Hall, J.W.; Merz, B.; Michel-Kerjan, E.; Mysiak, J.; Surminski, S.; Kunreuther, H. Integrating human behaviour dynamics into flood disaster risk assessment. Nat. Clim. Chang. 2018, 8, 193–199. [Google Scholar] [CrossRef]
- Nakdong River Basin Water Framework Committee. Water Framework Comprehensive Planning in Nakdong River Basin (2021~2030). 2022. Available online: www.water.go.kr (accessed on 1 May 2022).
- Park, S.K.; Kim, J.; Lee, K.J.; Jo, M.H. Analysis of land use change within four major river areas using high-resolution air-photographs: The case of the Nakdong river basin. J. Korean Assoc. Geogr. Inf. Stud. 2013, 16, 171–188. [Google Scholar] [CrossRef][Green Version]
- Korea Meteorological Administration. Climate Change 2014—Synthesis Report—Summary for Policymaker (2014). 2015. Available online: https://www.me.go.kr/home/web/policy_data/read.do?menuId=10262&seq=6456 (accessed on 1 May 2022).
- Mann, H.B. Nonparametric tests against trend. Econom. J. Econom. Soc. 1945, 13, 245–259. [Google Scholar] [CrossRef]
- Kendall, M.G. Rank Correlation Methods; Griffin: London, UK, 1975. [Google Scholar]
- Korea Development Institute. Study on the Application Criteria of Multidimensional Methods for Calculating Flood Damage Mitigation Benefits. 2019. Available online: https://www.kdi.re.kr/research/reportView?&pub_no=16445 (accessed on 1 May 2022).
- Bank of Korea. Consumer Price Index. Available online: https://ecos.bok.or.kr/ (accessed on 15 April 2022).
- Ministry of Construction Transportation. River Facilities Criteria; Republic of Korea, Ministry of Construction Transportation: Sejong, Republic of Korea, 1993.
- Ministry of Construction Transportation. The Improvement Method for Economic of Water Control Plan; Ministry of Construction Transportation: Sejong, Republic of Korea, 2001.
- Ministry of Construction Transportation. Study on the Economic Analysis in Flood Control Projects; Ministry of Construction Transportation: Sejong, Republic of Korea, 2004.
- Korea Development Institute. 2017 Preliminary Cost-Benefit Analysis Report on the National River Environment Improvement Project for the Seonakdong River Basin. 2017. Available online: https://www.kdi.re.kr/research/reportView?&pub_no=15292 (accessed on 1 May 2022).
- Jonkman, S.N. Global perspectives on loss of human life caused by floods. Nat. Hazards 2005, 34, 151–175. [Google Scholar] [CrossRef]
- Jonkman, S.N.; Vrijling, J.K.; Vrouwenvelder, A.C.W.M. Methods for the estimation of loss of life due to floods: A literature review and a proposal for a new method. Nat. Hazards 2008, 46, 353–389. [Google Scholar] [CrossRef]
- Ministry of Environment. River Directory. 2021. Available online: https://www.me.go.kr/home/web/policy_data/read.do?menuId=10266&seq=7972 (accessed on 15 April 2022).
- U.S. Army Corps of Engineers. USACE levee safety program and tolerable risk guidelines—A discussion paper for the exploration of tolerable risk guidelines for levee system workshop. In Proceedings of the Workshop “Exploration of Tolerable Risk Guidelines for the USACE Levee Safety Program”; U.S. Army Corps of Engineers: Washington, DC, USA, 2010; pp. 53–58. [Google Scholar]
- Pielke, R.A. Nine fallacies of floods. Clim. Chang. 1999, 42, 413–438. [Google Scholar] [CrossRef]
- Hutton, N.S.; Tobin, G.A.; Montz, B.E. The levee effect revisited: Processes and policies enabling development in Yuba County, California. J. Flood Risk Manag. 2017, 12, e12469. [Google Scholar] [CrossRef]
- Committee on Risk-Based Analysis for Flood Damage Reduction. Risk Analysis and Uncertainty in Flood Damage Reduction Studies; National Academy Press: Washington, DC, USA, 2000. [Google Scholar]
- Jonkman, S.N. Loss of Life Estimation in Flood Risk Assessment, Theory and Applications. Ph.D. Thesis, Delft University of Technology, Delft, The Netherlands, 2007. [Google Scholar]
- Penning-Rowsell, E.; Johnson, C.; Tunstall, S.; Tapsell, S.; Morris, J.; Chatterton, J.; Green, C. The Benefits of Flood and Coastal Risk Management: A Handbook of Assessment Techniques; Middlesex University Press: The Netherlands, 2005; ISBN 1904750516. Available online: file:///C:/Users/MDPI/Downloads/FloodRiskManagementHandbookTables.pdf (accessed on 1 May 2022).
- Unterberger, C.; Hudson, P.; Botzen, W.W.; Schroeer, K.; Steininger, K.W. Future public sector flood risk and risk sharing arrangements: An assessment for Austria. Ecol. Econ. 2019, 156, 153–163. [Google Scholar] [CrossRef]
- Hallegatte, S. An adaptive regional input-output model and its application to the assessment of the economic cost of Katrina. Risk Anal. Int. J. 2008, 28, 779–799. [Google Scholar] [CrossRef] [PubMed]
- Rose, A. Economic principles, issues, and research priorities in hazard loss estimation. In Modeling Spatial and Economic Impacts of Disasters; Springer: Berlin/Heidelberg, Germany, 2004; pp. 13–36. [Google Scholar]
- Sieg, T.; Schinko, T.; Vogel, K.; Mechler, R.; Merz, B.; Kreibich, H. Integrated assessment of short-term direct and indirect economic flood impacts including uncertainty quantification. PLoS ONE 2019, 14, e0212932. [Google Scholar] [CrossRef] [PubMed]







| Meteorological Observatory Number | Meteorological Observatory | Latitude | Longitude | Average Annual Precipitation | Maximum Daily Precipitation per Year | ||||
|---|---|---|---|---|---|---|---|---|---|
| Average (mm) | Increase Rate (mm/year) | Increasing Trend | Average (mm) | Increase Rate (mm/year) | Increasing Trend | ||||
| 294 | Geoje | 34.888 | 128.605 | 1860.5 | 8.1 | △ * | 184 | 0.5 | △ |
| 295 | Namhae | 34.817 | 127.926 | 1848.5 | 8.3 | △ * | 190.4 | 0.3 | △ |
| 289 | Sancheong | 35.413 | 127.879 | 1537.9 | 3.9 | △ | 172.4 | 0.8 | △ |
| 159 | Busan | 35.105 | 129.032 | 1528.2 | 5.6 | △ | 153.9 | 0.4 | △ |
| 155 | Changwon | 35.17 | 128.573 | 1509.3 | 1.2 | △ | 150.1 | 0.3 | △ |
| 192 | Jinju | 35.164 | 128.04 | 1507.5 | 1.8 | △ * | 150.6 | −0.3 | ▼ |
| 162 | Tongyeong | 34.845 | 128.436 | 1477.7 | 8.0 | △ | 138.9 | 0.0 | - |
| 285 | Hapcheon | 35.565 | 128.17 | 1288.4 | 3.5 | △ | 135.4 | 1.1 | △ |
| 284 | Geochang | 35.667 | 127.909 | 1280.9 | 1.6 | △ | 123.6 | 0.3 | △ |
| 272 | Yeongju | 36.872 | 128.517 | 1276.5 | 3.5 | △ | 121.2 | 0.0 | - |
| 152 | Ulsan | 35.56 | 129.32 | 1271.7 | 0.6 | △ | 136.9 | 0.1 | △ |
| 273 | Mungyeong | 36.627 | 128.149 | 1257.2 | 3.8 | △ | 108.4 | 0.4 | △ |
| 288 | Miryang | 35.491 | 128.744 | 1227.3 | −1.1 | ▼ | 125.4 | −0.7 | ▼ |
| 271 | Bonghwa | 36.944 | 128.915 | 1178.9 | −6.1 | ▼ | 126.4 | −0.8 | ▼ |
| 138 | Pohang | 36.033 | 129.38 | 1151.9 | 3.3 | △ | 126.4 | 0.9 | △ |
| 130 | Uljin | 36.992 | 129.413 | 1139.9 | 5.0 | △ | 118.2 | 1.7 | △ ** |
| 277 | Yeongdeok | 36.533 | 129.409 | 1078.8 | 3.7 | △ | 112.4 | 0.9 | △ |
| 279 | Gumi | 36.131 | 128.321 | 1070.2 | 5.4 | △ | 104.1 | 0.9 | △ |
| 143 | Daegu | 35.885 | 128.619 | 1059.8 | 2.1 | △ | 109.3 | 0.5 | △ |
| 281 | Yeongcheon | 35.977 | 128.951 | 1045.9 | 2.7 | △ | 107.3 | 0.0 | - |
| 136 | Andong | 36.573 | 128.707 | 1018.0 | 3.4 | △ | 95.8 | 0.4 | △ |
| 278 | Uiseong | 36.356 | 128.689 | 995.8 | 0.4 | △ | 94.5 | −0.1 | ▼ |
| Asset Groups | Below 0.5 m | 0.5 m~1.0 m | 1.0 m~2.0 m | 2.0 m~5.0 m | above 5.0 m | |
|---|---|---|---|---|---|---|
| Residential Buildings | Building Structure | 0 | 9.1 | 24.5 | 53.8 | 66.8 |
| Building Contents | 6.6 | 15.3 | 60.8 | 98.8 | 100 | |
| Agricultural Assets | Paddy | 27.0 | 27.0 | 100 | 100 | 100 |
| Farm | 51.0 | 51.0 | 100 | 100 | 100 | |
| Farm Building | 31.0 | 31.0 | 100 | 100 | 100 | |
| Industrial Assets | Fixed Assets | 23.2 | 45.3 | 78.9 | 98.9 | 100 |
| Stock Assets | 12.8 | 26.7 | 58.6 | 96.6 | 100 | |
| Human Impact | Vulnerable Population | 0.03 | 0.03 | 0.09 | 0.09 | 0.09 |
| General Population | 0.01 | 0.01 | 0.04 | 0.04 | 0.04 | |
| Vehicles | Personal Vehicles | 3.9 | 53.5 | 97.2 | 100 | 100 |
| Commercial Vehicles | 1.3 | 34.8 | 91.4 | 100 | 100 | |
| Motorcycles | 3.9 | 53.5 | 97.2 | 100 | 100 | |
| Streams | Residential Building Damage | Agricultural Asset Damage | Industrial Asset Damage | Human Impact | Vehicle Damage | EAD | Flood Defense Return Period (Upstream) | Flood Defense Return Period (Downstream) |
|---|---|---|---|---|---|---|---|---|
| Haeban | 7.1 | 10.7 | 0.4 | 0.6 | 11.8 | 30.6 | 30 | 100 |
| Buk | 7.5 | 4.4 | 0.1 | 0.3 | 5.2 | 17.6 | 80 | 100 |
| Jucheon | 4.9 | 2.9 | 0.1 | 0.3 | 6.2 | 14.4 | 100 | 100 |
| Dabang | 7.0 | 0.0 | 0.0 | 0.3 | 5.9 | 13.2 | NA | 100 |
| Dong | 0.4 | 5.7 | 0.1 | 0.1 | 0.7 | 7.1 | 50 | 50 |
| River—Grade | Scale of the Flood Defense Plan (Return Period) | Flood Vulnerability | Remarks |
|---|---|---|---|
| Populated areas, Asset-dense areas, Industrial complexes, Major national facilities, etc. (Flood defense grade A) | 200~500 years or more | Very High or High | Determination of design frequency considering climate change and quantitative flood analysis (if necessary, up to 500 years or more) |
| Commercial facilities, Industrial facilities, Public facilities, etc. (Flood defense grade B) | 100~200 years | High | - |
| Agricultural land, etc. (Flood defense grade C) | 50~80 years | Medium | - |
| Wetlands, Bare areas, etc. (Flood defense grade D) | less than 50 years | Low | Establishment of adaptation measures instead of defense in consideration of climate change and quantitative flood analysis |
| National rivers, Local rivers | 100~200 years, 50~200 years | - | Setting the frequency of differentiated design considering the amount of flood damage |
Disclaimer/Publisher’s Note: The statements, opinions and data contained in all publications are solely those of the individual author(s) and contributor(s) and not of MDPI and/or the editor(s). MDPI and/or the editor(s) disclaim responsibility for any injury to people or property resulting from any ideas, methods, instructions or products referred to in the content. |
© 2023 by the authors. Licensee MDPI, Basel, Switzerland. This article is an open access article distributed under the terms and conditions of the Creative Commons Attribution (CC BY) license (https://creativecommons.org/licenses/by/4.0/).
Share and Cite
Jung, K.; An, H.; Hwang, S.; Seo, S.B.; Park, H.; Park, C.; Yoo, J. Assessing the Suitability of the Flood Defense Policy of Republic of Korea for Risk Reduction in Local Rivers. Water 2023, 15, 3908. https://doi.org/10.3390/w15223908
Jung K, An H, Hwang S, Seo SB, Park H, Park C, Yoo J. Assessing the Suitability of the Flood Defense Policy of Republic of Korea for Risk Reduction in Local Rivers. Water. 2023; 15(22):3908. https://doi.org/10.3390/w15223908
Chicago/Turabian StyleJung, Kichul, Heejin An, Sewon Hwang, Seung Beom Seo, Hyemin Park, Chan Park, and Jonghyun Yoo. 2023. "Assessing the Suitability of the Flood Defense Policy of Republic of Korea for Risk Reduction in Local Rivers" Water 15, no. 22: 3908. https://doi.org/10.3390/w15223908
APA StyleJung, K., An, H., Hwang, S., Seo, S. B., Park, H., Park, C., & Yoo, J. (2023). Assessing the Suitability of the Flood Defense Policy of Republic of Korea for Risk Reduction in Local Rivers. Water, 15(22), 3908. https://doi.org/10.3390/w15223908

