Monitoring and Investigating the Change Patterns of Major Growth Parameters of Almond (Badam) Trees under Different Irrigation Conditions
Abstract
:1. Introduction
2. Materials and Methods
2.1. Experimental Site
2.2. Experimental Design
2.3. Collection of Experimental Data
2.3.1. Environmental Meteorological Information
2.3.2. Soil Moisture
2.3.3. Canopy Temperature
2.3.4. Leaf Area Index
2.3.5. Relative Chlorophyll Content
2.3.6. Trunk Diameter
2.3.7. Fruit Diameter
2.3.8. Yield
2.4. Data Analysis
3. Results and Analysis
3.1. Variations of Measured Indicator Parameters
3.1.1. Soil Water Content
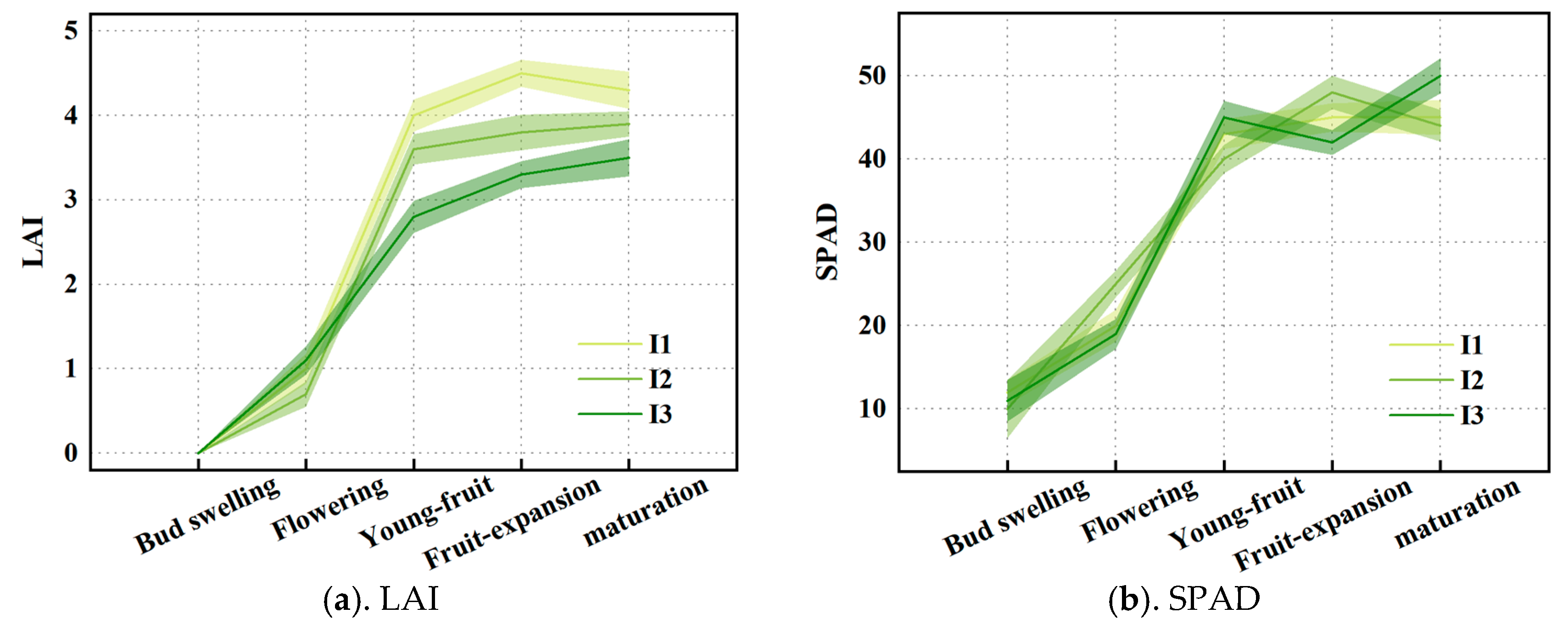
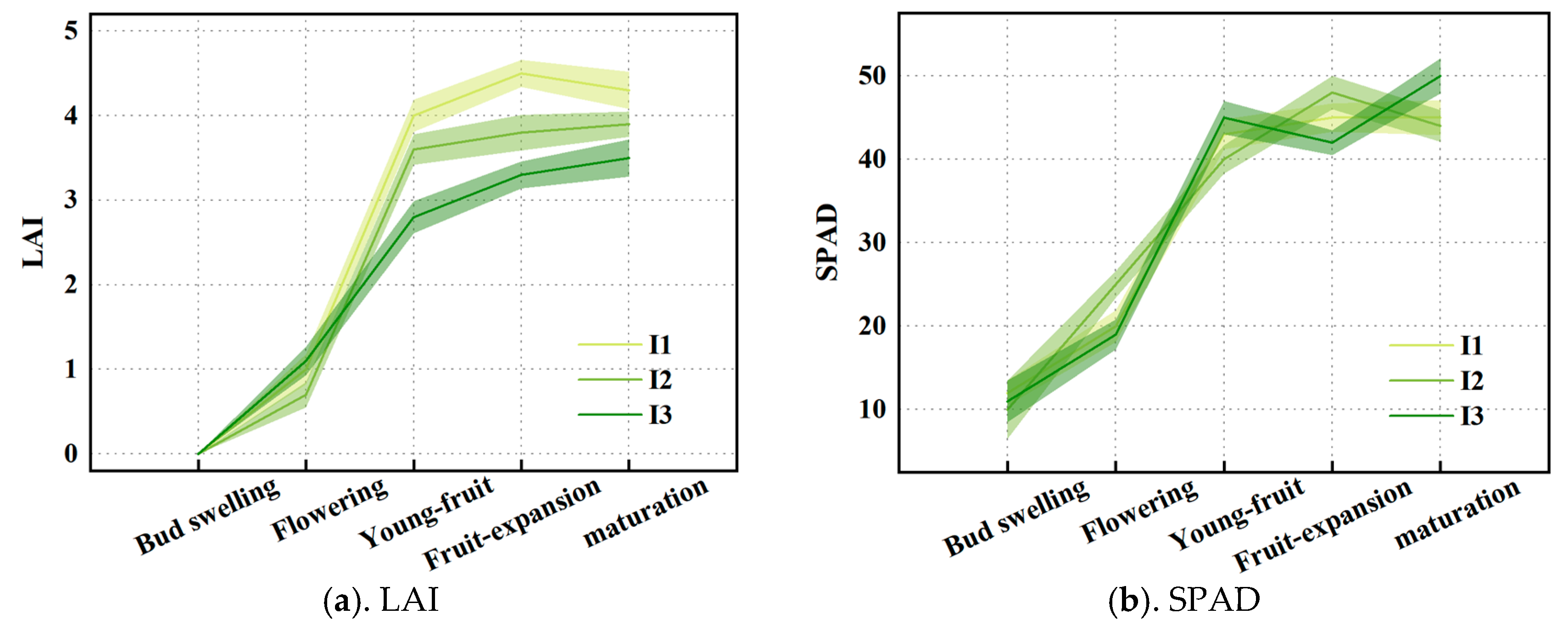
3.1.2. Leaf Area Index and Chlorophyll Content
3.1.3. Canopy/Air Temperature Difference
3.1.4. Trunk Diameter Variation
3.1.5. Fruit Diameter Variation
3.2. Variations in Responses of Almond Trees to Irrigation
4. Discussion
5. Conclusions
Author Contributions
Funding
Data Availability Statement
Conflicts of Interest
References
- Gupta, A.; Sharma, R.; Almond, S.S. Antioxidants in Vegetables and Nuts—Properties and Health Benefits; Springer: Singapore, 2020; pp. 423–452. [Google Scholar]
- Salgado-Ramos, M.; Martí-Quijal, F.J.; Huertas-Alonso, A.J.; Sánchez-Verdú, M.P.; Barba, F.J.; Moreno, A. Almond hull biomass: Preliminary characterization and development of two alternative valorization routes by applying innovative and sustainable technologies. Ind. Crops Prod. 2022, 179, 114697. [Google Scholar] [CrossRef]
- Moldero, D.; López-Bernal, Á.; Testi, L.; Lorite, I.J.; Fereres, E.; Orgaz, F. Long-term almond yield response to deficit irrigation. Irrig. Sci. 2023, 1, 409–420. [Google Scholar] [CrossRef]
- Espadafor, M.; González-Dugo, V.; Orgaz, F.; Testi, L.; López, M.; Fereres, E. Water relations in almond trees under moderate water deficits. Acta Hortic. 2017, 1150, 113–118. [Google Scholar] [CrossRef]
- Martín-Palomo, M.J.; Andreu, L.; Pérez-López, D.; Centeno, A.; Galindo, A.; Moriana, A.; Corell, M. Trunk growth rate frequencies as water stress indicator in almond trees. Agric. Water Manag. 2022, 271, 107765. [Google Scholar] [CrossRef]
- Huang, Y.; Ren, Z.; Li, D. Phenotypic techniques and applications in fruit trees: A review. Plant Methods. 2020, 16, 107. [Google Scholar] [CrossRef]
- Wang, G.; Ma, H.; Gulina, T. Correlation Between Soil and Plant Geochemical Characteristics and Environmental Quality Research in Shache Almonds Planting Area. Geol. Xinjiang 2020, 38, 412–416. [Google Scholar]
- David, G.; Mathieu, V.; Sébastien, M.; Labbé, S.; Delalande, M.; Regnard, J.L. Unravelling the responses of different apple varieties to water constraints by continuous field thermal monitoring. Sci. Hortic. 2022, 299, 111013. [Google Scholar]
- Jones, H.G. Irrigation scheduling: Advantages and pitfalls of plant-based methods. J. Exp. Bot. 2023, 55, 2427. [Google Scholar] [CrossRef]
- Cuevas, M.V.; Martín-Palomo, M.J.; Diaz-Espejo, A.; Torres-Ruiz, J.M.; Rodriguez-Dominguez, C.M.; Perez-Martin, A.; Pino-Mejías, R.; Fernández, J.E. Assessing water stress in a hedgerow olive orchard from sap flow and trunk diameter measurements. Irrig. Sci. 2013, 31, 729–746. [Google Scholar] [CrossRef]
- Morandi, B.; Manfrini, L.; Zibordi, M.; Losciale, P.; Grappadelli, L.C. Effects of drought stress on the growth, water relations and vascular flows of young ‘summerkiwi’ fruit. Acta Hortic. 2011, 9, 355–359. [Google Scholar] [CrossRef]
- José, F. Plant-Based Methods for Irrigation Scheduling of Woody Crops. Horticulturae 2017, 3, 35. [Google Scholar]
- Meng, Z.; Duan, A.; Chen, D.; Dassanayake, K.B.; Wang, X.; Liu, Z.; Liu, H.; Gao, S. Suitable indicators using stem diameter variation-derived indices to monitor the water status of greenhouse tomato plants. PLoS ONE 2017, 12, 1423. [Google Scholar] [CrossRef] [PubMed]
- Montoro, A.; Fereres, E.; López-Urrea, R.; Mañas, F.; López-Fuster, P. Sensitivity of Trunk Diameter Fluctuations in Vitis vinifera L. Tempranillo and Cabernet Sauvignon Cultivars. Am. J. Enol. Vitic. 2012, 63, 85–93. [Google Scholar] [CrossRef]
- Cifre, J.; Bota, J.; Escalona, J.M.; Medrano, H.; Flexas, J. Physiological tools for irrigation scheduling in grapevine (Vitis vinifera L.): An open gate to improve water-use efficiency? Agric. Ecosyst. Environ. 2005, 106, 159–170. [Google Scholar] [CrossRef]
- Escalona, J.; Flexas, J.; Medrano, H. Drought effects on water flow, photosynthesis and growth of potted grapevines. Vitis J. Grapevine Res. 2002, 41, 57–62. [Google Scholar]
- Ali, A.; David, C. Use of crop water stress index for monitoring water status and scheduling irrigation in wheat. Agric. Water Manag. 2001, 47, 69–75. [Google Scholar]
- Ballester, C.; Castel, J.; Jiménez-Bello, M.A.; Castel, J.R.; Intrigliolo, D.S. Thermographic measurement of canopy temperature is a useful tool for predicting water deficit effects on fruit weight in citrus trees. Agric. Water Manag. 2013, 122, 1–6. [Google Scholar] [CrossRef]
- Vantyghem, M.; Merckx, R.; Stevens, B.; Hood-Nowotny, R.; Swennen, R.; Dercon, G. The potential of stable carbon isotope ratios and leaf temperature as proxies for drought stress in banana under field conditions. Agric. Water Manag. 2022, 260, 107247. [Google Scholar] [CrossRef]
- Martín-Palomo, M.; Corell, M.; Andreu, L.; López-Moreno, Y.; Galindo, A.; Moriana, A. Identification of water stress conditions in olive trees through frequencies of trunk growth rate. Agric. Water Manag. 2021, 247, 106735. [Google Scholar] [CrossRef]
- De la Rosa, J.; Domingo, R.; Gómez-Montiel, J.; Pérez-Pastor, A. Implementing deficit irrigation scheduling through plant water stress indicators in early nectarine trees. Agric. Water Manag. 2015, 152, 207–216. [Google Scholar] [CrossRef]
- Velez, J.E.; Intrigliolo, D.S.; Castel, J.R. Scheduling deficit irrigation of citrus trees with maximum daily trunk shrinkage. Agric. Water Manag. 2007, 90, 197–204. [Google Scholar] [CrossRef]
- Conejero, W.; Alarcon, J.J.; Garcia-Orellana, Y.; Abrisqueta, J.M.; Torrecillas, A. Daily sap flow and maximum daily trunk shrinkage measurements for diagnosing water stress in early maturing peach trees during the post-harvest period. Tree Physiol. 2007, 27, 81. [Google Scholar] [CrossRef] [PubMed]
- Conejero, W.; Alarcón, J.J.; García-Orellana, Y.; Nicolás, E.; Torrecillas, A. Evaluation of sap flow and trunk diameter sensors for irrigation scheduling in early maturing peach trees. Tree Physiol. 2007, 27, 1753. [Google Scholar] [CrossRef]
- Puerto, P.; Domingo, R.; Torres, R.; Pérez-Pastor, A.; García-Riquelme, M. Remote management of deficit irrigation in almond trees based on maximum daily trunk shrinkage. Water relations and yield. Agric. Water Manag. 2013, 126, 33–45. [Google Scholar] [CrossRef]
- Du, S.; Tong, L.; Zhang, X.; Kang, S.; Du, T.; Li, S.; Ding, R. Signal intensity based on maximum daily stem shrinkage can reflect the water status of apple trees under alternate partial root-zone irrigation. Agric. Water Manag. 2017, 190, 21–30. [Google Scholar] [CrossRef]
- Malheiro, A.C.; Pires, M.; Conceição, N.; Claro, A.M.; Dinis, L.-T.; Moutinho-Pereira, J. Linking Sap Flow and Trunk Diameter Measurements to Assess Water Dynamics of Touriga-Nacional Grapevines Trained in Cordon and Guyot Systems. Agriculture 2020, 10, 315. [Google Scholar] [CrossRef]
- Li, D.; José, E.F.; Li, X.; Xi, B.; Jia, L.; Hernandez-Santana, V. Tree growth patterns and diagnosis of water status based on trunk diameter fluctuations in fast-growing Populus tomentosa plantations. Agric. Water Manag. 2020, 241, 106348. [Google Scholar] [CrossRef]
- Carlos, M.; Carmina, R.; Amparo, M.; Gambetta, G.; Gravina, A.; Agustí, M. Tree water status influences fruit splitting in Citrus. Sci. Hortic. 2016, 209, 96–104. [Google Scholar]
- Ruas, K.F.; Baroni, D.F.; de Souza, G.A.R.; de Paula Bernado, W.; Paixão, J.S.; dos Santos, G.M.; Machado Filho, J.A.; de Abreu, D.P.; de Sousa, E.F.; Rakocevic, M. A Carica papaya L. genotype with low leaf chlorophyll concentration copes successfully with soil water stress in the field. Sci. Hortic. 2022, 293, 110722. [Google Scholar] [CrossRef]
- Zambrano-Vaca, C.; Zotarelli, L.; Beeson, R.C.; Morgan, K.T.; Migliaccio, K.W.; Chaparro, J.X.; Olmstead, M.A. Determining water requirements for young peach trees in a humid subtropical climate. Agric. Water Manag. 2020, 233, 106102. [Google Scholar] [CrossRef]
- Wang, P. Study on the Integrated Development of Badam Industry in Shache County from the Perspective of Rural Revitalization. Master’s Thesis, Tarim University, Alar, China, 2023. [Google Scholar]
- Allen, R.G. Crop Evapotranspiration-Guidelines for computing crop water requirements. FAO Irrig. Drain. Pap. (FAO) 1998, 56, D05109. [Google Scholar]
- Shi, Y.; Liu, Y.; Zhang, J. A study on the root distribution of peach trees. J. Fruit Sci. 1989, 6, 232–235. [Google Scholar]
- Richards, A.L. Capillary conduction of liquids through porous mediums. J. Appl. Phys. 1931, 1, 318–333. [Google Scholar] [CrossRef]
- Saray, G.; Iván, F.G.; Víctor, H.; Escalera, A.G.; Gil, F.F.; Amores-Agüera, J.J.; Rodriguez, B.C. Assessing the Water-Stress Baselines by Thermal Imaging for Irrigation Management in Almond Plantations under Water Scarcity Conditions. Water 2020, 12, 1298. [Google Scholar]
- Gustavo, H.; Ferrarezi, R.S. Use of Thermal Imaging to Assess Water Status in Citrus Plants in Greenhouses. Horticulturae 2021, 7, 249. [Google Scholar]
- Morandi, B.; Boselli, F.; Boini, A.; Manfrini, L.; Corelli, L. The fruit as a potential indicator of plant water status in apple. Acta Hortic. 2017, 1, 83–90. [Google Scholar] [CrossRef]
- Girón, I.; Corell, M.; Martín-Palomo, M.; Galindo, A.; Torrecillas, A.; Moreno, F.; Moriana, A. Limitations and usefulness of maximum daily shrinkage (MDS) and trunk growth rate (TGR) indicators in the irrigation scheduling of table olive trees. Agric. Water Manag. 2016, 164, 38–45. [Google Scholar] [CrossRef]
- Girón, I.F.; Corell, M.; Galindo, A.; Torrecillas, E.; Morales, D.; Dell’Amico, J.; Torrecillas, A.; Moreno, F.; Moriana, A. Changes in the physiological response between leaves and fruits during a moderate water stress in table olive trees. Agric. Water Manag. 2015, 224, 280–286. [Google Scholar] [CrossRef]
- Sepulcre-Cantó, G.; Zarco-Tejada, P.J.; Jiménez-Muñoz, J.C.; Sobrino, J.A.; de Miguel, E.; Villalobos, F.J. Detection of water stress in an olive orchard with thermal remote sensing imagery. Agric. For. Meteorol. 2006, 136, 31–44. [Google Scholar] [CrossRef]
- Corell, M.; Pérez-López, D.; Andreu, L.; Recena, R.; Centeno, A.; Galindo, A.; Moriana, A.; Martín-Palomo, M. Yield response of a mature hedgerow oil olive orchard to different levels of water stress during pit hardening. Agric. Water Manag. 2022, 261, 107374. [Google Scholar] [CrossRef]
- Ru, C.; Hu, X.; Wang, W.; Ran, H.; Song, T.; Guo, Y. Evaluation of the Crop Water Stress Index as an Indicator for the Diagnosis of Grapevine Water Deficiency in Greenhouses. Horticulturae 2020, 6, 86. [Google Scholar] [CrossRef]
- Li, S.H.; Jean-Gérard, H.; Bussi, C. Irrigation scheduling in a mature peach orchard using tensiometers and dendrometers. Irrig. Drain. Syst. 1989, 3, 1–12. [Google Scholar] [CrossRef]
- Moller, M.; Alchanatis, V.; Cohen, Y.; Meron, M.; Tsipris, J.; Naor, A.; Ostrovsky, V.; Sprintsin, M.; Cohen, S. Use of thermal and visible imagery for estimating crop water status of irrigated grapevine. J. Exp. Bot. 2007, 58, 827. [Google Scholar] [CrossRef] [PubMed]
- Drechsler, K.; Fulton, A.; Kisekka, I. Crop coefficients and water use of young almond orchards. Irrig. Sci. 2022, 40, 379–395. [Google Scholar] [CrossRef]
- Yama, S.S.; Todorovic, M. Estimation of daily potato crop evapotranspiration using three different machine learning algorithms and four scenarios of available meteorological data. Agric. Water Manag. 2020, 228, 105875. [Google Scholar] [CrossRef]
- Granata, F. Evapotranspiration evaluation models based on machine learning algorithms—A comparative study. Agric. Water Manag. 2019, 217, 303–315. [Google Scholar] [CrossRef]














| Irrigation Treatment | Bud Swelling Stage | Flowering Stage | Young Fruit Stage | Fruit Expansion Stage | Maturation Stage |
|---|---|---|---|---|---|
| 05/03~03/04 | 04/04~13/04 | 14/04~10/05 | 11/05~15/06 | 16/06~15/07 | |
| I1 | 90 | 0 | 180 | 270 | 210 |
| I2 | 67.5 | 0 | 135 | 202.5 | 157.5 |
| I3 | 45 | 0 | 90 | 135 | 105 |
| Parameter | March | April | May | June | July |
|---|---|---|---|---|---|
| Daily mean air temp. (°C) | 10.0 | 16.5 | 22.5 | 25.0 | 26.6 |
| Daily maximum air temp. (°C) | 22.8 | 29.8 | 35.2 | 39.7 | 35.7 |
| Daily minimum air temp. (°C) | −1.3 | 6.2 | 10.1 | 13.9 | 15.7 |
| Daily minimum relative humidity (%) | 30.6 | 32.7 | 42.7 | 36.7 | 37.4 |
| Daily mean net solar radiation (W m−2) | 128 | 171 | 256 | 273 | 303 |
| Daily mean wind speed (m s−1) | 1.71 | 1.65 | 1.90 | 1.89 | 1.67 |
| Daily mean vapor pressure deficit (kPa) | 0.85 | 1.26 | 1.55 | 1.99 | 2.17 |
| Total precipitation (mm) | 3.2 | 5.1 | 7.7 | 9.2 | 6.6 |
| Reference crop evapotranspiration (mm day−1) | 2.9 | 4.2 | 4.8 | 4.7 | 4.8 |
| Time period | 0:00 | 2:00 | 4:00 | 6:00 | 8:00 | 10:00 | |
| Sunny day | ΔT | 0.156 | −0.286 | −0.380 | −0.132 | −0.990 | −0.888 |
| NS | NS | NS | NS | ** | ** | ||
| TDS | 0.000 | 0.500 | 0.676 | 0.634 | 0.747 | 0.762 | |
| NS | NS | * | * | * | * | ||
| FDS | 0.000 | −0.500 | −0.421 | 0.271 | 0.758 | 0.943 | |
| NS | NS | NS | NS | * | ** | ||
| Time period | 12:00 | 14:00 | 16:00 | 18:00 | 20:00 | 22:00 | |
| Sunny day | ΔT | −0.913 | −0.778 | −0.866 | −0.991 | 0.401 | −0.500 |
| ** | ** | ** | ** | NS | NS | ||
| TDS | 0.825 | 0.970 | 0.997 | 0.998 | 0.991 | 0.725 | |
| * | ** | ** | ** | ** | * | ||
| FDS | 0.948 | 0.952 | 0.999 | 0.962 | 0.851 | 0.644 | |
| ** | ** | ** | ** | * | * | ||
| Time period | 0:00 | 2:00 | 4:00 | 6:00 | 8:00 | 10:00 | |
| Cloudy day | ΔT | 0.554 | 0.493 | −0.569 | −0.220 | −0.973 | −0.989 |
| NS | NS | NS | NS | ** | ** | ||
| TDS | 0.000 | −0.267 | −0.466 | −0.525 | −0.507 | 0.394 | |
| NS | NS | NS | NS | NS | NS | ||
| FDS | 0.000 | −0.365 | −0.303 | −0.233 | 0.828 | 0.940 | |
| NS | NS | NS | NS | * | ** | ||
| Time period | 12:00 | 14:00 | 16:00 | 18:00 | 20:00 | 22:00 | |
| Cloudy day | ΔT | −0.997 | 0.655 | −0.577 | −0.397 | 0.138 | 0.367 |
| ** | * | NS | NS | NS | NS | ||
| TDS | 0.292 | 0.904 | 0.951 | 0.923 | 0.827 | −0.413 | |
| NS | ** | ** | ** | ** | NS | ||
| FDS | 0.957 | 0.992 | 0.989 | 0.970 | 0.783 | 0.570 | |
| ** | ** | ** | ** | * | NS | ||
Disclaimer/Publisher’s Note: The statements, opinions and data contained in all publications are solely those of the individual author(s) and contributor(s) and not of MDPI and/or the editor(s). MDPI and/or the editor(s) disclaim responsibility for any injury to people or property resulting from any ideas, methods, instructions or products referred to in the content. |
© 2023 by the authors. Licensee MDPI, Basel, Switzerland. This article is an open access article distributed under the terms and conditions of the Creative Commons Attribution (CC BY) license (https://creativecommons.org/licenses/by/4.0/).
Share and Cite
Yang, H.; San, Y.; Chen, Y.; Ma, Y.; Wang, X.; Shoukat, M.R.; Zheng, Y.; Hui, X. Monitoring and Investigating the Change Patterns of Major Growth Parameters of Almond (Badam) Trees under Different Irrigation Conditions. Water 2023, 15, 3731. https://doi.org/10.3390/w15213731
Yang H, San Y, Chen Y, Ma Y, Wang X, Shoukat MR, Zheng Y, Hui X. Monitoring and Investigating the Change Patterns of Major Growth Parameters of Almond (Badam) Trees under Different Irrigation Conditions. Water. 2023; 15(21):3731. https://doi.org/10.3390/w15213731
Chicago/Turabian StyleYang, Huimin, Yunlong San, Yifei Chen, Yan Ma, Xuenong Wang, Muhammad Rizwan Shoukat, Yudong Zheng, and Xin Hui. 2023. "Monitoring and Investigating the Change Patterns of Major Growth Parameters of Almond (Badam) Trees under Different Irrigation Conditions" Water 15, no. 21: 3731. https://doi.org/10.3390/w15213731
APA StyleYang, H., San, Y., Chen, Y., Ma, Y., Wang, X., Shoukat, M. R., Zheng, Y., & Hui, X. (2023). Monitoring and Investigating the Change Patterns of Major Growth Parameters of Almond (Badam) Trees under Different Irrigation Conditions. Water, 15(21), 3731. https://doi.org/10.3390/w15213731

