Modelling Climate Change and Water Quality in the Canadian Prairies Using Loosely Coupled WASP and CE-QUAL-W2
Abstract
:1. Introduction
2. Methods
2.1. Study Site
2.2. Model Setup and Calibration
2.2.1. WASP (River)
2.2.2. CE-QUAL-W2 (Reservoir)
2.3. Climate Change Scenarios
2.3.1. Climate Data
2.3.2. Bias Correction
2.4. Interbasin Water Transfers
3. Results and Discussion
3.1. Climate Change Scenarios in WASP
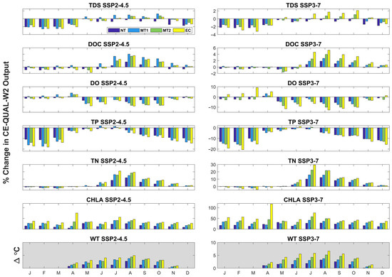
3.2. Climate Change Scenarios in CE-QUAL-W2
3.3. Climate Change Scenarios with Interbasin Water Transfers
3.4. Limitations
4. Conclusions
Author Contributions
Funding
Data Availability Statement
Acknowledgments
Conflicts of Interest
References
- Rodell, M.; Famiglietti, J.S.; Wiese, D.N.; Reager, J.T.; Beaudoing, H.K.; Landerer, F.W.; Lo, M.-H. Emerging trends in global freshwater availability. Nature 2018, 557, 651–659. [Google Scholar] [CrossRef]
- Wheater, H.S.; Gober, P. Water security and the science agenda. Water Resour. Res. 2015, 51, 5406–5424. [Google Scholar] [CrossRef]
- Watson, S.; Lawrence, J. Introductory remarks—Drinking water quality and sustainability. Water Qual. Res. J. Can. 2003, 38, 3–13. [Google Scholar] [CrossRef]
- Schindler, D.W.; Donahue, W.F. An Impending Water Crisis in Canada’s Western Prairie Provinces. Proc. Natl. Acad. Sci. USA 2006, 103, 7210–7216. [Google Scholar] [CrossRef] [PubMed]
- Wheater, H.; Gober, P. Water security in the Canadian Prairies: Science and management challenges. Philos. Trans. R. Soc. A Math. Phys. Eng. Sci. 2013, 371, 20120409. [Google Scholar] [CrossRef] [PubMed]
- Western Economic Diversification Canada. Prairie Prosperity: A Vision for the Management of Water Resources Across Saskatchewan and the Prairies; Western Economic Diversification Canada: Edmonton, AB, Canada, 2020; p. 27. [Google Scholar]
- Bonsal, B.R.; Cuell, C.; Wheaton, E.; Sauchyn, D.J.; Barrow, E. An assessment of historical and projected future hydro-climatic variability and extremes over southern watersheds in the Canadian Prairies. Int. J. Clim. 2017, 37, 3934–3948. [Google Scholar] [CrossRef]
- Masud, M.; Khaliq, M.; Wheater, H. Analysis of meteorological droughts for the Saskatchewan River Basin using univariate and bivariate approaches. J. Hydrol. 2015, 522, 452–466. [Google Scholar] [CrossRef]
- Bonsal, B.R.; Aider, R.; Gachon, P.; Lapp, S. An assessment of Canadian prairie drought: Past, present, and future. Clim. Dyn. 2013, 41, 501–516. [Google Scholar] [CrossRef]
- Fabian, P.S.; Kwon, H.-H.; Vithanage, M.; Lee, J.-H. Modeling, challenges, and strategies for understanding impacts of climate extremes (droughts and floods) on water quality in Asia: A review. Environ. Res. 2023, 225, 115617. [Google Scholar] [CrossRef] [PubMed]
- Elliott, J.A. Is the future blue-green? A review of the current model predictions of how climate change could affect pelagic freshwater cyanobacteria. Water Res. 2012, 46, 1364–1371. [Google Scholar] [CrossRef] [PubMed]
- Whitehead, P.G.; Wilby, R.L.; Battarbee, R.W.; Kernan, M.; Wade, A.J. A review of the potential impacts of climate change on surface water quality. Hydrol. Sci. J. 2009, 54, 101–123. [Google Scholar] [CrossRef]
- Quevedo-Castro, A.; Bustos-Terrones, Y.A.; Bandala, E.R.; Loaiza, J.G.; Rangel-Peraza, J.G. Modeling the effect of climate change scenarios on water quality for tropical reservoirs. J. Environ. Manag. 2022, 322, 116137. [Google Scholar] [CrossRef] [PubMed]
- Gelda, R.K.; Mukundan, R.; Owens, E.M.; Abatzoglou, J.T. A Practical Approach to Developing Climate Change Scenarios for Water Quality Models. J. Hydrometeorol. 2019, 20, 1197–1211. [Google Scholar] [CrossRef]
- Teutschbein, C.; Seibert, J. Bias correction of regional climate model simulations for hydrological climate-change impact studies: Review and evaluation of different methods. J. Hydrol. 2012, 456–457, 12–29. [Google Scholar] [CrossRef]
- Maraun, D. Bias Correcting Climate Change Simulations–A Critical Review. Curr. Clim. Chang. Rep. 2016, 2, 211–220. [Google Scholar] [CrossRef]
- Räty, O.; Räisänen, J.; Ylhäisi, J.S. Evaluation of delta change and bias correction methods for future daily precipitation: Intermodel cross-validation using ENSEMBLES simulations. Clim. Dyn. 2014, 42, 2287–2303. [Google Scholar] [CrossRef]
- Terry, J.; Davies, J.-M.; Lindenschmidt, K.-E. Buffalo Pound Lake—Modelling Water Resource Management Scenarios of a Large Multi-Purpose Prairie Reservoir. Water 2022, 14, 584. [Google Scholar] [CrossRef]
- Buffalo Pound Water Administration Board. Annual Report. 2015. Available online: https://www.buffalopoundwtp.ca/images/docs/2015_buffalo_pound_annual_report.pdf (accessed on 19 July 2017).
- Environment and Climate Change Canada. Climate Normals 1981–2010 Station Data for Moose Jaw A Station. Available online: http://climate.weather.gc.ca (accessed on 18 July 2023).
- Terry, J.; Lindenschmidt, K.-E. Water Quality and Flow Management Scenarios in the Qu’Appelle River–Reservoir System Using Loosely Coupled WASP and CE-QUAL-W2 Models. Water 2023, 15, 2005. [Google Scholar] [CrossRef]
- Wool, T.; Ambrose, R.B., Jr.; Martin, J.L.; Comer, A. WASP 8: The Next Generation in the 50-Year Evolution of USEPA’s Water Quality Model. Water 2020, 12, 1398. [Google Scholar] [CrossRef]
- Knightes, C.D.; Ambrose, R.B.; Avant, B.; Han, Y.; Acrey, B.; Bouchard, D.C.; Zepp, R.; Wool, T. Modeling framework for simulating concentrations of solute chemicals, nanoparticles, and solids in surface waters and sediments: WASP8 Advanced Toxicant Module. Environ. Model. Softw. 2019, 111, 444–458. [Google Scholar] [CrossRef] [PubMed]
- Hosseini, N.; Akomeah, E.; Davis, J.M.; Baulch, H.; Lindenschmidt, K.E. Water quality modeling of a prairie river-lake system. Environ. Sci. Pollut. Res. Int. 2018, 25, 31190–31204. [Google Scholar] [CrossRef]
- Wells, S.A. (Ed.) CE-QUAL-W2: A Two-Dimensional, Laterally Averaged, Hydrodynamic and Water Quality Model; Version 4.2, User Manual Parts 1–5; Department of Civil and Environmental Engineering, Portland State University: Portland, OR, USA, 2020. [Google Scholar]
- Hausfather, Z.; Peters, G.P. Emissions—The ’business as usual’ story is misleading. Nature 2020, 577, 618–620. [Google Scholar] [CrossRef] [PubMed]
- Bi, D.; Dix, M.; Marsland, S.; O’farrell, S.; Sullivan, A.; Bodman, R.; Law, R.; Harman, I.; Srbinovsky, J.; Rashid, H.A.; et al. Configuration and spin-up of ACCESS-CM2, the new generation Australian Community Climate and Earth System Simulator Coupled Model. J. South. Hemisphere Earth Syst. Sci. 2020, 70, 225–251. [Google Scholar] [CrossRef]
- Lawrence, M.G. The Relationship between Relative Humidity and the Dewpoint Temperature in Moist Air: A Simple Conversion and Applications. Bull. Am. Meteorol. Soc. 2005, 86, 225–234. [Google Scholar] [CrossRef]
- Government of Canada. The CMIP6 Multi-Model Ensembles Technical Documentation (Canada.Ca). 2023. Available online: https://climate-scenarios.canada.ca/?page=cmip6-technical-notes (accessed on 20 June 2023).
- Lindenschmidt, K.-E.; Sereda, J. The impact of macrophytes on winter flows along the Upper Qu’Appelle River. Can. Water Resour. J. 2014, 39, 342–355. [Google Scholar] [CrossRef]
- Painter, K.J.; Venkiteswaran, J.J.; Simon, D.F.; Duy, S.V.; Sauvé, S.; Baulch, H.M. Early and late cyanobacterial bloomers in a shallow, eutrophic lake. Environ. Sci. Process. Impacts 2022, 24, 1212–1227. [Google Scholar] [CrossRef] [PubMed]
- House, W.A. Geochemical cycling of phosphorus in rivers. Appl. Geochem. 2003, 18, 739–748. [Google Scholar] [CrossRef]
- Jarvie, H.P.; Jürgens, M.D.; Williams, R.J.; Neal, C.; Davies, J.J.; Barrett, C.; White, J. Role of river bed sediments as sources and sinks of phosphorus across two major eutrophic UK river basins: The Hampshire Avon and Herefordshire Wye. J. Hydrol. 2005, 304, 51–74. [Google Scholar] [CrossRef]
- Tapiador, F.J.; Roca, R.; Del Genio, A.; Dewitte, B.; Petersen, W.; Zhang, F. Is Precipitation A Good Metric for Model Performance? Bull. Am. Meteorol. Soc. 2019, 100, 223–234. [Google Scholar] [CrossRef] [PubMed]
- DeBeer, C.M.; Wheater, H.S.; Carey, S.K.; Chun, K.P. Recent climatic, cryospheric, and hydrological changes over the interior of western Canada: A review and synthesis. Hydrol. Earth Syst. Sci. 2016, 20, 1573–1598. [Google Scholar] [CrossRef]
- Martz, L.; Bruneau, J.; Rolfe, J. Climate Change and Water: SSRB (South. Saskatchewan River Basin). Final Technical Report; University of Saskatchewan: Saskatoon, SK, Canada, 2007. [Google Scholar] [CrossRef]
- Barrow, E.M.; Sauchyn, D.J. Uncertainty in climate projections and time of emergence of climate signals in the western Canadian Prairies. Int. J. Clim. 2019, 39, 4358–4371. [Google Scholar] [CrossRef]
- Terry, J.A.; Sadeghian, A.; Baulch, H.M.; Chapra, S.C.; Lindenschmidt, K.-E. Challenges of modelling water quality in a shallow prairie lake with seasonal ice cover. Ecol. Model. 2018, 384, 43–52. [Google Scholar] [CrossRef]







| Description | WASP (River) | W2 (Reservoir) |
|---|---|---|
| Ice cover (default coefficients) | Modelled | Modelled |
| Evaporation (default coefficients) | Not modelled | Modelled |
| Precipitation | Not modelled | Modelled |
| Cloud Cover | Not modelled | Observations |
| Shortwave solar radiation | Observations | Internally calculated |
| Longwave radiation | Internally calculated | Internally calculated |
| Wind height measurement | 10 m above ground surface | 10 m above ground surface |
| Wind speed shelter coefficient | 1 | 0.9 |
| Canopy shading coefficient | Not modelled | 1 |
| Algal groups | 1 | 3 |
| Maximum growth rates (at 20 °C) | 3 (1/day) | 1.5\2\0.5 |
| Minimum temperature for algal growth (°C) | Internally calculated | 2\5\10 |
| Optimum temperature range for algal growth (°C) | Internally calculated | 8–15\20–35\35–40 |
| Maximum temperature for algal growth (°C) | Internally calculated | 24\40\50 |
| Sediment oxygen demand (SOD) | 0.41 (g O2 m2/day) | 0.1–1.2 (g O2 m2/day) |
| Sediment release rate of phosphorus | 0 (mg/m2/day) | 0.015 (fraction of SOD) |
| Sediment release rate of ammonium | 0 (mg/m2/day) | 0.2 (fraction of SOD) |
| Nitrification rate (at 20 °C) | 0.01 (1/day) | 0.12 (1/day) |
| Denitrification rate (at 20 °C) | 0.09 (1/day) | 0.1 (1/day) |
| Variable | CMIP6 Variable Name | Frequency | Model |
|---|---|---|---|
| Air Temperature | Near-surface air temperature (tas) | Daily | WASP, CE-QUAL-W2 |
| Cloud Cover | Total cloud cover percentage (clt) | Monthly | CE-QUAL-W2 |
| Dew Point | Near-surface air temperature (ta) Relative humidity (hur) | Monthly | CE-QUAL-W2 |
| Solar Radiation | Surface downwelling shortwave radiation (rsds) Surface upwelling shortwave radiation (rsus) | Monthly | WASP |
| Wind Speed | Near-surface wind speed (10 m) (sfcWind) | Daily | WASP, CE-QUAL-W2 |
| Wind Direction | Not available | N/A | CE-QUAL-W2 |
| Scenario Name | Future Time Period | CMIP6 Emission Scenario | Additional Flows—for Water Balance (Added to Inflows) | Results | Additional Interbasin Water Transfers (Added to Inflows + Outflows) | Results |
|---|---|---|---|---|---|---|
| NT | 2021–2040 | SSP2-4.5 | Base model flows + 1% | CC | ||
| NT | 2021–2040 | SSP3-7 | Base model flows + 1.5% | CC | Up to 14 m3/s in May–October | CC + IWT |
| MT1 | 2041–2060 | SSP2-4.5 | NT flows + 1% | CC | ||
| MT1 | 2041–2060 | SSP3-7 | NT flows + 1.5% | CC | Up to 14 m3/s in May–October | CC + IWT |
| MT2 | 2061–2080 | SSP2-4.5 | MT1 flows + 1% | CC | ||
| MT2 | 2061–2080 | SSP3-7 | MT1 flows + 1.5% | CC | Up to 14 m3/s in May–October | CC + IWT |
| EC | 2081–2100 | SSP2-4.5 | MT2 flows + 1% | CC | ||
| EC | 2081–2100 | SSP3-7 | MT2 flows + 1.5% | CC | Up to 14 m3/s in May–October | CC + IWT |
| Base (WASP) | J | F | M | A | M | J | J | A | S | O | N | D |
|---|---|---|---|---|---|---|---|---|---|---|---|---|
| TDS (mg/L) | 373 | 352 | 491 | 830 | 850 | 553 | 573 | 518 | 523 | 756 | 494 | 388 |
| DOC (mg/L) | 4.5 | 4.2 | 8.9 | 11.5 | 10.1 | 8 | 8.9 | 7.2 | 7.3 | 7 | 5 | 4.5 |
| DO (mg/L) | 11.8 | 12.4 | 13 | 12.6 | 10.5 | 9.3 | 8.6 | 8.9 | 10.4 | 12.3 | 10.7 | 10.9 |
| TP (mg/L) | 0.03 | 0.03 | 0.18 | 0.19 | 0.1 | 0.06 | 0.1 | 0.1 | 0.06 | 0.07 | 0.04 | 0.03 |
| TN (mg/L) | 0.52 | 0.5 | 1.07 | 1.3 | 1.17 | 0.79 | 0.85 | 0.75 | 0.67 | 0.83 | 0.59 | 0.52 |
| CHLA (mg/L) | 4.4 | 5.4 | 5 | 3.4 | 6.9 | 12.4 | 16 | 15.7 | 13.2 | 8.1 | 2.4 | 3.1 |
| WT (°C) | 0.6 | 0.2 | 0.5 | 4.4 | 13 | 18.5 | 21.6 | 20 | 13.6 | 5.9 | 2 | 0.9 |
| Base (CE-QUAL-W2) | J | F | M | A | M | J | J | A | S | O | N | D |
|---|---|---|---|---|---|---|---|---|---|---|---|---|
| TDS (mg/L) | 585 | 565 | 553 | 572 | 636 | 616 | 625 | 623 | 595 | 593 | 595 | 577 |
| DOC (mg/L) | 5.9 | 5.8 | 6.1 | 7.1 | 7.5 | 6.7 | 6.9 | 6.8 | 6.4 | 6.1 | 6 | 5.8 |
| DO (mg/L) | 11.1 | 10.3 | 9.5 | 10.6 | 10.2 | 8.4 | 7.8 | 8 | 9 | 11.3 | 12.3 | 11.7 |
| TP (mg/L) | 0.07 | 0.07 | 0.09 | 0.12 | 0.13 | 0.11 | 0.11 | 0.11 | 0.09 | 0.08 | 0.07 | 0.07 |
| TN (mg/L) | 0.63 | 0.62 | 0.7 | 0.87 | 0.9 | 0.8 | 0.88 | 0.99 | 0.91 | 0.77 | 0.67 | 0.62 |
| CHLA (mg/L) | 3.3 | 2.1 | 1.6 | 4.5 | 26.2 | 27.6 | 37.8 | 51.1 | 47 | 29.8 | 15.5 | 6.8 |
| WT (°C) | 1.5 | 1.8 | 2 | 3.7 | 12.3 | 18.3 | 21.8 | 20.2 | 14.5 | 6.1 | 1.7 | 1.3 |
Disclaimer/Publisher’s Note: The statements, opinions and data contained in all publications are solely those of the individual author(s) and contributor(s) and not of MDPI and/or the editor(s). MDPI and/or the editor(s) disclaim responsibility for any injury to people or property resulting from any ideas, methods, instructions or products referred to in the content. |
© 2023 by the authors. Licensee MDPI, Basel, Switzerland. This article is an open access article distributed under the terms and conditions of the Creative Commons Attribution (CC BY) license (https://creativecommons.org/licenses/by/4.0/).
Share and Cite
Terry, J.; Lindenschmidt, K.-E. Modelling Climate Change and Water Quality in the Canadian Prairies Using Loosely Coupled WASP and CE-QUAL-W2. Water 2023, 15, 3192. https://doi.org/10.3390/w15183192
Terry J, Lindenschmidt K-E. Modelling Climate Change and Water Quality in the Canadian Prairies Using Loosely Coupled WASP and CE-QUAL-W2. Water. 2023; 15(18):3192. https://doi.org/10.3390/w15183192
Chicago/Turabian StyleTerry, Julie, and Karl-Erich Lindenschmidt. 2023. "Modelling Climate Change and Water Quality in the Canadian Prairies Using Loosely Coupled WASP and CE-QUAL-W2" Water 15, no. 18: 3192. https://doi.org/10.3390/w15183192
APA StyleTerry, J., & Lindenschmidt, K.-E. (2023). Modelling Climate Change and Water Quality in the Canadian Prairies Using Loosely Coupled WASP and CE-QUAL-W2. Water, 15(18), 3192. https://doi.org/10.3390/w15183192
