Multi-Dimensional Collaborative Operation Model and Evaluation of Cascade Reservoirs in the Middle Reaches of the Yellow River
Abstract
:1. Introduction
2. Construction of a Two-Objective Optimal Operation Model for the Cascade Reservoir Group
2.1. Objective Function
2.2. Constraints
2.2.1. Water Volume Constraint of Cascade Reservoirs
2.2.2. Water Balance Constraints
2.2.3. Water Level Constraint
2.2.4. Outflow Constraint
2.2.5. Output Constraint
3. Solution of the Multi-Objective Optimal Reservoir Operation Model
3.1. Model Coding
3.2. Computation Steps
4. Analysis of the Multi-Objective Operation Results
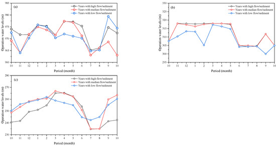
4.1. High Flow/Sediment Year
4.2. Median Water/Sediment Year
4.3. Low Flow/Sediment Year
5. Comprehensive Evaluation of the Multidimensional Coordination Operation Scheme of Cascade Reservoirs
5.1. Evaluation Index System
5.2. Evaluation Index Method
5.3. Evaluation Index System Data
5.4. Optimization and Analysis of Reservoir Operation Scheme
6. Conclusions
Author Contributions
Funding
Data Availability Statement
Acknowledgments
Conflicts of Interest
References
- Turgeon, A. Optimal short-term hydro scheduling from the principle of progressive optimality. Water Resour. Res. 1981, 17, 481–486. [Google Scholar] [CrossRef]
- Homa, E.S.; Vogel, R.M.; Smith, M.P.; Apse, C.D.; Huber-Lee, A.; Seiber, J. An optimization approach for balancing human and ecological flow needs. In Impacts of Global Climate Change; World Water and Environmental Resources Congress ASCE: Anchorage, AK, USA, 2005. [Google Scholar]
- Wang, Y.; Zhang, N.; Wang, D.; Wu, J.; Zhang, X. Investigating the impacts of cascade hydropower development on the natural flow regime in the Yangtze River, China. Sci. Total Environ. 2018, 624, 1187–1194. [Google Scholar] [CrossRef] [PubMed]
- Xu, W. Study on multi-objective operation strategy for multi-reservoirs in small-scale watershed considering ecological flows. Water Resour. Manag. 2020, 34, 4725–4738. [Google Scholar] [CrossRef]
- Simonov, E.A.; Nikitina, O.I.; Egidarev, E.G. Freshwater ecosystems versus hydropower development: Environmental assessments and conservation measures in the transboundary Amur River Basin. Water 2019, 11, 1570. [Google Scholar] [CrossRef]
- Galletti, A.; Avesani, D.; Bellin, A.; Majone, B. Detailed simulation of storage hydropower systems in large Alpine watersheds. J. Hydrol. 2021, 603, 127125. [Google Scholar] [CrossRef]
- Chamoun, S.; De Cesare, G.; Schleiss, A.J. Managing reservoir sedimentation by venting turbidity currents: A review. Int. J. Sediment Res. 2016, 31, 195–204. [Google Scholar] [CrossRef]
- Poff, N.L.; Allan, J.D.; Palmer, M.A.; Hart, D.D.; Richter, B.D.; Arthington, A.H.; Kevin, H.; Rogers, K.H.; Meyer, J.H.; Stanford, J.A. River flows and water wars: Emerging science for environmental decision making. Front. Ecol. Environ. 2003, 1, 298–306. [Google Scholar] [CrossRef]
- Suen, J.P. Determining the ecological flow regime for existing reservoir operation. Water Resour. Manag. 2010, 25, 817–835. [Google Scholar] [CrossRef]
- Liu, Y.; Zhao, J.; Zheng, H. Piecewise-linear hedging rules for reservoir operation with economic and ecologic objectives. Water 2018, 10, 865. [Google Scholar] [CrossRef]
- He, S.; Guo, S.; Zhang, J.; Liu, Z.; Cui, Z.; Zhang, Y.; Zheng, Y. Multi-objective operation of cascade reservoirs based on short-term ensemble streamflow prediction. J. Hydrol. 2022, 610, 127936. [Google Scholar] [CrossRef]
- Du, D.X.; Zhu, H.S. A study on the optimal operation scheme of the Sanmenxia Reservoir through comprehensive regulation of incoming runoff and sediment. J. Hydroelectr. Eng. 1992, 2, 14–26. [Google Scholar]
- Zhu, H.S.; Qiu, L. Optimal Operation of Water and Sediment Regulation in Cascade Reservoirs in the Upper Reaches of the Yellow River. Syst. Eng. Theory Pract. 1990, 6, 54–60. [Google Scholar]
- Bao, W.M.; Zhang, S.M.; Qu, S.M.; Huang, X.Q.; Zhao, C.; Ji, H.X. Total sediment density current differential equation: I theory. J. Hydrodyn. 2005, 20, 497–500. [Google Scholar]
- Lian, J.J.; Hu, M.G.; Liu, Y.Y. Research of multi objective operation of water and sand in reservoir on sandy river. J. Hydroelectr. Eng. 2004, 23, 12–16. [Google Scholar]
- Wu, W.; Zhou, X.D.; Wang, X.H.; Cheng, W. Research and application on water-sediment coordinative optimized dispatch of water-supply reservoir in the sediment-laden river. J. Northwest AF Univ. 2010, 12, 221–229. [Google Scholar]
- Jin, J.; Ma, G.W.; Lv, J.B. Study on power generation plan and water-sediment joint dispatching plan of reservoirs in the lower Dadu river reach. J. Hydroelectr. Eng. 2011, 30, 210–214. [Google Scholar]
- Peng, Y.; Li, Y.T.; Zhang, H.W. Multi objective decision-making model for coordinative dispatch of water and sediment in reservoir. Shuili Xuebao 2004, 35, 7. [Google Scholar]
- Bai, T.; Kan, Y.B.; Chang, J.X.; Yuan, M. Single-multi-objective operation models and its application on the regulation of water and sediment by cascade reservoirs. Adv. Water Sci. 2016, 27, 116–127. [Google Scholar]
- Li, H.; Lian, J.J. Multi-Objective Optimization of Water-Sedimentation-Power in Reservoir Based on Pareto-Optimal Solution. Trans. Tianjin Univ. 2008, 14, 282–288. [Google Scholar] [CrossRef]
- Lian, J.J.; Wan, Y.; Zhang, J.L. Study on optimal operation of cascade reservoirs for density current process. J. Hydroelectr. Eng. 2008, 1, 18–23. [Google Scholar]
- Liu, F.; Ji, C.M.; Xiang, T.F.; Zhou, Q. The optimal dispatch of water and sediment in reservoir based on the catfish effect multi-objective particle swarm algorithm. China Rural. Water Hydropower 2012, 11, 4–8. [Google Scholar]
- Hall, W.A.; Butcher, W.S.; Esogbue, A. Optimization of the operation of a multiple-purpose reservoir by dynamic programming. Water Resour. Res. 1968, 4, 471–477. [Google Scholar] [CrossRef]
- Rossman, L.A. Reliability-constrained dynamic programing and randomized release rules in reservoir management. Water Resour. Res. 1977, 13, 247–255. [Google Scholar] [CrossRef]
- Chen, C.; Yuan, Y.; Yuan, X. An improved NSGA-III algorithm for reservoir flood control operation. Water Resour. Manag. 2017, 31, 4469–4483. [Google Scholar] [CrossRef]
- Kasat, R.B.; Gupta, S.K. Multi-objective optimization of an industrial fluidized-bed catalytic cracking unit (FCCU) using genetic algorithm (GA) with the jumping genes operator. Comput. Chem. Eng. 2003, 27, 1785–1800. [Google Scholar] [CrossRef]
- Holland, J. Genetic algorithms. Sci. Am. 1992, 267, 66–72. [Google Scholar] [CrossRef]
- Avesani, D.; Galletti, A.; Piccolroaz, S.; Bellin, A.; Majone, B. A dual-layer MPI continuous large-scale hydrological model including Human Systems. Environ. Model. Softw. 2021, 139, 105003. [Google Scholar] [CrossRef]
- Eberhart, R.; Kennedy, J. A new optimizer using particle swarm theory. In Proceedings of the MHS’95 Sixth International Symposium on Micro Machine and Human Science, Nagoya, Japan, 4–6 October 1995. [Google Scholar]
- Saeed, I.K. Artificial Neural Network Based on Optimal Operation of Economic Load Dispatch in Power System. ZANCO J. Pure Appl. Sci. 2019, 31, 94–102. [Google Scholar]
- Downing, K. Evolving Artificial Neural Networks; MIT Press: Cambridge, MA, USA, 1999; pp. 1423–1447. [Google Scholar]
- Wang, H.; Hu, J. Research on Optimal Scheduling of Power System Based on Ant Colony Algorithm. In Journal of Physics: Conference Series; IOP Publishing: Bristol, UK, 2022; Volume 2044, p. 012051. [Google Scholar]
- Blum, D.; Dortmund, U. Ant colony optimization (ACO). J. Interdiscip. Math. 2013, 8, 157–168. [Google Scholar]
- Azizipour, M.; Sattari, A.; Afshar, M.H.; Goharian, E.; Solis, S.S. Optimal hydropower operation of multi-reservoir systems: Hybrid cellular automata-simulated annealing approach. J. Hydroinform. 2022, 22, 1236–1257. [Google Scholar] [CrossRef]
- Kirkpatrick, S.; Gelatt, C.D.; Vecchi, M.P. Optimization by Simulated Annealing. Read. Comput. Vis. 1983, 220, 606–615. [Google Scholar] [CrossRef] [PubMed]
- Adankon, M.M.; Cheriet, M. Support Vector Machine. Comput. Sci. 2002, 1, 1–28. [Google Scholar]
- Wu, J.K.; Zhu, Y.N.; Wei, S.G. Multi-objective optimal scheduling for cascaded hydroelectric power plant based on improved membership functions. Power Syst. Technol. 2011, 35, 48–52. [Google Scholar]
- Kumar, D.N.; Reddy, M.J. Ant Colony Optimization for Multi-Purpose Reservoir Operation. Water Resour. Manag. 2006, 20, 879–898. [Google Scholar] [CrossRef]
- Peng, Y.; Ji, C.M.; Liu, F. Impounding Time and Objective Decision of SiluoduXiangjiaba Cascade Reservoirs in the Flood Recession Period. J. Basic Sci. Eng. 2014, 6, 1098–1107. [Google Scholar]
- Lian, J.J.; Liu, Y.Y.; Hu, M.G.; Zhang, J.L. Calculation of the Scour and Sediment of Sanmenxia Reservoir Based on Improved BP Network. J. Tianjin Univ. 2004, 10, 882–885. [Google Scholar]
- Avesani, D.; Zanfei, A.; Di Marco, N.; Galletti, A.; Ravazzolo, F.; Righetti, M.; Majone, B. Short-term hydropower optimization driven by innovative time-adapting econometric model. Appl. Energy 2022, 310, 118510. [Google Scholar] [CrossRef]
- Reddy, M.J.; Kumar, D.N. Optimal Reservoir Operation Using Multi-Objective Evolutionary Algorithm. Water Resour. Manag. 2006, 20, 861–878. [Google Scholar] [CrossRef]
- Brouwer, R.K.; Groenwold, A. Modified fuzzy c-means for ordinal valued attributes with particle swarm for optimization. Fuzzy Sets Syst. 2010, 161, 1774–1789. [Google Scholar] [CrossRef]
- Zhou, J.Z.; Li, H.Y.; Xiao, G.; Zhang, Y.C. Multi-objective optimal dispatch of cascade hydropower stations based on shuffled particle swarm operation algorithm. Shuili Xuebao 2010, 39, 1212–1219. [Google Scholar]
- Ding, S.X.; Dong, Z.C.; Wang, D.Z.; Li, Q.H. MOP of feeding reservoir group optimal operation based on SPEA. Adv. Water Sci. 2008, 19, 679–684. [Google Scholar]
- Qin, H.; Zhou, J.Z.; Xiao, G.; Zhao, Y.F.; Lu, Y.L.; Zhang, Y.C. Multi-objective optimal dispatch of cascade hydropower stations using strength Pareto differential evolution. Adv. Water Sci. 2010, 21, 377–384. [Google Scholar]
- Wang, X.B.; Chang, J.X.; Meng, X.J.; Wang, Y.M. Research on multi-objective operation based on improved NSGA-II for the lower Yellow River. Shuili Xuebao 2017, 48, 135–145+156. [Google Scholar]
- Xue, W.; Wang, Y.; Chen, Z.; Liu, H. An integrated model with stable numerical methods for fractured underground gas storage. J. Clean. Prod. 2023, 393, 136268. [Google Scholar] [CrossRef]
- Deb, K.; Agarwal, S.; Pratap, A.; Meyarivan, T. A fast and elitist multiobjective genetic algorithm: NSGA-II. IEEE Trans. Evol. Comput. 2002, 6, 182–197. [Google Scholar] [CrossRef]
- Deng, J.L. Grey Prediction and Grey Decision-Making; Huazhong university of Science & Technology Press: Wuhan, China, 2002. [Google Scholar]
- Sui, D.P.; Zhang, Y.Y.; Zhang, Y.Z. A Review of Prospect Theory and Its Value Function and Weight Function Research. Commer. Times 2011, 12, 73–75. [Google Scholar]






| Typical Year | Years with High Flow/Sediment (November 2008–October 2009) | Years with Median Flow/Sediment (November 2010–October 2011) | Years with Low Flow/Sediment (November 2016–October 2017) | ||||||
|---|---|---|---|---|---|---|---|---|---|
| Mean Monthly Discharge (m3/s) | Wanjiazhai | Sanmenxia | Xiaolangdi | Wanjiazhai | Sanmenxia | Xiaolangdi | Wanjiazhai | Sanmenxia | Xiaolangdi |
| 11 | 515 | 734 | 758 | 451 | 558 | 504 | 289 | 458 | 442 |
| 12 | 249 | 313 | 336 | 360 | 546 | 444 | 392 | 528 | 494 |
| 1 | 290 | 326 | 310 | 376 | 429 | 322 | 362 | 453 | 419 |
| 2 | 403 | 591 | 658 | 440 | 506 | 482 | 445 | 445 | 444 |
| 3 | 954 | 916 | 984 | 768 | 866 | 874 | 546 | 614 | 539 |
| 4 | 990 | 918 | 980 | 700 | 680 | 644 | 301 | 579 | 529 |
| 5 | 305 | 443 | 508 | 347 | 489 | 440 | 192 | 298 | 283 |
| 6 | 350 | 494 | 663 | 392 | 504 | 468 | 217 | 402 | 391 |
| 7 | 336 | 383 | 391 | 406 | 599 | 670 | 321 | 464 | 542 |
| 8 | 504 | 640 | 625 | 447 | 744 | 668 | 354 | 637 | 625 |
| 9 | 1063 | 1484 | 1577 | 915 | 2460 | 2486 | 716 | 1020 | 1079 |
| 10 | 521 | 712 | 632 | 487 | 961 | 935 | 517 | 1228 | 1087 |
| Wanjiazhai | Sanmenxia | Xiaolangdi | |||||||
| Maximum Water Level (m) a | 980.01 | 319.42 | 273.5 | ||||||
| Minimum Water Level (m) | 921.38 | 283.46 | 205.01 | ||||||
| Operation Scheme Set A | Average Output (105 kW) | Average Change in Ecological Flow |
|---|---|---|
| A1 | 2.8759 | 0.0745 |
| A2 | 2.8886 | 0.0752 |
| … | … | … |
| A138 | 3.2013 | 0.1389 |
| Operation Scheme Set B | Average Output (105 kW) | Average Change in Ecological Flow |
|---|---|---|
| B1 | 2.6493 | 0.1908 |
| B2 | 2.6496 | 0.1910 |
| … | … | … |
| B111 | 2.8210 | 0.2502 |
| Operation Scheme Set C | Average Output (105 kW) | Average Change in Ecological Flow |
|---|---|---|
| C1 | 2.5540 | 0.2691 |
| C2 | 2.5552 | 0.2705 |
| … | … | … |
| C91 | 2.5518 | 0.2653 |
| Operation Scheme Set A | Power Generation Index X1 | Ecological Index X2 | Flood Control Index X3 | ||||||
|---|---|---|---|---|---|---|---|---|---|
| X11 | X12 | X13 | X21 | X22 | X23 | X31 | X32 | X33 | |
| A1 | 3.3946 | 0.0929 | 0.1431 | 1.9825 | 0.0913 | 0.2343 | 3.2503 | 0.0395 | 0.4922 |
| A2 | 3.3936 | 0.0945 | 0.1442 | 1.9988 | 0.0907 | 0.2356 | 3.2732 | 0.0405 | 0.4907 |
| … | … | … | … | … | … | … | … | … | … |
| A138 | 3.4746 | 0.0977 | 0.1008 | 2.2681 | 0.0970 | 0.2506 | 3.8612 | 0.2220 | 0.9874 |
| Operation Scheme Set B | Power Generation Index X1 | Ecological Index X2 | Flood Control Index X3 | ||||||
|---|---|---|---|---|---|---|---|---|---|
| X11 | X12 | X13 | X21 | X22 | X23 | X31 | X32 | X33 | |
| B1 | 2.9483 | 0.0941 | 0.1380 | 1.8842 | 0.4029 | 0.2913 | 3.1153 | 0.0753 | 0.8529 |
| B2 | 2.9473 | 0.0939 | 0.1376 | 1.8843 | 0.4028 | 0.2856 | 3.1171 | 0.0764 | 0.8583 |
| … | … | … | … | … | … | … | … | … | … |
| B111 | 3.0063 | 0.1105 | 0.1055 | 2.0555 | 0.3961 | 0.3706 | 3.4241 | 0.2694 | 0.8938 |
| Operation Scheme Set C | Power Generation Index X1 | Ecological Index X2 | Flood Control Index X3 | ||||||
|---|---|---|---|---|---|---|---|---|---|
| X11 | X12 | X13 | X21 | X22 | X23 | X31 | X32 | X33 | |
| C1 | 2.2495 | 0.1630 | 0.1615 | 1.9110 | 0.4174 | 0.3133 | 3.5013 | 0.2266 | 0.9721 |
| C2 | 2.2503 | 0.1632 | 0.1608 | 1.9130 | 0.4187 | 0.3159 | 3.5023 | 0.2295 | 0.9607 |
| … | … | … | … | … | … | … | … | … | … |
| C91 | 2.2435 | 0.1516 | 0.1801 | 1.9220 | 0.4202 | 0.2709 | 3.4897 | 0.2240 | 0.9872 |
| Scheme Set A No. | Positive Bullseye Coefficient | Negative Bullseye Coefficient | ||||
|---|---|---|---|---|---|---|
| X11 | X12 | X13 | X11 | X12 | X13 | |
| Scheme A1 | 0.3362 | 0.3333 | 0.3333 | 0.9752 | 1 | 1 |
| Scheme A2 | 0.3333 | 0.3464 | 0.3419 | 1 | 0.8980 | 0.9301 |
| … | … | … | … | … | … | … |
| Scheme A138 | 0.9723 | 0.9893 | 1 | 0.3365 | 0.3345 | 0.3333 |
| Scheme Set A No. | X1 | X2 | X3 |
|---|---|---|---|
| Scheme A1 | −1.6355 | 0.0664 | −0.7731 |
| Scheme A2 | −1.5573 | −0.1248 | −0.6834 |
| … | … | … | … |
| Scheme A138 | 0.6565 | −1.5664 | −0.1283 |
| Scheme Set A No. | Very High | High | General | Low | Very Low |
|---|---|---|---|---|---|
| Scheme A1 | 0.1016 | 0.1482 | 0.2001 | 0.2520 | 0.2979 |
| Scheme A2 | 0.0859 | 0.1350 | 0.1953 | 0.2608 | 0.3229 |
| … | … | … | … | … | … |
| Scheme A138 | 0.1553 | 0.1876 | 0.2112 | 0.2230 | 0.2229 |
| Scheme Set A No. | Score | Ranking |
|---|---|---|
| Scheme A1 | 70.0368 | 45 |
| Scheme A2 | 69.0019 | 94 |
| … | … | … |
| Scheme A138 | 73.2936 | 1 |
| Typical Year | Scheme No. | Average Output /105 kW | Average Change in Ecological Flow | Score |
|---|---|---|---|---|
| Year with high flow/sediment | Scheme A138 | 3.2013 | 0.1389 | 73.29 |
| Year with median flow/sediment | Scheme B66 | 2.8324 | 0.2627 | 73.17 |
| Year with low flow/sediment | Scheme C33 | 2.4513 | 0.2130 | 72.51 |
| Typical Year | Average Output/105 kW | Average Change in Ecological Flow |
|---|---|---|
| Years with high flow/sediment | 2.8245 | 0.1575 |
| Years with median flow/sediment | 2.5656 | 0.3703 |
| Years with low flow/sediment | 2.1067 | 0.3803 |
Disclaimer/Publisher’s Note: The statements, opinions and data contained in all publications are solely those of the individual author(s) and contributor(s) and not of MDPI and/or the editor(s). MDPI and/or the editor(s) disclaim responsibility for any injury to people or property resulting from any ideas, methods, instructions or products referred to in the content. |
© 2023 by the authors. Licensee MDPI, Basel, Switzerland. This article is an open access article distributed under the terms and conditions of the Creative Commons Attribution (CC BY) license (https://creativecommons.org/licenses/by/4.0/).
Share and Cite
Li, X.; Wang, Q.; Wang, Y.; Zhang, H.; Li, J.; Li, D. Multi-Dimensional Collaborative Operation Model and Evaluation of Cascade Reservoirs in the Middle Reaches of the Yellow River. Water 2023, 15, 3523. https://doi.org/10.3390/w15193523
Li X, Wang Q, Wang Y, Zhang H, Li J, Li D. Multi-Dimensional Collaborative Operation Model and Evaluation of Cascade Reservoirs in the Middle Reaches of the Yellow River. Water. 2023; 15(19):3523. https://doi.org/10.3390/w15193523
Chicago/Turabian StyleLi, Xinjie, Qiang Wang, Yuanjian Wang, Hongtao Zhang, Jieyu Li, and Donglin Li. 2023. "Multi-Dimensional Collaborative Operation Model and Evaluation of Cascade Reservoirs in the Middle Reaches of the Yellow River" Water 15, no. 19: 3523. https://doi.org/10.3390/w15193523
APA StyleLi, X., Wang, Q., Wang, Y., Zhang, H., Li, J., & Li, D. (2023). Multi-Dimensional Collaborative Operation Model and Evaluation of Cascade Reservoirs in the Middle Reaches of the Yellow River. Water, 15(19), 3523. https://doi.org/10.3390/w15193523

