Next Article in Journal
Balancing Water Ecosystem Services: Assessing Water Yield and Purification in Shanxi
Next Article in Special Issue
Morphometric Differentiation of the Swimming Crab Portunus sanguinolentus (Herbst, 1783) Populations in East Asia: Implications for Stock Identification and Management
Previous Article in Journal
Assessing the Impact of Hg-Contaminated Sediments Washing through Sentinel Species: A Mesocosm Approach
Previous Article in Special Issue
The Transformation of Coastal Governance, from Human Ecology to Local State, in the Jimei Peninsula, Xiamen, China
 
 
Font Type:
Arial Georgia Verdana
Font Size:
Aa Aa Aa
Line Spacing:
Column Width:
Background:
Article

Optimizing the Fishery and Solar Power Symbiosis Model for Sustainable Marine Resource Management: Evaluating the Effects of Solar Shading on the Growth and Water Quality of Litopenaeus vannamei and Chanos chanos

1
Fisheries Research Institute, Ministry of Agriculture, Tainan 701, Taiwan
2
Department of Leisure & Tourism Management, Shu-Te University, Kaohsiung 82445, Taiwan
3
Institute of Fisheries Science, National Taiwan University, Taipei City 10617, Taiwan
*
Author to whom correspondence should be addressed.
Water 2023, 15(18), 3260; https://doi.org/10.3390/w15183260
Submission received: 12 August 2023 / Revised: 11 September 2023 / Accepted: 12 September 2023 / Published: 13 September 2023
(This article belongs to the Special Issue Coastal Ecology and Fisheries Management)

Abstract

:
The stable supply of renewable energy is imperative in many countries lacking domestic energy production. Thus, green energy will likely dominate future energy development trends. Taiwan’s thriving aquaculture industry presents an opportunity to integrate fisheries with electricity generation by transforming aquaculture into a symbiotic fishery–photovoltaic structure that provides stable, clean energy with potential economic benefits. This integrated model offers several advantages, such as temperature regulation and mobility, without needing to use land. However, several unexplored issues warrant further investigation. This study assessed the solar shading effects within the symbiotic fishery–photovoltaic model by comparing the growth of Litopenaeus vannamei and Chanos chanos under mixed cultivation conditions in an integrated system versus traditional fishponds. No substantial growth differences occurred for C. chanos between the systems. However, the body weight of L. vannamei was notably higher in traditional ponds versus the integrated system. Beyond evaluating the species’ growth, the aquatic environments were compared between the systems. The integrated model maintained a higher dissolved oxygen content and had lower ammonia and nitrite nitrogen levels than traditional co-cultivation. Moreover, this study provides valuable insights into the impacts of solar shading on the symbiotic fishery–photovoltaic model, shedding light on its potential benefits for nations lacking self-produced energy. Fishery–electricity symbiosis is a mutually beneficial integration of aquaculture and photovoltaics.

1. Introduction

Many countries face a scarcity of domestically produced energy, resulting in a widespread appreciation for the stable supply of green energy. Renewable energy has already become the trend of future energy developments [1]. According to data from the Bureau of Energy, Taiwan [2], there has been a yearly increasing trend in the amount of solar energy generated in Taiwan. In 2022, solar energy generation reached 10,677 GWh, accounting for 44.78% of the total renewable energy output. The development of Taiwan’s aquaculture industry is thriving, and the transformation of the fishery industry into an integrated fishery–electricity structure is in line with current trends. The combustion of fossil fuels, especially coal, gasoline, and diesel, is a major source of airborne particulate matter (PM) and ground-level ozone pollution, both of which are considered key factors in the global burden of mortality and disease [3]. The integration of photovoltaic facilities with traditional aquaculture can reduce the consumption of chemical energy (fossil fuels), lower the expenditure on electricity for aquaculture, and provide a stable supply of clean energy, with potential benefits for energy and the production efficiency of aquaculture in the future [4]. When fishponds are transformed into floating photovoltaic systems combined with aquaculture, they shade a portion of sunlight from the ponds’ surface, affecting the biological systems within. This impact includes changes in algal growth due to variations in light, which subsequently alter the nutrient factors in the water [5]. Changes in light exposure also affect the embryonic development of aquatic organisms, leading to disturbances in the growth of fry [6]. Apart from the embryonic stage, variations in light can influence the larval growth, color, and physiological mechanisms of fish and the ecological factors that affect the larval growth of fish. Some of these factors are light intensity, photoperiod, turbidity, predation, competition, and food availability [7].
The main advantages of developing floating photovoltaic systems include the fact that no land resources are needed, and the systems have rapid mobility and are easy to assemble. Moreover, floating photovoltaic systems have a higher power generation efficiency than terrestrial systems [7,8]. Floating photovoltaic systems are typically installed on the surface of reservoirs, and their benefits are being assessed by many countries in various rivers and reservoirs [9]. The shading effect of floating photovoltaics can reduce the evaporation of water, making them suitable for operations and applications that use solar power generation in water bodies [10,11]. They also demonstrate superior power-generating capabilities [12,13].
Litopenaeus vannamei and Chanos chanos are species extensively cultivated in Southern Taiwan. L. vannamei, introduced to Taiwan by the Fisheries Agency of the Council of Agriculture in the early 1980s, is a euryhaline tropical shrimp species. It can thrive in salinities ranging from 0 to 35‰ and tolerates a temperature range of 15–38 °C, with an optimal growth temperature of 22–35 °C. It is confined to regions where the water temperatures remain above 20 °C (68 °F) throughout the year, establishing itself as one of the four major cultivated shrimp species in Taiwan. C. chanos is one of the primary aquaculture species in Taiwan and is native to tropical and subtropical waters. This species can adapt to a variety of salinity conditions, from freshwater in rivers to brackish waters in estuarine mangrove areas, lagoons, and marine environments, such as sandy terrains or coral reefs. Artificial breeding of this species has also been successfully achieved. However, C. chanos is less tolerant of cold. Its resistance diminishes below 14 °C, and there are occurrences of mortality when temperatures drop below 10 °C. Therefore, preparations for overwintering are necessary during its cultivation. According to Taiwan’s cumulative table of stocked fish species, there are currently 1686 households cultivating L. vannamei, spanning an area of 963 hectares, with 3855 fishponds stocked. As per Taiwan’s Fisheries Yearbook 2018, the area dedicated to the cultivation of C. chanos in Taiwan is 9721 hectares, of which 5838 hectares are saltwater fishponds and 3883 hectares are freshwater fishponds, according to the Fisheries Agency of the Council of Agriculture. The co-cultivation of C. chanos and L. vannamei is prevalent in Southern Taiwan, highlighting the potential importance of a model combining the co-cultivation of C. chanos plus L. vannamei and photovoltaic aquaculture in the fisheries industry.
Coastal fishponds are vulnerable to the impact of seasonal fluctuations in rainfall and temperature, which can lead to drastic changes in a pond’s salinity. Such changes can cause significant fluctuations in the concentrations of nitrates, nitrites, and ammonium in the water, affecting the growth, physiological functions, and survival of aquatic organisms. Nitrites and ammonium, in particular, can affect the physiological regulation and survival of aquatic organisms [14,15]. Monitoring the pH levels in aquaculture ponds can be used to determine the concentration of inorganic acids in the water [16]. Measuring the oxidation–reduction potential (ORP) of the water in aquaculture ponds can serve as an indicator for assessing the water’s oxidizing and reducing abilities [17] and thereby evaluating the concentration of organic matter. The conductivity of the water can be used as an index for monitoring water quality and the concentration of metallic salts. Through these indicators, we can analyze changes in water quality in the symbiotic fishery–solar power model, and the basic information of the cultured organisms can be used to modify the conditions for aquacultural management.
The effects of combining floating solar facilities with the co-cultivation of C. chanos and L. vannamei on aquaculture have not been extensively explored. This study underscores the importance of concurrently evaluating various parameters of water quality and cultivation in the cultivation of mixed species, particularly under varying rates of solar shading. This study used solar panels with shading rates of 40% and 0% to investigate their impact on traditional cultivation parameters, such as biological growth, temperature, salinity, pH, dissolved oxygen, redox potential, conductivity, nitrates, nitrites, and ammonium. The goal was to clarify the status of these parameters when applied to the symbiotic fishery–solar power model, which will potentially benefit the innovation and transformation of the aquaculture industry in the future. This study’s main contribution is that it evaluated the effects of solar shading on water quality and the growth of L. vannamei and C. chanos in a symbiotic fishery–solar power model. The study demonstrated the feasibility and advantages of combining aquaculture with the generation of photovoltaic power, which can enhance the production efficiency of L. vannamei and C. chanos, improve the water’s quality, reduce the consumption of fossil fuels, and provide stable and clean energy. This study also offers valuable insights for the innovation and transformation of aquaculture in the future and suggests its potential benefits for countries facing challenges of energy self-sufficiency.

2. Method

2.1. Study Area

The study was conducted at a C. chanos farm integrated with a floating solar photovoltaic facility. The farm is part of the Marine Aquaculture Research Center of the Fisheries Research Institute, Council of Agriculture, Executive Yuan (geographical coordinates: 23°0713.7″ N 120°04′49.8″ E; Figure 1). The research took place from October 2018 to May 2019, with solar photovoltaic panels mounted on the rafts for experimentation. The experimental group’s farm covered an area of 0.03 hectares, featuring a floating platform composed of rubber and stainless steel for the solar photovoltaic system. The area shaded by the photovoltaic system constituted 40% of the pond’s total area (this part is hereafter referred to as the experimental group). For comparison, a control group with a shading rate of 0% was established.

2.2. Biological Monitoring

In Taiwan, the co-cultivation of L. vannamei and C. chanos is quite prevalent. Therefore, this study attempted to integrate photovoltaics into the co-cultivation of L. vannamei and C. chanos. The stocking density of L. vannamei was determined based on the Fisheries Yearbook of the Tainan area, with a benchmark of 400,000 to 1,000,000 individuals per hectare. Given the total farming area of 0.06 hectares in both groups, each treatment group was stocked with 25,000 black-shelled shrimp larvae. Artificial feed was provided once in the morning and once in the afternoon daily. In this study, the cultivation of L. vannamei utilized an artificial feed named “Nan Shui Yan No. 1 Prawn Feed” developed and produced by the Taiwan Fisheries Research Institute. For C. chanos, the artificial feed comprised sinking-type (PM) fish meal from Pesquera Diamante S.A. (Lima, Peru) and Austral Group S.A.A. (Lima, Peru), soybean meal from the Da Tong Yi and Zhong Lian Oil & Fats Company, and vitamins and minerals supplied by Multi-advance Biotechnology Co., Ltd. (Taoyuan City, Taiwan) The average water depth of the pond varied between 200 cm and 250 cm. During the cultivation period, changes in the water were minimal, with seawater only added when the water level was too low or the salinity was too high. Each pond was equipped with a water wheel and a water pump, with natural seawater from a lagoon being introduced into the pond. The weight and total length of the organisms were recorded monthly, with a minimum of 10 samples taken from each group. Each pond was stocked with 700 C. chanos with an initial weight of 3.18 ± 0.92 g and a body length of 7.47 ± 0.64 cm. The weight and total length were also recorded monthly, with a minimum of 10 samples taken from each group. In this study, the mortality rates of L. vannamei and C. chanos were effectively controlled to less than 5%, aligning with the mortality rate standards for aquaculture set by the Council of Agriculture in Taiwan. The experimental cultivation period spanned six months.

2.3. Pond Preparation

Typically, after harvest, the bottom of the pond is cleared, which involves the cleaning of the entire pond, sludge, and the drying area, and the application of lime for disinfection. After the pond has been drained, sunlight is utilized to dry the bottom soil, leading to comprehensive oxidation of the soil. The soil is then tilled using an excavator to expose and level the underlying layers. Lime, at a rate of 100 kg per square meter, is evenly spread across the pond. Water is then introduced to a depth of 30 cm and supplemented with sodium hypochlorite up to a concentration of 10 ppm and left to soak for three to five days for disinfection. Subsequently, 60 kg of tea seed meal per square meter is added. Aeration is carried out using a water wheel for seven days until the bubbles disappear. When microalgae and feed organisms start to grow, larvae can be introduced into the pond.

2.4. Water Quality Measurement Parameters

The salinity of the water in the aquaculture ponds was around 30–42 psu. During the experimental period, a water quality monitor was used to measure the pond water every two weeks at 09:00 and 16:00 for (i) the surface layer of the pond (0–10 cm below the surface), (ii) the middle layer of the pond (80–100 cm below the surface), and (iii) the bottom layer of the pond (0–10 cm above the pond’s bottom), for recording and analysis. The parameters we recorded and analyzed included the temperature, salinity, pH, dissolved oxygen, oxidation–reduction potential, and conductivity. These were measured using a multifunction water-quality measuring instrument, the Hydrolab Quanta, from the Woonsocket, RI, USA. Additionally, nitrites (NO2, HANNA HI96707, Villafranca Padovana, Italy), ammonium (NH4+, HANNA HI96700, Italy), and ammonia (NH3+, HANNA HI96700, Italy) were sampled at 10:30 am using a water sampler at a depth of 30–50 cm in the pond water. The samples were placed in a 1 L sampling bottle and taken to the laboratory for analysis. To achieve a true representation of the actual experimental conditions, parameters such as the temperature, salinity, dissolved oxygen, pH, oxidation–reduction potential, and conductivity values were analyzed and compared at 09:00 and 16:00 to confirm their actual differences. Additionally, during the research process, an automatic water-quality monitoring system from the Kuan Wei Company was used to monitor and record the temperature, dissolved oxygen, pH, and oxidation–reduction potential values of the aquaculture pond’s water 24 h a day. The monitoring instruments were cleaned and maintained weekly to preserve their sensitivity.

2.5. Statistical Analysis

In the co-cultivation of L. vannamei and C. chanos integrated with floating photovoltaic power generation, an independent-sample t-test (with α set at 0.05) was used for statistical analysis by IBM SPSS 18 Statistics software. This study opted for the independent-sample t-test because it is a commonly used statistical method for comparing the means of two groups and determining whether there is a significant difference between them. The t-test was deemed to be most appropriate for our dataset and the specific comparisons we aimed to make, ensuring clarity and precision in our findings. This was used to compare the monthly factors of water quality between the experimental groups (with 40% and 0% shading) and the control group.

3. Results

3.1. Growth Parameters

This section presents a comparison of the weight and body length of C. chanos and L. vannamei in a co-cultivation system using floating photovoltaic panels with 40% and 0% rates of shading. The L. vannamei in the 40% shading group had a weight of 16.26 ± 5.64 g, while those in the 0% shading group weighed 9.69 ± 4.68 g. There was a significant difference between the two groups (p < 0.05; Figure 2). The body length of L. vannamei in the 40% shading group was 13.57 ± 1.48 cm, while those in the 0% shading group measured 11.38 ± 1.86 cm. This showed a significant difference (p < 0.05; Figure 2). L. vannamei in the 40% shading group grew faster than those in the 0% shading group, indicating a significant difference (p < 0.05; Figure 2). For C. chanos, the 40% shading group had a weight of 85.56 ± 37.47 g, whereas those in the 0% shading group weighed 88.87 ± 30.29 g. No significant difference was found between the two groups (p > 0.05). The body length of C. chanos in the 40% shading group was 21.34 ± 2.63 cm, while in the 0% shading group it was 21.40 ± 2.23 cm. Again, there was no significant difference between the two groups (p > 0.05; Figure 3). The C. chanos in the 0% shading group grew faster than those in the 40% shading group, but the difference was not statistically significant.

3.2. Parameters of Water Quality

Starting from October, the temperature was measured at 09:00 AM in both treatment groups. No significant monthly temperature changes were observed (p > 0.05). However, at 16:00 PM, there were significant differences in the temperature changes between the two groups (Figure 4). In a monthly comparison, significant differences (p < 0.05) were found in the afternoon temperatures of both treatment groups in October and the subsequent February. In other months, despite no significant differences being found, the monitored data showed that the temperature of the 40% shading group was consistently lower. Regarding seasonal changes, temperatures began to decrease in October, reached their lowest in January, then gradually increased from February, peaking in April (Figure 4). During winter, the lowest recorded temperature for the 40% shading group was 14.3 °C in January, while for the 0% shading group it was 14.2 °C on the same day, a difference of 0.1 °C. The highest recorded temperature for the 40% shading group was 29.2 °C in April, while for the 0% shading group it was 29.3 °C on the same day, a difference of 0.1 °C. The rainfall and temperature charts from the Central Weather Bureau are shown in Figure 4.
The salinity of both treatment groups was at its lowest in October and reached a peak in February of the following year. There was no significant difference between the two groups in terms of monthly salinity. From October to April, as winter set in, the temperature consistently decreased while the salinity steadily increased. In February, the salinity reached 40 psu in the 40% shading group and 42 psu in the 0% shading group. By October, salinity dropped to its lowest level, reaching 23 psu in the 40% shading group and 31 psu in the 0% shading group (Figure 5). With the onset of the rainy season in March, the salinity levels reversed, resulting in higher salinity in the 40% shading group (Figure 5). The data indicated that the 0% shading group showed greater fluctuations in salinity, whereas the 40% shading group exhibited smaller changes (Figure 5). Rainfall and temperature charts from the Central Weather Bureau are included for reference (Figure 5).
The variation in dissolved oxygen from October 2018 to April 2019 was initially higher in the 40% shading group at 09:00 AM, with values exceeding 4.7 ppm; at 16:00 PM, the values exceeded 7.5 ppm. At 09:00 AM, the differences in dissolved oxygen between the two treatment groups were not significant, except in February, when a significant difference was found (p < 0.05). At 16:00 PM, the 40% shading group exhibited higher levels of dissolved oxygen, with a significant difference observed from October to March (p < 0.05); however, no significant difference was observed in April (Figure 6). The highest level of dissolved oxygen at 09:00 AM was recorded in March 2019, being 8.87 ppm in the 40% shading group and 7.87 ppm in the 0% shading group. The most substantial change in dissolved oxygen at 16:00 PM was recorded in January 2019, reaching 10.37 ppm in the 40% shading group and 10.25 ppm in the 0% shading group.
During the initial stage of the experiment, significant differences (p < 0.05) in the pH values were observed between the two groups at 09:00 AM in October, December, and February. However, no significant differences were noted in March and April. Furthermore, at 16:00 PM, the 40% shading group consistently demonstrated higher pH values from October 2018 to April 2019, with these differences being statistically significant (p < 0.05). Seasonally, the average pH values from October 2018 to April 2019 remained above 7.75, peaking at 8.41 in March (Figure 7). Throughout the experiment, the lowest recorded pH value for the 40% shading group was 7.54 in November 2019, while the 0% shading group recorded a slightly higher value of 7.68 on the same day: a difference of 0.14. The highest pH value was 8.42 in the 40% shading group in March 2019, compared with 8.18 on the same day in the 0% shading group: a difference of 0.24.
The oxidation–reduction potential (ORP) at 09:00 AM exhibited seasonal variations. From October 2018 to April 2019, the ORP of the 40% shading group showed significant differences in December (p < 0.05), while no significant differences were found in the other months. Throughout the experimental period, the ORP of the 0% shading group was generally lower, except for a slight rise in November. Moreover, when we compared the ORP values at 16:00 PM between the two groups, significant differences were observed from October to November and from February to April (p < 0.05). In contrast, there were no significant differences in the other months. The ORP was notably higher in the 0% shading group in March (p < 0.05). In terms of seasonal variations in the ORP values at 09:00 AM, the lowest average value was 120 mV in January, while at 16:00 PM the lowest average value was 262 mV in April. Hence, the ORP values in the afternoon were consistently higher than those in the morning. For most of the cultivation period, the ORP values in the 40% shading group were higher than those in the 0% shading group (Figure 8).
In the month-to-month variation in conductivity, there was no significant difference (p > 0.05) between the two treatment groups from October 2018 to April 2019. The chart shows that the average conductivity of the 0% shading group was higher, except in March 2019. In terms of seasonal changes, the average conductivity of the 0% shading group reached its highest value of 280 μs/cm in April 2019, while the 40% shading group recorded 264 μs/cm. The lowest values were achieved in March, with the average conductivity of the 40% shading group being 8.81 μs/cm and the 0% shading group registering 8.58 μs/cm. From April onwards, the conductivity values of both groups began to rise (Figure 9).
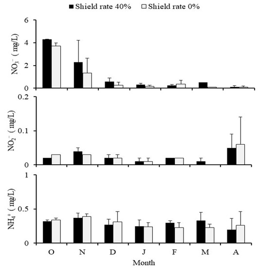
Seasonal variations from October 2018 to April 2019 revealed fluctuations in ammonium (NH4+) levels across both treatment groups, yet no significant differences were identified on a month-to-month basis between these groups (p > 0.05) (Figure 10). Nitrite (NO2) levels in both groups exhibited similar variability, with no significant monthly differences discerned between the groups (p > 0.05) (Figure 10). From October 2018 to April 2019, the nitrate (NO3) levels in the 40% shading group were typically higher, except in February, although no significant monthly differences were detected between the groups (p > 0.05) (Figure 10).

4. Discussion

Environmental factors in bodies of water undergo significant changes in response to monthly variations in the climate. In the final phase of cultivation, specifically during spring, the feeding activity of the fish increased, which led to an increased amount of feed being supplied and a subsequent significant rise in the nitrite and ammonium levels. The C. chanos fish grown in the 40% shading group displayed faster growth with significant differences in length and weight. In this study, our observations showed that during the early stages of stocking, juvenile C. chanos would school and feed at the pond’s surface during the day, making them vulnerable to bird attacks around sunrise and sunset. According to the research in [18], the economic losses caused by piscivorous birds in the process of aquaculture account for 10% of the yield. The growth of white shrimp cultured in groups with a 40% shading rate showed a quicker increase in weight and length. The floating solar photovoltaic system with a 40% shading treatment maintained lower temperatures throughout the cultivation process, which helped reduce water evaporation, improve the ecosystem, and promote the growth of fish [19].
In this study, our observations revealed that the growth of L. vannamei was faster in the group with a 40% shading rate. This is attributed to the high quantity of fine algae attached underneath the raft, providing the shrimp with a natural food source. The floating solar photovoltaic system helped to maintain a lower water temperature [8,9,20]. During the experiment, temperature fluctuations were minor in the morning, while the afternoon fluctuations were more pronounced. A swift decline in salinity due to rainfall resulted in a large-scale die-off of algae in the cultivation ponds, as they could not adapt to the sudden changes. This led to larger temperature disparities between the two groups. Hence, the 40% shading treatment group demonstrated improved growth of cultivated C. chanos, providing more stable breeding conditions. According to a study by [21], extreme temperature variations can affect the metabolism, movement, growth, and reproduction of aquatic organisms. By implementing floating solar photovoltaic systems, the impact of extreme climate on aquaculture organisms can be reduced, thereby minimizing their energy depletion. Consequently, the group with the 40% shading rate demonstrated enhanced growth of C. chanos in aquaculture, and the cultivation conditions were relatively stable. The 0% shading treatment group experienced larger average temperature fluctuations, leading to a collapse in the microalgal population during the changes in climate during autumn. In contrast, the 40% shading treatment group, with its smaller average temperature changes, witnessed minor changes in the concentration of algae, thus maintaining a more stable average daily temperature and reducing the risk of algal blooms. Both L. vannamei and C. chanos prefer warmer conditions, and the 40% shading treatment group experienced smaller fluctuations in temperature during winter. When cold fronts arrived, the ponds’ temperatures dropped more gradually, providing the aquatic organisms with more time to adapt and thereby reducing the damage caused by cold fronts. The survival of white shrimp juveniles is optimal at temperatures between 20 °C and 30 °C and at salinities above 20‰ [22]. For prawns, the optimal temperature is approximately 27 °C [23]. Furthermore, research has shown that the growth of juvenile fish is better in a warmer environment with sufficient food compared with cooler environments [24]. When the 40% shading group encountered significant climate changes, there were fewer fluctuations in the temperature and algae, resulting in less physiological impact on the fish and shrimp.
Starting in October, Tainan experiences reduced sunlight and temperature during autumn, leading to a decrease in photosynthesis in the ponds and a massive die-off of algae. Numerous studies have confirmed that the shading effect of floating solar photovoltaic facilities can decrease water evaporation [10,11]. As a result, this not only stabilizes the water’s quality but also conserves water resources, making it suitable for application in aquaculture models. As evidenced by the temperature and rainfall graphs from the meteorological bureau, the differences in salinity between the two treatment groups are a result of seasonal changes. The 40% shading treatment group displayed minor changes in salinity, illustrating its effectiveness in reducing water evaporation (Figure 4). In contrast, the 0% shading treatment group experienced larger changes in salinity, heavily influenced by climatic factors, particularly during winter or cold fronts, when photosynthesis decreased and salinity rapidly surged to over 40 psu, resulting in a massive die-off of algae in the cultivation ponds. In the application of power generation models for aquaculture, this study has found that the floating photovoltaic system in brackish fishponds aids in mitigating drastic changes in salinity. This indirectly helps to preserve the functionality of the fishpond and allows the aquatic organisms to conserve energy, which would otherwise be expended to regulate osmotic pressure due to the rapid changes in salinity. According to the literature [25,26], both fish and crustaceans need to consume energy to maintain osmotic balance within their bodies. Slowing down the rapid changes in salinity can indirectly reduce the energy consumed by aquatic organisms for regulating osmotic pressure. As a result, L. vannamei in the group with 40% shading grew faster. However, precautions need to be taken to prevent the invasion of exotic species, such as tilapia, flower frogs, and crabs. Pre-treatment of the pond water through, for example, disinfection with chlorine tablets can lessen the chance of invasion by foreign organisms and block the path of natural enemies and pathogens.
Previous studies have established a positive correlation between the pH and dissolved oxygen (DO) levels within water. As the aquaculture industry experiences rapid expansion across various countries, given the significance of factors pertaining to water quality, such as temperature, pH, and dissolved oxygen (DO), it has become progressively more essential to understand and manage them [27,28]. From October to April, the 40% shading group exhibited higher afternoon pH values, suggesting that the water temperature and dissolved oxygen parameters within the fishpond were relatively stable. A highly stable algae population can reduce the risk of algal blooms in the pond. This is mainly attributed to the smaller variations in pH and dissolved oxygen observed in the 40% shading group. The redox potential and pH value can be used to predict the water quality and assess the concentration of organic matter. During dry seasons, when the concentration of algae increases and they are agitated by the action of wind, the 0% shading treatment group exhibited higher dissolved oxygen levels (Figure 6). It was observed that the redox potential in the pond tended to rise with rainfall. Therefore, the months showing differences usually correspond with the rainy season. In a comparison of the monthly redox potentials, significant differences (p < 0.05) were observed between the two groups from October to December 2018 and from February to April. At 09:00 in the morning, only December displayed a significant difference (p < 0.05), while the remaining differences were found at 16:00 in the afternoon. This suggests that this time could serve as an optimal window for assessing the water quality. At 16:00 PM, the 0% shading group was higher only in March, showing a significant difference (p < 0.05). Moreover, due to the onset of rain in March, with 74.5 mm of rainfall, a strong correlation was noted between significant changes in water quality and rainfall. From October to April, no significant differences (p > 0.05) were found in the values of conductivity between the two treatment groups. As depicted in the figures, from October to February of the subsequent year, there was virtually no rainfall, and the conductivity decreased progressively. This can be attributed to sunlight, temperature, and the concentration of algae in the water. As the temperature started to decrease in October, the conductivity reached its lowest point in February–March. This is primarily because during this period, the temperature is relatively low, reducing the feeding efficiency of fish and shrimp (Figure 9). However, in April of the following year, as the farming period extended, the conductivity began to rise. When sunlight increased and the temperature rose, it led to a surge in feeding by aquatic organisms. As the temperature rose, the concentration of organic salts also increased. The seasonal shift in April resulted in a conductivity of >260 μs/cm, which was influenced by increased rainfall and feeding. However, throughout the year, the conductivity of the 0% shading group was slightly higher, but the difference between the two treatment groups reduced with the progression of the time of farming, and the conductivity began to increase in April. The lowest conductivity was recorded in February, during a period of cold, dry weather without rain, and the weather was relatively stable (Figure 4).
Monthly climatic variations were the reason for the higher nitrite levels in the 40% shading group from October to September. During the dry season from October to December, when rainfall is absent, the nitrite levels in the 0% shading group actually exceeded those of the 40% group, highlighting a significant difference. It is clear that the nitrite levels in the pond were substantially influenced by the amount of rainfall. In spring and summer, the nitrite levels in the 40% shading group were higher than those in the 0% shading group, primarily due to the vigorous photosynthesis in the 0% shading group, which effectively removed any nitrogenous waste in the pond. During this period, the 40% shading group, with a lower concentration of algae, was less equipped to handle nitrites. However, come autumn, the reduction in photosynthesis and the dramatic drop in salinity in the 40% shading group resulted in the mass die-off of algae, leading to higher nitrite levels in the 0% shading group. Consequently, the water quality became unstable, causing the fish to feed less frequently. In contrast, the 40% shading group recorded lower nitrite levels, mainly due to the lower base production and concentration of algae, resulting in a slower immediate change in water quality (Figure 10). In spring and summer, the concentration of ammonia in the 40% shading group was higher than in the 0% shading group, largely because the 0% group, with its robust photosynthesis, was more adept at managing nitrogenous waste. In contrast, in fall and winter, the concentration of ammonia in the 40% shading group was higher. In the study area, blue-green algae and diatoms were observed as benthic algae. The primary species identified were Lyngbya sp. and Phormidium sp. As the year moved into autumn and the temperatures dropped, the algae gradually transitioned from green algae to diatoms, and the flipping of algae started to occur. Throughout the experiment, filamentous algae could be observed growing around the floating platforms in November. These algae serve as a part of the food source for fish and shrimp, thus augmenting the food supply for L. vannamei. Floating photovoltaic systems offer a larger surface area for L. vannamei to rest, improving the chances for L. vannamei to attach, feed, hide, and molt. However, in the early morning, when the sun has yet to rise and photosynthesis has not started, the bulk of the floating photovoltaic system consumes some space, resulting in a reduced rate of water flow and lower dissolved oxygen levels in some areas of the pond. Therefore, in the future, it will be necessary to introduce oxygenation facilities to enhance the levels of dissolved oxygen.
Additionally, the relationship between the raft’s structure and water flow deserves attention. The system should be adjusted in response to the rate of water flow to minimize the buildup of suspended particles and mitigate the uneven distribution of water flow, thereby preventing the degradation of pond water and sediment quality. The number of times a significant number of algae perished was higher in the 0% shading group, causing C. chanos to cease feeding, and this was heavily affected by seasonal changes, which slowed their growth. Temperatures began to rise in April, and both the quantity and frequency of feedings increased. As a result, the waste produced by fish and shrimp grew, and the metabolic rate of the aquatic organisms accelerated, leading to a rise in the nitrite concentration. Eventually, it was discovered that the factors of water quality of the two treatment groups remained within safe limits during the farming process.
The main contribution of this study is that it elucidated the biotic and abiotic characteristics of floating photovoltaic systems combined with aquaculture, including changes in the growth of fish and shrimp, temperature, salinity, dissolved oxygen, and pH levels. This experiment involved the co-culture of L. vannamei and C. chanos. As well as the shading rates and water quality and cultivation conditions that were examined in this study, the observed growth of L. vannamei and C. chanos may also be affected by potential biotic factors, such as their species’ characteristics, life history, prey and predator species, and mortality rate. More experimentation with the farming of other aquatic organisms is needed in the future to gather data related to different species. The combination of floating photovoltaic systems with aquaculture not only enhances the added value of the aquaculture industry but also boosts the usage rate of the photovoltaic industry, stabilizes the supply of clean energy, and could provide a new avenue for the future development of aquaculture in Taiwan. This study investigated the growth and aquatic environmental factors of L. vannamei and C. chanos in a polyculture system under floating photovoltaic systems combined with aquaculture. The objective was to examine the dynamic changes in these environmental factors, aiming to enhance both the biological and abiotic yield and the production value of the solar photovoltaic–aquaculture industry. The results can serve as a valuable reference for stakeholders involved in this sector. In Tainan, Taiwan, the average time for effective daily power generation is approximately four hours. The water wheel in our system consumed 1.49 kW per day, while the feeder and the surveillance video system consumed 0.5 kW and 0.15 kW daily, respectively. The system’s total daily power consumption was 2.14 kW. Therefore, floating solar photovoltaic systems, which do not take up additional land resources, reduce the evaporation of water, suppress the proliferation of algae, and generate electricity for self-use, are suitable for the development of integrated aquaculture and photovoltaic systems. The process is susceptible to environmental and climatic changes. According to research by [29], the performance of solar panels can be influenced by various environmental factors, especially the intensity of sunlight, cloud cover, and wind speed. Hence, the selection of the materials is particularly crucial, and the use of sturdy cables and anchoring systems can minimize issues that might affect aquaculture during this process. Additionally, in coastal areas with higher salinity, components that are resistant to corrosion, weathering, and oxidation can prevent the system from aging. The solar power generation system could sufficiently provide the electricity required for aquaculture, thus reducing the cost of electricity for this purpose. As a result, floating solar photovoltaic systems, which do not consume land resources, reduce water evaporation, inhibit algal blooms, and generate power for self-use, are well suited for the development of synergistic aquaculture–electric systems. The combined process of aquaculture and electricity generation can be easily affected by environmental and climate changes. A stable cable and anchoring system can minimize the potential impact on the process of aquaculture. Therefore, the choice of materials is of particular importance. Differences were observed in the growth of C. chanos farmed in the combined aquaculture and electricity generation system and those farmed in the traditional farming system. Whether this difference is related to the disparities in light exposure and plankton during the farming process and whether there are differences in nutritional value are subjects that require further observation and research.
Taiwan, being densely populated and with a high energy demand in summer, has limited land suitable for the development of renewable energy. However, solar energy is ubiquitous in our lives. It can be widely utilized, is easily obtained, and it does not pollute the environment. Solar power generation is a zero-carbon, noise-free mode of producing electricity that can effectively reduce greenhouse gas emissions [30]. However, substantial amounts of land are required to achieve a certain level of power generation [31,32]. In Taiwan, where the land is narrow and densely populated, suitable land for the development of solar power is limited [33,34]. Under the model of floating photovoltaic systems combined with aquaculture, the issue of land scarcity can be effectively alleviated. With the recent climate change due to global warming, the development of industries that balance green energy production with sustainable fisheries is of vital importance. Therefore, based on the current trends and conditions of Taiwan’s environment, it is appropriate to develop solar photovoltaic systems combined with aquaculture. This study also proved that L. vannamei and C. chanos can be co-cultured under floating solar photovoltaic systems. This demonstrates the potential of utilizing regulations and planning for large-scale aquaculture areas in the future.

5. Conclusions

This study used a symbiotic model using floating solar panels and the cultivation of L. vannamei and C. chanos, comparing two experimental groups with shading rates of 40% and 0%. In the group with a shading rate of 40%, the weight and length of L. vannamei were significantly higher than in the group with a shading rate of 0%, while there was no significant difference in the weight and length of C. chanos. This may be attributed to the presence of small algae beneath the floating solar panels, which provided a natural food source for L. vannamei and protection from the risk of avian predation. Furthermore, the floating solar panels reduced evaporation from the water’s surface, keeping the temperature stable and favoring the growth of L. vannamei and C. chanos. Additionally, in the group with a shading rate of 40%, the parameters of water quality demonstrated certain advantages. The dissolved oxygen and pH levels were significantly higher in the afternoon compared with the 0% shading rate group, indicating greater photosynthetic efficiency and ability to decompose organic matter. The oxidation–reduction potential was also higher for the majority of the time than in the 0% shading rate group, indicating lower levels of organic pollution in the water. Conductivity was generally lower, showing reduced concentrations of metallic salts. There were no significant differences in nitrite, ammonia, and nitrate levels, suggesting that the nitrogen cycle was not substantially affected. In summary, this research proved the feasibility and advantages of the symbiosis between fisheries and solar power generation in marine- or brackish-water aquaculture systems. Not only can this enhance the production efficiency of L. vannamei and C. chanos but also improve the water quality, reduce the consumption of chemical energy (fossil fuels), and provide a stable and clean energy source. The burgeoning interest in combining solar energy and aquaculture presents new research avenues warranting further academic scrutiny. Primarily, studies should examine the impacts of diverse shading rates and solar configurations on the water quality and growth of various aquaculture species. Elucidating the economic and environmental benefits of integrating floating solar photovoltaic systems with aquaculture is equally important, including considerations of the cost-effectiveness, enhancements of energy efficiency, reductions in the carbon footprint, and judicious water conservation strategies. Additional priorities are optimizing the engineering design and operational dynamics of integrated systems and anticipating challenges related to weather, corrosion, biofouling, electrical safety, and interactions with wildlife. Understanding stakeholders’ perceptions and the policy implications is also indispensable. This study offers valuable insights for the innovation and transformation of aquaculture in the future and brings potential benefits to countries facing challenges of energy self-sufficiency. The symbiosis between fisheries and power generation is a win–win situation, combining aquaculture with the generation of photovoltaic power.

Author Contributions

Conceptualization, P.-H.C. and C.-H.S.; methodology, P.-H.C. and C.-H.S.; software, P.-H.C. and C.-H.S.; validation, P.-H.C. and C.-H.S.; formal analysis, P.-H.C. and C.-H.S.; investigation, P.-H.C. and C.-H.S.; resources, P.-H.C.; data curation, C.-H.S.; writing—original draft preparation, P.-H.C. and C.-H.S.; writing—review and editing, P.-H.C., C.-H.S., and W.-C.K.; visualization, P.-H.C. and C.-H.S.; supervision, P.-H.C.; project administration, P.-H.C.; funding acquisition, C.-H.S. and W.-C.K. All authors have read and agreed to the published version of the manuscript.

Funding

This work was supported by the National Science and Technology Council (NSTC 110-2121-M-366-001). The funders had no role in the study design; the collection and analysis of the data; the decision to publish; or the preparation of the manuscript.

Data Availability Statement

Not applicable.

Acknowledgments

The successful completion of this study was due to the concerted efforts of the authors’ colleagues at the Marine Aquaculture Research Center of the Fisheries Research Institute, the Ministry of Agriculture. The authors would like to express their sincere gratitude to the research team at their center, as well as Guiguang Chen, Junkai Huang, Youqian Xiao, and Mingyou Sun from Xiangyang Photovoltaics Co., Ltd. Their assistance with the experimental equipment, fishing, measurements of body length and weight, and data collation was invaluable. The authors hereby extend their heartfelt thanks to them all.

Conflicts of Interest

The authors declare no conflict of interest.

References

  1. Bull, S.R. Renewable energy today and tomorrow. Proc. IEEE 2001, 89, 1216–1226. [Google Scholar] [CrossRef]
  2. Bureau of Energy, Ministry of Economic Affairs, R.O.C. Available online: https://www.esist.org.tw/Database (accessed on 1 May 2023).
  3. Apte, J.S.; Marshall, J.D.; Cohen, A.J.; Brauer, M. Addressing global mortality from ambient PM2.5. Environ. Sci. Technol. 2015, 49, 8057–8066. [Google Scholar] [CrossRef] [PubMed]
  4. Vo, T.T.E.; Ko, H.; Huh, J.H.; Park, N. Overview of solar energy for aquaculture: The potential and future trends. Energies 2021, 14, 6923. [Google Scholar] [CrossRef]
  5. Meseck, S.L.; Alix, J.H.; Wikfors, G.H. Photoperiod and light intensity effects on growth and utilization of nutrients by the aquaculture feed microalga, Tetraselmis chui (PLY429). Aquaculture 2005, 246, 393–404. [Google Scholar] [CrossRef]
  6. Villamizar, N.; Blanco-Vives, B.; Migaud, H.; Davie, A.; Carboni, S.; Sanchez-Vazquez, F.J. Effects of light during early larval development of some aquacultured teleosts: A review. Aquaculture 2011, 315, 86–94. [Google Scholar] [CrossRef]
  7. Boeuf, G.; Le Bail, P.Y. Does light have an influence on fish growth? Aquaculture 1999, 177, 129–152. [Google Scholar] [CrossRef]
  8. Choi, Y.K.; Lee, N.H.; Lee, A.K.; Kim, K.J. A study on major design elements of tracking-type floating photovoltaic systems. Int. J. Smart Grid Clean Energy 2014, 3, 70–74. [Google Scholar] [CrossRef]
  9. Liu, H.; Krishna, V.; Lun Leung, J.; Reindl, T.; Zhao, L. Field experience and performance analysis of floating PV technologies in the tropics. Prog. Photovolt. 2018, 26, 957–967. [Google Scholar] [CrossRef]
  10. Santafé, M.R.; Soler, J.B.T.; Romero, F.J.S.; Gisbert, P.S.F.; Gozálvez, J.J.F.; Gisbert, C.M.F. Theoretical and experimental analysis of a floating photovoltaic cover for water irrigation reservoirs. Energy 2014, 67, 246–255. [Google Scholar] [CrossRef]
  11. Temiz, M.; Javani, N. Design and analysis of a combined floating photovoltaic system for electricity and hydrogen production. Int. J. Hydrogen Energy. 2020, 45, 3457–3469. [Google Scholar] [CrossRef]
  12. Sahu, A.; Yadav, N.; Sudhakar, K. Floating photovoltaic power plant: A review. Renew. Sust. Energ. Rev. 2016, 66, 815–824. [Google Scholar] [CrossRef]
  13. Yadav, N.; Gupta, M.; Sudhakar, K. Energy Assessment of Floating Photovoltaic System. In Proceedings of the 2016 International Conference on Electrical Power and Energy Systems (ICEPES), Bhopal, India, 14–16 December 2016. [Google Scholar]
  14. Cancino-Madariaga, B.; Hurtado, C.F.; Ruby, R. Effect of pressure and pH in ammonium retention for nanofiltration and reverse osmosis membranes to be used in recirculation aquaculture systems (RAS). Aquac. Eng. 2011, 45, 103–108. [Google Scholar] [CrossRef]
  15. Díaz, V.; Ibáñez, R.; Gómez, P.; Urtiaga, A.M.; Ortiz, I. Kinetics of electro-oxidation of ammonia-N, nitrites and COD from a recirculating aquaculture saline water system using BDD anodes. Water Res. 2011, 45, 125–134. [Google Scholar] [CrossRef]
  16. Stone, N.M.; Thomforde, H.K. Understanding Your Fish Pond Water Analysis Report; Cooperative Extension Program, Department of Agriculture and County Governments Cooperating, University of Arkansas: Pine Bluff, AR, USA, 2004; pp. 1–4. [Google Scholar]
  17. Lee, P.G.; Lea, R.N.; Dohmann, E.; Prebilsky, W.; Turk, P.E.; Ying, H.; Whitson, J.L. Denitrification in aquaculture systems: An example of a fuzzy logic control problem. Aquac. Eng. 2000, 23, 37–59. [Google Scholar] [CrossRef]
  18. Otieno, N.E. Economic impact of predatory piscivorous birds on small-scale aquaculture farms in Kenya. Aquac. Rep. 2019, 15, 100220. [Google Scholar] [CrossRef]
  19. Pringle, A.M.; Handler, R.M.; Pearce, J.M. Aquavoltaics: Synergies for dual use of water area for solar photovoltaic electricity generation and aquaculture. Renew. Sust. Energ. Rev. 2017, 80, 572–584. [Google Scholar] [CrossRef]
  20. Choi, Y.K. A study on power generation analysis of floating PV system considering environmental impact. Int. J. Softw. Eng. Appl. 2014, 8, 75–84. [Google Scholar] [CrossRef]
  21. Mugwanya, M.; Dawood, M.A.; Kimera, F.; Sewilam, H. Anthropogenic temperature fluctuations and their effect on aquaculture: A comprehensive review. Aquac. Fish. 2022, 7, 223–243. [Google Scholar] [CrossRef]
  22. Ponce-Palafox, J.; Martinez-Palacios, C.A.; Ross, L.G. The effects of salinity and temperature on the growth and survival rates of juvenile white shrimp, Penaeus vannamei, Boone, 1931. Aquaculture 1997, 157, 107–115. [Google Scholar] [CrossRef]
  23. Wyban, J.; Walsh, W.A.; Godin, D.M. Temperature effects on growth, feeding rate and feed conversion of the Pacific white shrimp (Penaeus vannamei). Aquaculture 1995, 138, 267–279. [Google Scholar] [CrossRef]
  24. Russell, N.R.; Fish, J.D.; Wootton, R.J. Feeding and growth of juvenile sea bass: The effect of ration and temperature on growth rate and efficiency. J. Fish Biol. 1996, 49, 206–220. [Google Scholar] [CrossRef]
  25. Romano, N.; Zeng, C. Osmoregulation in decapod crustaceans: Implications to aquaculture productivity, methods for potential improvement and interactions with elevated ammonia exposure. Aquaculture 2012, 334, 12–23. [Google Scholar] [CrossRef]
  26. Boeuf, G.; Payan, P. How should salinity influence fish growth? Comp. Biochem. Phys. C 2001, 130, 411–423. [Google Scholar]
  27. Li, D.; Yang, H. State-of-the-art Review for Internet of Things in Agriculture. Nongye Jixie Xuebao Trans. Chin. Soc. Agric. Mach. 2018, 49, 1–22. [Google Scholar]
  28. Huan, J.; Li, H.; Wu, F.; Cao, W. Design of water quality monitoring system for aquaculture ponds based on NB-IoT. Aquac. Eng. 2020, 90, 102088. [Google Scholar] [CrossRef]
  29. Hernandez, R.R.; Easter, S.B.; Murphy-Mariscal, M.L.; Maestre, F.T.; Tavassoli, M.; Allen, E.B.; Barrows, C.W.; Belnap, J.; Ochoa-Hueso, R.; Ravi, S.; et al. Environmental impacts of utility-scale solar energy. Renew. Sust. Energ. Rev. 2014, 29, 766–3779. [Google Scholar] [CrossRef]
  30. Moosavian, S.M.; Rahim, N.A.; Selvaraj, J.; Solangi, K.H. Energy policy to promote photovoltaic generation. Renew. Sust. Energ. Rev. 2013, 25, 44–58. [Google Scholar] [CrossRef]
  31. Chuang, M.T.; Chang, S.Y.; Hsiao, T.C.; Lu, Y.R.; Yang, T.Y. Analyzing major renewable energy sources and power stability in Taiwan by 2030. Energy Policy 2019, 125, 293–306. [Google Scholar] [CrossRef]
  32. Chen, H.S.; Kuo, H.Y. Green Energy and Water Resource Management: A Case Study of Fishery and Solar Power Symbiosis in Taiwan. Water 2022, 14, 1299. [Google Scholar] [CrossRef]
  33. FRI. A Win-Win Situation of Combining Farming and Photoelectricity. Fisheries Research Institute, Council of Agriculture. Available online: https://en.tfrin.gov.tw/News_Content.aspx?n=335&s=57011 (accessed on 1 December 2019).
  34. Chen, F.; Lu, S.M.; Tseng, K.T.; Lee, S.C.; Wang, E. Assessment of renewable energy reserves in Taiwan. Renew. Sust. Energ. Rev. 2010, 14, 2511–2528. [Google Scholar] [CrossRef]
Figure 1. Comparison of ponds for culturing Litopenaeus vannamei and Chanos Chanos with floating solar photovoltaic panels between a shading rate of 40% and a shading rate of 0% at 23°07′24.41″ N 120°04′49.67″ E (image taken from Google Maps).
Figure 1. Comparison of ponds for culturing Litopenaeus vannamei and Chanos Chanos with floating solar photovoltaic panels between a shading rate of 40% and a shading rate of 0% at 23°07′24.41″ N 120°04′49.67″ E (image taken from Google Maps).
Water 15 03260 g001
Figure 2. Comparison of the body length and body weight of L. vannamei cultured under shading rates of 40% and 0% from October 2018 to May 2019. Independent-sample t-test comparisons showed significant differences (p < 0.05). “*” means reaching a significant level.
Figure 2. Comparison of the body length and body weight of L. vannamei cultured under shading rates of 40% and 0% from October 2018 to May 2019. Independent-sample t-test comparisons showed significant differences (p < 0.05). “*” means reaching a significant level.
Water 15 03260 g002
Figure 3. Comparison of the body length and body weight of the C. chanos cultured under shading rates of 40% and 0% from October 2018 to May 2019. Independent-sample t-test comparisons showed no significant differences (p > 0.05).
Figure 3. Comparison of the body length and body weight of the C. chanos cultured under shading rates of 40% and 0% from October 2018 to May 2019. Independent-sample t-test comparisons showed no significant differences (p > 0.05).
Water 15 03260 g003
Figure 4. Monthly fluctuations in water temperature (Temp) for the culture of L. vannamei and C. chanos under shading rates of 40% and 0% from October 2018 to May 2019. Independent-sample t-test comparisons showed significant differences (p < 0.05). O, October; N, November; D, December; J, January; F, February; M, March; A, April. The “*” means reaching a significant level.
Figure 4. Monthly fluctuations in water temperature (Temp) for the culture of L. vannamei and C. chanos under shading rates of 40% and 0% from October 2018 to May 2019. Independent-sample t-test comparisons showed significant differences (p < 0.05). O, October; N, November; D, December; J, January; F, February; M, March; A, April. The “*” means reaching a significant level.
Water 15 03260 g004
Figure 5. Monthly fluctuations in the average rainfall, average air temperature (Temp), and salinity for the culture of L. vannamei and C. chanos under shading rates of 40% and 0% from October 2018 to May 2019. The rainfall and average weather temperature (Temp) were taken from the Central Weather Bureau. (a) Rainfall. (b) Weather temperature. (c) Salinity. Independent-sample t-test comparisons showed no significant differences (p > 0.05). O, October; N, November; D, December; J, January; F, February; M, March; A, April.
Figure 5. Monthly fluctuations in the average rainfall, average air temperature (Temp), and salinity for the culture of L. vannamei and C. chanos under shading rates of 40% and 0% from October 2018 to May 2019. The rainfall and average weather temperature (Temp) were taken from the Central Weather Bureau. (a) Rainfall. (b) Weather temperature. (c) Salinity. Independent-sample t-test comparisons showed no significant differences (p > 0.05). O, October; N, November; D, December; J, January; F, February; M, March; A, April.
Water 15 03260 g005
Figure 6. Monthly fluctuations in dissolved oxygen (Do) for the culture of L. vannamei and C. chanos under shading rates of 40% and 0% from October 2018 to May 2019. Independent-sample t-test comparisons show significant differences (p < 0.05). O, October; N, November; D, December; J, January; F, February; M, March; A, April. The “*” means reaching a significant level.
Figure 6. Monthly fluctuations in dissolved oxygen (Do) for the culture of L. vannamei and C. chanos under shading rates of 40% and 0% from October 2018 to May 2019. Independent-sample t-test comparisons show significant differences (p < 0.05). O, October; N, November; D, December; J, January; F, February; M, March; A, April. The “*” means reaching a significant level.
Water 15 03260 g006
Figure 7. Monthly fluctuations in pH values for the culture of L. vannamei and C. chanos under shading rates of 40% and 0% from October 2018 to May 2019. Independent-sample t-test comparisons showed significant differences (p < 0.05). O, October; N, November; D, December; J, January; F, February; M, March; A, April. The “*” means reaching a significant level.
Figure 7. Monthly fluctuations in pH values for the culture of L. vannamei and C. chanos under shading rates of 40% and 0% from October 2018 to May 2019. Independent-sample t-test comparisons showed significant differences (p < 0.05). O, October; N, November; D, December; J, January; F, February; M, March; A, April. The “*” means reaching a significant level.
Water 15 03260 g007
Figure 8. Monthly fluctuations in oxidation–reduction potential (ORP, mV) for the culture of L. vannamei and C. chanos under shading rates of 40% and 0% from October 2018 to May 2019. Independent-sample t-test comparisons showed significant differences (p < 0.05). O, October; N, November; D, December; J, January; F, February; M, March; A, April. The “*” means reaching a significant level.
Figure 8. Monthly fluctuations in oxidation–reduction potential (ORP, mV) for the culture of L. vannamei and C. chanos under shading rates of 40% and 0% from October 2018 to May 2019. Independent-sample t-test comparisons showed significant differences (p < 0.05). O, October; N, November; D, December; J, January; F, February; M, March; A, April. The “*” means reaching a significant level.
Water 15 03260 g008
Figure 9. Monthly fluctuations in electrical conductivity (EC, μs/cm) for the culture of L. vannamei and C. chanos under shading rates of 40% and 0% from October 2018 to May 2019. Independent-sample t-test comparisons showed no significant differences (p > 0.05). O, October; N, November; D, December; J, January; F, February; M, March; A, April.
Figure 9. Monthly fluctuations in electrical conductivity (EC, μs/cm) for the culture of L. vannamei and C. chanos under shading rates of 40% and 0% from October 2018 to May 2019. Independent-sample t-test comparisons showed no significant differences (p > 0.05). O, October; N, November; D, December; J, January; F, February; M, March; A, April.
Water 15 03260 g009
Figure 10. Monthly fluctuations in ammonium (NH4+), nitrites (NO2), and nitrates (NO3) for the culture of L. vannamei and C. chanos under shading rates of 40% and 0% from October 2018 to May 2019. Independent-sample t-test comparisons showed no significant differences (p > 0.05). O, October; N, November; D, December; J, January; F, February; M, March; A, April.
Figure 10. Monthly fluctuations in ammonium (NH4+), nitrites (NO2), and nitrates (NO3) for the culture of L. vannamei and C. chanos under shading rates of 40% and 0% from October 2018 to May 2019. Independent-sample t-test comparisons showed no significant differences (p > 0.05). O, October; N, November; D, December; J, January; F, February; M, March; A, April.
Water 15 03260 g010
Disclaimer/Publisher’s Note: The statements, opinions and data contained in all publications are solely those of the individual author(s) and contributor(s) and not of MDPI and/or the editor(s). MDPI and/or the editor(s) disclaim responsibility for any injury to people or property resulting from any ideas, methods, instructions or products referred to in the content.

Share and Cite

MDPI and ACS Style

Chang, P.-H.; Shih, C.-H.; Kao, W.-C. Optimizing the Fishery and Solar Power Symbiosis Model for Sustainable Marine Resource Management: Evaluating the Effects of Solar Shading on the Growth and Water Quality of Litopenaeus vannamei and Chanos chanos. Water 2023, 15, 3260. https://doi.org/10.3390/w15183260

AMA Style

Chang P-H, Shih C-H, Kao W-C. Optimizing the Fishery and Solar Power Symbiosis Model for Sustainable Marine Resource Management: Evaluating the Effects of Solar Shading on the Growth and Water Quality of Litopenaeus vannamei and Chanos chanos. Water. 2023; 15(18):3260. https://doi.org/10.3390/w15183260

Chicago/Turabian Style

Chang, Ping-Hung, Chun-Han Shih, and Wei-Chieh Kao. 2023. "Optimizing the Fishery and Solar Power Symbiosis Model for Sustainable Marine Resource Management: Evaluating the Effects of Solar Shading on the Growth and Water Quality of Litopenaeus vannamei and Chanos chanos" Water 15, no. 18: 3260. https://doi.org/10.3390/w15183260

APA Style

Chang, P.-H., Shih, C.-H., & Kao, W.-C. (2023). Optimizing the Fishery and Solar Power Symbiosis Model for Sustainable Marine Resource Management: Evaluating the Effects of Solar Shading on the Growth and Water Quality of Litopenaeus vannamei and Chanos chanos. Water, 15(18), 3260. https://doi.org/10.3390/w15183260

Note that from the first issue of 2016, this journal uses article numbers instead of page numbers. See further details here.

Article Metrics

Back to TopTop