Climate Change Impact on Inflow and Nutrient Loads to a Warm Monomictic Lake
Abstract
:1. Introduction
2. Materials and Methods
2.1. Study Area and Data
2.2. Hydrological Processes and Water Quality Modeling
2.3. Downscaling and Projection of Climatic Data
3. Results and Discussion
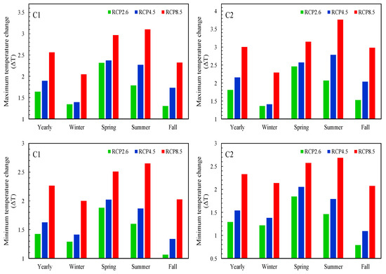
3.1. Projected Precipitation and Air Temperature in the Study Region
3.2. Sensitivity Analysis of SWAT Model
3.3. Calibration and Validation Results of SWAT
3.4. Climate Change Impact on Streamflow, Sediment, and Nutrient
4. Conclusions
Author Contributions
Funding
Data Availability Statement
Conflicts of Interest
References
- Abdollahzadeh, G.; Sharifzadeh, M.S.; Sklenička, P.; Azadi, H. Adaptive capacity of farming systems to climate change in Iran: Application of composite index approach. Agric. Syst. 2023, 204, 103537. [Google Scholar] [CrossRef]
- Zeydalinejad, N.; Nassery, H.R. A review on the climate-induced depletion of Iran’s aquifers. Stoch. Environ. Res. Risk Assess. 2023, 37, 467–490. [Google Scholar] [CrossRef]
- Jafarpour, M.; Adib, A.; Lotfirad, M.; Kisi, O. Spatial evaluation of climate change-induced drought characteristics in different climates based on De Martonne Aridity Index in Iran. Appl. Water Sci. 2023, 13, 133. [Google Scholar] [CrossRef]
- Cho, M.S.; Qi, J. Characterization of the impacts of hydro-dams on wetland inundations in Southeast Asia. Sci. Total. Environ. 2023, 864, 160941. [Google Scholar] [CrossRef]
- Elbeltagi, A.; Di Nunno, F.; Kushwaha, N.L.; de Marinis, G.; Granata, F. River flow rate prediction in the Des Moines watershed (Iowa, USA): A machine learning approach. Stoch. Environ. Res. Risk Assess. 2022, 36, 3835–3855. [Google Scholar] [CrossRef]
- Granata, F.; Di Nunno, F. Forecasting evapotranspiration in different climates using ensembles of recurrent neural networks. Agric. Water Manag. 2021, 255, 107040. [Google Scholar] [CrossRef]
- Noori, R.; Ansari, E.; Jeong, Y.W.; Aradpour, S.; Maghrebi, M.; Hosseinzadeh, M.; Bateni, S.M. Hyper-Nutrient Enrichment Status in the Sabalan Lake, Iran. Water 2021, 13, 2874. [Google Scholar] [CrossRef]
- Hanjaniamin, E.A.; Tabrizi, S.M.; Babazadeh, H. Dissolved oxygen concentration and eutrophication evaluation in Yamchi dam reservoir, Ardabil, Iran. Appl. Water Sci. 2022, 13, 9. [Google Scholar] [CrossRef]
- Maghrebi, M.; Noori, R.; Mehr, D.A.; Lak, R.; Darougheh, F.; Razmgir, R.; Farnoush, H.; Taherpour, H.; Moghaddam, A.S.M.R.; Araghi, A.; et al. Spatiotemporal changes in Iranian rivers’ discharge. Elem. Sci. Anth. 2023, 11, 00002. [Google Scholar] [CrossRef]
- Rahimi, M.; Zarei, M.; Keshavarzi, B.; Golshani, R.; Ghorbanzadeh, S.G. Water quality stress to Amirkalayeh Wetland, Northern Iran. Environ. Monit. Assess. 2022, 195, 49. [Google Scholar] [CrossRef]
- Aradpour, S.; Noori, R.; Naseh, M.R.V.; Hosseinzadeh, M.; Safavi, S.; Ghahraman-Rozegar, F.; Maghrebi, M. Alarming carcinogenic and non-carcinogenic risk of heavy metals in Sabalan dam reservoir, Northwest of Iran. Environ. Pollut. Bioavailab. 2021, 33, 278–291. [Google Scholar] [CrossRef]
- Arnold, J.G.; Srinivasan, R.; Muttiah, R.S.; Williams, J.R. Large area hydrologic modeling and assessment part I: Model development. JAWRA J. Am. Water Resour. Assoc. 1998, 34, 73–89. [Google Scholar] [CrossRef]
- Mahdian, M.; Hosseinzadeh, M.; Siadatmousavi, S.M.; Chalipa, Z.; Delavar, M.; Guo, M.; Abolfathi, S.; Noori, R. Modelling impacts of climate change and anthropogenic activities on inflows and sediment loads of wetlands: Case study of the Anzali wetland. Sci. Rep. 2023, 13, 5399. [Google Scholar] [CrossRef] [PubMed]
- Abbaspour, K.C.; Yang, J.; Maximov, I.; Siber, R.; Bogner, K.; Mieleitner, J.; Zobrist, J.; Srinivasan, R. Modelling hydrology and water quality in the pre-alpine/alpine Thur watershed using SWAT. J. Hydrol. 2007, 333, 413–430. [Google Scholar] [CrossRef]
- Arnold, J.G.; Moriasi, D.N.; Gassman, P.W.; Abbaspour, K.C.; White, M.J.; Srinivasan, R.; Santhi, C.; Harmel, R.D.; van Griensven, A.; Van Liew, M.W.; et al. Swat: Model use, calibration, and validation. Trans. Asabe 2012, 55, 1491–1508. [Google Scholar] [CrossRef]
- Gan, T.Y.; Dlamini, E.M.; Biftu, G.F. Effects of model complexity and structure, data quality, and objective functions on hydrologic modeling. J. Hydrol. 1997, 192, 81–103. [Google Scholar] [CrossRef]
- Abbaspour, K.C.; Vaghefi, S.A.; Srinivasan, R. A guideline for successful calibration and uncertainty analysis for soil and water assessment: A review of papers from the 2016 international SWAT conference. Water 2017, 10, 6. [Google Scholar] [CrossRef]
- Nash, J.E.; Sutcliffe, J.V. River flow forecasting through conceptual models part I—A discussion of principles. J. Hydrol. 1970, 10, 282–290. [Google Scholar] [CrossRef]
- Krause, P.; Boyle, D.P.; Bäse, F. Comparison of different efficiency criteria for hydrological model assessment. Adv. Geosci. 2005, 5, 89–97. [Google Scholar] [CrossRef]
- Saghafi, B.; Hassaniz, A.; Noori, R.; Bustos, M.G. Artificial neural networks and regression analysis for predicting faulting in jointed concrete pavements considering base condition. Int. J. Pavement Res. Technol. 2009, 2, 20–25. [Google Scholar]
- Noori, R.; Karbassi, A.; Ashrafi, K.; Ardestani, M.; Mehrdadi, N.; Bidhendi, G.-R.N. Active and online prediction of BOD5 in river systems using reduced-order support vector machine. Environ. Earth Sci. 2011, 67, 141–149. [Google Scholar] [CrossRef]
- Moriasi, D.N.; Arnold, J.G.; van Liew, M.W.; Bingner, R.L.; Harmel, R.D.; Veith, T.L. Model evaluation guidelines for systematic quantification of accuracy in watershed simulations. Trans. ASABE 2007, 50, 885–900. [Google Scholar] [CrossRef]
- Yousefi, H.; Moridi, A.; Yazdi, J.; Khazaiepoul, A. Investigating the effect of climate change on discharge, NO3 load, and agricultural products yield upstream of Esteghlal dam. Iran Water Resour. Res. 2020, 16, 35–49. [Google Scholar]
- Bakhtiary, A.; Eyvaz Oghli, H.; Shabakhty, N.; Kamranzad, B.; Abolfathi, S. Machine Learning as a Downscaling Approach for Prediction of Wind Characteristics under Future Climate Change Scenarios. Complexity 2022, 2022, 13. [Google Scholar]
- Wang, B.; Zheng, L.; Liu, D.L.; Ji, F.; Clark, A.; Yu, Q. Using multi-model ensembles of CMIP5 global climate models to reproduce observed monthly rainfall and temperature with machine learning methods in Australia. Int. J. Clim. 2018, 38, 4891–4902. [Google Scholar] [CrossRef]
- Sharafati, A.; Tayyebi, M.M.; Pezeshki, E.; Shahid, S. Uncertainty of climate change impact on crop characteristics: A case study of Moghan plain in Iran. Theor. Appl. Climatol. 2022, 149, 603–620. [Google Scholar] [CrossRef]
- Naserabadi, F.; Ouri, E.A.; Akbari, H.; Rostamian, R. A sensitivity analysis of SWAT model in Ghareh Su watershed, Ardabil. Watershed Eng. Manag. 2014, 5, 255–265. [Google Scholar]
- Semenov, M.A.; Brooks, R.J. Spatial interpolation of the LARS-WG stochastic weather generator in Great Britain. Clim. Res. 1999, 11, 137–148. [Google Scholar] [CrossRef]
- Hosseini, S.H.; Khaleghi, M.R. Application of SWAT model and SWAT-CUP software in simulation and analysis of sediment uncertainty in arid and semi-arid watersheds case study: The Zoshk–Abardeh watershed. Model. Earth Syst. Environ. 2020, 6, 2003–2013. [Google Scholar] [CrossRef]
- Thiha, S.; Shamseldin, A.Y.; Melville, B.W. Assessment of the Myitnge River flow responses in Myanmar under changes in land use and climate. Model. Earth Syst. Environ. 2020, 7, 1393–1415. [Google Scholar] [CrossRef]
- Rodrigues, A.L.M.; Reis, G.B.; dos Santos, M.T.; da Silva, D.D.; dos Santos, V.J.; Castro, J.d.S.; Calijuri, M.L. Influence of land use and land cover’s change on the hydrological regime at a Brazilian southeast urbanized watershed. Environ. Earth Sci. 2019, 78, 595. [Google Scholar] [CrossRef]
- Yazdani, M.H.; Amininia, K.; Safarianzengir, V.; Soltani, N.; Parhizkar, H. Analyzing climate change and its effects on drought and water scarcity case study: Ardabil, Northwestern Province of Iran, Iran. Sustain. Water Resour. Manag. 2021, 7, 1–10. [Google Scholar] [CrossRef]
- Cibin, R.; Sudheer, K.P.; Chaubey, I. Sensitivity and identifiability of stream flow generation parameters of the SWAT model. Water Resour. Res. 2010, 24, 1133–1148. [Google Scholar] [CrossRef]
- Noori, R.; Ghiasi, B.; Sheikhian, H.; Adamowski, J.F. Estimation of the Dispersion Coefficient in Natural Rivers Using a Granular Computing Model. J. Hydraul. Eng. 2017, 143, 04017001. [Google Scholar] [CrossRef]
- Noori, R.; Ghiasi, B.; Salehi, S.; Bidhendi, M.E.; Raeisi, A.; Partani, S.; Meysami, R.; Mahdian, M.; Hosseinzadeh, M.; Abolfathi, S. An Efficient Data Driven-Based Model for Prediction of the Total Sediment Load in Rivers. Hydrology 2022, 9, 36. [Google Scholar] [CrossRef]
- Tian, P.; Lu, H.; Feng, W.; Guan, Y.; Xue, Y. Large decrease in streamflow and sediment load of Qinghai–Tibetan Plateau driven by future climate change: A case study in Lhasa River Basin. Catena 2020, 187, 104340. [Google Scholar] [CrossRef]
- Kratzer, C.R.; Brezonik, P.L. Carlson-type trophic state index for nitrogen in Florida Lakes. JAWRA J. Am. Water Resour. Assoc. 1982, 17, 713–715. [Google Scholar] [CrossRef]






| Classification | Data | Resolution/Scale | Sources |
|---|---|---|---|
| Hydrology | DEM 1 | 30 m | USGS 2/SRTM 3 |
| River network | 1:200,000 | Ardabil Regional Water Company | |
| Land use/cover (in 2016) | 30 m | Ardabil Regional Water Company | |
| Soil type and properties | 10,000 m | FAO 4 digital soil map | |
| Precipitation and temperature | Daily | Ardabil Regional Water Company | |
| River flow and sediment concentration | Monthly | Ardabil Regional Water Company | |
| Nutrients | Urea fertilizer | 300 kg/ha | Environmental Studies and Ardabil Agriculture Jihad Management |
| Phosphate fertilizer | 50 kg/ha | Agricultural Jihad Organization of Ardabil Province | |
| Agricultural information | The watershed of Sabalan dam reservoir | Agricultural Jihad Organization of Ardabil Province | |
| Total nitrogen and total phosphorus concentration | Monthly measurements at the entrance of the dam, i.e., station W1 (May 2017–July 2018) | Filed studies |
| Variable | NSE | R2 |
|---|---|---|
| Stream flow | >0.5 | >0.6 |
| Sediment load | >0.5 | >0.6 |
| Nitrogen load | >0.35 | >0.3 |
| Phosphorus load | >0.4 | >0.4 |
| Sensitive for: | Parameter | Name | t-Test | p-Value |
|---|---|---|---|---|
| Hydrology | R__CN2.mgt | Initial SCS runoff curve number for moisture condition II | −23.99 | <0.05 |
| Hydrology | R__SOL_BD (…).sol | Moist bulk density | 3.92 | <0.05 |
| Hydrology | V__ALPHA_BF.gw | Baseflow alpha factor | −10.35 | <0.05 |
| Hydrology | V__LAT_TTIME.hru | Lateral flow travel time | −1.88 | <0.05 |
| Hydrology | V__RCHRG_DP.gw | Deep aquifer percolation fraction | 1.57 | <0.05 |
| Hydrology | V__GW_DELAY.gw | Groundwater delay time | −1.48 | <0.05 |
| Hydrology | V__CH_K2.rte | Effective hydraulic conductivity in main channel alluvium | 4.15 | <0.05 |
| Hydrology | v_ESCO.bsn | Soil evaporation compensation factor. | 4.3 | <0.05 |
| Hydrology | v_EPCO.bsn | Plant uptake compensation factor | 4.5 | < 0.05 |
| Hydrology | r_SOL_AWC.sol | Available water capacity of the soil layer | 4.9 | <0.05 |
| Hydrology | v_OV_N.hru | Manning’s “n” value for overland flow | 5.3 | <0.05 |
| Sediment and total phosphorus | v_PRF.bsn | Peak rate adjustment factor for sediment routing in the main channel | −14.05 | <0.05 |
| Sediment and total phosphorus | V_BC4.bsn | Rate constant for mineralization of organic P to dissolved P in the reach at 20 °C | −9.01 | <0.05 |
| Sediment and total phosphorus | r_USLE_K.sol | USLE equation soil erodibility (K) factor | −8.09 | <0.05 |
| Sediment and total phosphorus | R_ USLE_P.mgt | USLE equation support practice factor | 6.08 | <0.05 |
| Sediment and total phosphorus | V_PHOSKD.bsn | Phosphorus soil partitioning coefficient | 5.76 | <0.05 |
| Sediment and total phosphorus | v_CH_COV1 | The channel erodibility factor | 5.08 | <0.05 |
| Sediment and total phosphorus | V_SOL_ORGP.sol | Initial organic P concentration in soil layer | 3.54 | <0.05 |
| Sediment and total phosphorus | V_ERORGP.HRU | Phosphorus enrichment ratio for loading with sediment | −3.12 | <0.05 |
| Total nitrogen | V_CDN.bsn | Denitrification exponential rate coefficient | −25.01 | <0.05 |
| Total nitrogen | R_SOL_CBN.sol | Organic carbon content | −22.98 | <0.05 |
| Total nitrogen | R_ANION_EXCL.sol | Fraction of porosity (void space) from which anions are excluded | −14.54 | <0.05 |
| Total nitrogen | V_SDNCO.bsn | Denitrification threshold water content | 8.76 | <0.05 |
| Total nitrogen | V_ERORGN.HRU | Organic N enrichment ratio for loading with sediment | 5.43 | <0.05 |
| Total nitrogen | V_HLIFE_NGW.gw | Half-life of nitrate in the shallow aquifer | −3.24 | <0.05 |
| Validation (2001–2004) | Calibration (2005–2018) | Station | |||||||
|---|---|---|---|---|---|---|---|---|---|
| P-factor | R-factor | R2 | NSE | P-factor | R-factor | R2 | NSE | ||
| Flow | |||||||||
| 1.08 | 0.66 | 0.88 | 0.56 | 1.19 | 0.71 | 0.69 | 0.65 | S4 | Shamsabad |
| 1.32 | 0.71 | 0.91 | 0.58 | 1.42 | 0.76 | 0.71 | 0.7 | S2 | Polealmas |
| 1.65 | 0.68 | 0.92 | 0.52 | 1.32 | 0.7 | 0.77 | 0.48 | S5 | Gilandeh |
| 1.32 | 0.75 | 0.82 | 0.63 | 1.16 | 0.78 | 0.86 | 0.73 | C1,W1 | Arbab Kandi |
| 1.39 | 0.72 | 0.98 | 0.56 | 1.52 | 0.77 | 0.82 | 0.61 | S3 | Samiyan |
| 1.27 | 0.69 | 0.76 | 0.63 | 1.43 | 0.71 | 0.76 | 0.53 | S1 | Kouzeterapi |
| 1.09 | 0.76 | 0.63 | 0.53 | 1.09 | 0.78 | 0.87 | 0.62 | C2 | Barough |
| Sediment | |||||||||
| 1.38 | 0.66 | 0.87 | 0.52 | 1.45 | 0.65 | 0.88 | 0.56 | S4 | Shamsabad |
| 1.28 | 0.69 | 0.85 | 0.48 | 1.32 | 0.71 | 0.8 | 0.59 | S2 | Polealmas |
| 1.77 | 0.6 | 0.78 | 0.58 | 1.87 | 0.56 | 0.78 | 0.46 | S5 | Gilandeh |
| 1.67 | 0.71 | 0.85 | 0.6 | 1.53 | 0.66 | 0.7 | 0.67 | C1,W1 | Arbab Kandi |
| 1.21 | 0.69 | 0.78 | 0.52 | 1.09 | 0.73 | 0.81 | 0.58 | S3 | Samiyan |
| 1.87 | 0.75 | 0.89 | 0.54 | 1.75 | 0.71 | 0,76 | 0.56 | S1 | Kouzeterapi |
| 1.26 | 0.59 | 0.71 | 0.56 | 1.31 | 0.65 | 0.71 | 0.5 | C2 | Barough |
| Total phosphorus | |||||||||
| 2.13 | 0.63 | 0.75 | 0.41 | C1,W1 | Arbab Kandi | ||||
| Total nitrogen | |||||||||
| 1.94 | 0.73 | 0.82 | 0.65 | C1,W1 | Arbab Kandi | ||||
Disclaimer/Publisher’s Note: The statements, opinions and data contained in all publications are solely those of the individual author(s) and contributor(s) and not of MDPI and/or the editor(s). MDPI and/or the editor(s) disclaim responsibility for any injury to people or property resulting from any ideas, methods, instructions or products referred to in the content. |
© 2023 by the authors. Licensee MDPI, Basel, Switzerland. This article is an open access article distributed under the terms and conditions of the Creative Commons Attribution (CC BY) license (https://creativecommons.org/licenses/by/4.0/).
Share and Cite
Parmas, B.; Noori, R.; Hosseini, S.A.; Shourian, M. Climate Change Impact on Inflow and Nutrient Loads to a Warm Monomictic Lake. Water 2023, 15, 3162. https://doi.org/10.3390/w15173162
Parmas B, Noori R, Hosseini SA, Shourian M. Climate Change Impact on Inflow and Nutrient Loads to a Warm Monomictic Lake. Water. 2023; 15(17):3162. https://doi.org/10.3390/w15173162
Chicago/Turabian StyleParmas, Behnam, Roohollah Noori, Seyed Abbas Hosseini, and Mojtaba Shourian. 2023. "Climate Change Impact on Inflow and Nutrient Loads to a Warm Monomictic Lake" Water 15, no. 17: 3162. https://doi.org/10.3390/w15173162
APA StyleParmas, B., Noori, R., Hosseini, S. A., & Shourian, M. (2023). Climate Change Impact on Inflow and Nutrient Loads to a Warm Monomictic Lake. Water, 15(17), 3162. https://doi.org/10.3390/w15173162

