Vermicompost Combined with Soil Conditioner Improves the Ecosystem Multifunctionality in Saline-Alkali Land
Abstract
:1. Introduction
2. Materials and Methods
2.1. Experimental Materials
2.2. Experimental Design
2.3. Soil Physicochemical Properties
2.4. Plant Traits
2.5. Soil Microbial Communities
2.6. Data Analysis
3. Results
3.1. Growth and Oxidative Stress Tolerance of L. chinensis
3.2. Effects of Soil Amendments on the Versatility of Saline-Alkali Soils
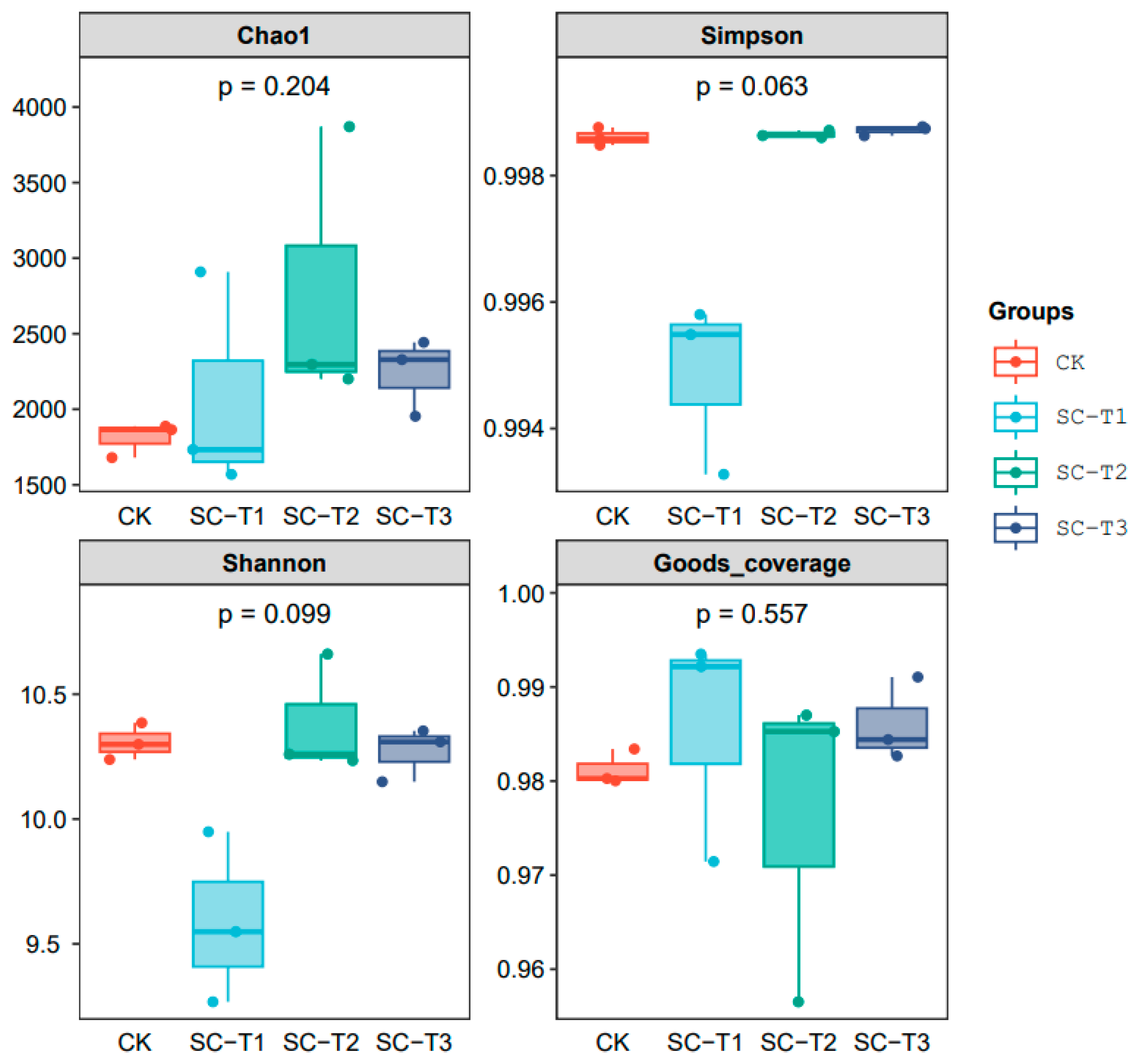
3.3. Soil Microbial Community Diversity
3.4. Material Composition of Soil Microorganisms at the Phylum Level
3.5. Redundancy Analysis between Environmental Factors and Microbial Community Characteristics
3.6. Correlation Analysis between Soil Microbial Population and Physicochemical Properties and Enzyme Activity of Soil
4. Discussion
5. Conclusions
Author Contributions
Funding
Data Availability Statement
Conflicts of Interest
References
- Dong, S.W.; Ma, S.H.; Chu, M. Changes in the microstructure of saline alkali soil under the action of fly ash based soil conditioners. J. Process Eng. 2022, 22, 357–365. [Google Scholar]
- Hu, Y.; Han, J.C.; Zhang, Y. Summary of Research on Saline Alkali Land Improvement Technology. Shaanxi Agric. Sci. 2015, 61, 67–71. [Google Scholar]
- Rath, K.M.; Fierer, N.; Murphy, D.V. Linking bacterial community composition to soil salinity along environmental gradients. ISME J. 2019, 13, 836–846. [Google Scholar] [CrossRef]
- Capula, R.R.; Valdez, L.A.; Cartmill, D.L. Supplementary calcium and potassium improve the response of tomato (Solanum lycopersicum L.) to simultaneousalkalinity, salinity and boronstress. Commun. Soil Sci. Plant Anal. 2016, 47, 505–511. [Google Scholar]
- Hasegawa, P.M. Sodium (Na+) homeostasis and salt tolerance of plants. Environ. Exp. Bot. 2013, 92, 19–31. [Google Scholar] [CrossRef]
- Khan, A.; Khan, A.L.; Muneer, S.; Kim, Y.H.; Al-Rawahi, A.; Al-Harrasi, A. Silicon and salinity: Crosstalk in crop-mediated stress tolerance mechanisms. Front. Plant Sci. 2019, 10, 1429. [Google Scholar] [CrossRef] [PubMed]
- Pan, J.; Wang, L.Y.; Xiao, H. Dynamic changes in soil nutrients of different salt tolerant herbaceous plants in coastal saline alkali land. Chin. J. Agric. 2015, 31, 168–172. [Google Scholar]
- Zhang, P. Effect of Biochar on Phosphorus Adsorption Characteristics and Wheat Growth; Nanjing Information Engineering University: Nanjing, China, 2017. [Google Scholar]
- Xu, X.N.; Chen, K.; Feng, X.J. Study on the advantages of biochar in improving peanut dry matter and nutrient utilization. J. Plant Nutr. Fertil. 2018, 24, 444–453. [Google Scholar]
- Song, Y.L.; Yu, J.; Chen, S.G. Effects of composite microbial agents on the physiological characteristics of cotton and the microbial and chemical properties of rhizosphere soil. Soils 2019, 51, 477–487. [Google Scholar]
- Li, Q.; Ai, F.; Wang, X.; Ma, Y.B.; Liu, L.; Zhu, Z.R.; Zhang, K.Y. Theoretical analysis and practical exploration of soil ecological restoration in coal based solid waste collaborative mining: A case study of Yulin City, Shaanxi Province. Northwest Geol. 2023, 56, 70–77. [Google Scholar]
- Yang, X.L.; Gao, W.; Peng, Y.B. The effect of earthworm bio organic fertilizer on the growth and quality of Chinese cabbage. Heilongjiang Agric. Sci. 2021, 8, 34–37. [Google Scholar]
- Xu, Y.Q.; Yan, H.T.; Wang, X.Q. The effect of biochar combined with organic fertilizer on microbial functional diversity in brown soil tobacco fields. China Tob. Sci. 2020, 41, 55–59+67. [Google Scholar]
- Yuan, J.X.; Li, X.P.; Wu, F.D. The effect of earthworm manure organic fertilizer on the physicochemical properties of vineyard soil. Anhui Agric. Sci. 2023, 51, 169–171+191. [Google Scholar]
- Stavridou, E.; Giannakis, I.; Karamichali, I. Biosolid-Amended Soil Enhances Defense Responses in Tomato Based on Metagenomic Profile and Expression of Pathogenesis-Related Genes. Plants 2021, 10, 2789. [Google Scholar] [CrossRef]
- Lu, J.N.; Zhang, Q.; Liu, T.J. The effects of different amendments on the growth of Kentucky bluegrass in saline alkali soil and grassland. Grassl. Sci. 2017, 34, 1141–1148. [Google Scholar]
- Lai, C.G.; Chen, Z.; Xie, M.J. The effects of soil conditioners on soil environment and crop yield. Phosphate Compd. Fertil. 2018, 33, 23–25+46. [Google Scholar]
- Xiao, X.Y.; Li, X.; Shi, F.H. Exploration of saline alkali land management plans in the northwest region. Agric. Technol. 2021, 41, 142–145. [Google Scholar]
- Bai, M.; Yao, Y.; Wang, J. Effects of Waste Residue of Chinese Herbs on Soil Physical-Chemical Properties and Microbial Quantities and Enzyme Activities of Abandoned Salkaline Land in Arid Area. Bull Soil Water Conserv. 2014, 6, 13–17. [Google Scholar]
- GB15618-2018; Soil Environmental Quality, Agricultural Land Soil Pollution Risk Management And Control Standard. China Standards Press: Beijing, China, 2018.
- Matin, G.; Kayıkçıoğlu, H.H. Effect of vermicompost and biochar application on microbial activity of soil under deficit irrigation. J. Glob. Clim. Change 2022, 1, 51–61. [Google Scholar] [CrossRef]
- Walkley, A. A critical examination of a rapid method for determining organic carbon in soils—Effect of variations in digestion conditions and of inorganic soilconstituents. Soil Sci. 1947, 63, 251–264. [Google Scholar] [CrossRef]
- Guo, Y.F. Discussion and correlation study on the determination of soil available potassium using ammonium acetate flame photometry and M3 method. Shanxi Sci. Technol. 2014, 29, 54–56. [Google Scholar]
- Li, J. Study on the Determination of Effective Phosphorus in Soil by Sodium Bicarbonate Extraction. Resour. Conserv. Environ. Prot. 2019, 10, 105. [Google Scholar]
- Hou, J.W.; Xing, C.F.; Yang, L.L. Optimization and Reform of Soil Alkaline Hydrolyzed Nitrogen Determination Method. J. Southwest Norm. Univ. (Nat. Sci. Ed.) 2021, 46, 45–49. [Google Scholar]
- Zhou, H.; Geng, Y.; Cong, R.; Li, Y.; Liu, D. Effects of Wood Vinegar on Chemical Properties, Enzyme Activities and Their Correlation in Saline Alkali Soil. Chin. J. Soil Sci. 2016, 1, 105–111. [Google Scholar]
- Di, H.; Zhou, C.; Zeng, X.; Wang, S.; Wang, Y.; Wang, Z. Effect of genetically modified salt-tolerant maize with gene BADH(Zeamays L.) on soil enzymes activity. Northeast. Agric. Univ. 2014, 4, 25–29. [Google Scholar]
- Shi, C.F.; Wang, Z.Y.; Leng, X.Y.; Liu, J.M.; Cao, J.M. Improvement of soil phosphatase activity measurement method. Exp. Technol. Manag. 2016, 33, 48–49+54. [Google Scholar]
- Wang, Z.; Yang, Y.; Xia, Y. Time-course relationship between environmental factors and microbial diversity in tobacco soil. Sci. Rep. 2019, 9, 19969. [Google Scholar] [CrossRef] [PubMed]
- Yang, F.; Cen, R.; Feng, W.; Liu, J.; Qu, Z.; Miao, Q. Effects of Super-Absorbent Polymer on Soil Remediation and Crop Growth in Arid and Semi-Arid Areas. Sustainability 2020, 12, 7825. [Google Scholar] [CrossRef]
- Fu, W.; Ma, X.J.; Jia, H.T. Effects of Na+ on the Growth and superoxide Dismutase of Non-salt Plant Wheat Seedlings. Anhui Agric. Sci. 2010, 38, 9446–9447+9493. [Google Scholar]
- Liu, H.Y.; Jing, P.; Wang, M. Improvement of experimental teaching of determining peroxidase activity in plant. Exp. Technol. Manag. 2012, 29, 136–137+145. [Google Scholar]
- Li, Z.F.; Wu, X.D. Experimental Design Scheme for the Effect of Drought Stress on Content of Malondialdehyde of lndoor Ornamental Plants. Tianjin Agric. Sci. 2016, 22, 49–51. [Google Scholar]
- Wang, Q.; Wang, C.; Yu, W. Effects of nitrogen and phosphorus inputs on soil bacterial abundance, diversity and community composition in Chinese fir plantations. Front. Microbiol. 2018, 9, 1543. [Google Scholar] [CrossRef] [PubMed]
- McMurdie, P.J.; Holmes, S. Phyloseq: An R package for reproducible interactive analysis and graphics of microbiome census data. PLoS ONE 2013, 22, 8. [Google Scholar] [CrossRef] [PubMed]
- Song, X. Effects of Different Organic Substrates on the Growthyield and Ouality of Lettuce; Northwest A & F University: Xieyang, China, 2013. [Google Scholar]
- Liu, M.; Wang, Z.C.; Yang, F. Progress in the application of biochar in saline alkali land improvement. J. Soil Water Conserv. 2021, 35, 1–8. [Google Scholar]
- Yan, H.; Zhong, S.Z.; Wen, X.L. The effects of different modifiers on the agronomic traits and yield of sunflowers in saline alkali soil. J. North. Agric. 2021, 49, 36–40. [Google Scholar]
- Wang, D. Study on the Effect of Composite Soil Conditioner on the Treatment of Saline Alkali Soil in Hetao Irrigation District, Inner Mongolia; Inner Mongolia Agricultural University: Hohhot, China, 2020. [Google Scholar]
- Li, T.F.; Wang, A.J.; Li, H. Effect of earthworm dung on microenvironment of rhizosphere soil for pepper growth and yield benefit analysis. Anhui Agric. Sci. 2022, 50, 147–149. [Google Scholar]
- Kavitha, B.; Reddy, P.V.; Kim, B. Benefits and limitations of biochar amendment in agricultural soils: A review. J. Environ. Manag. 2018, 227, 146–154. [Google Scholar] [CrossRef]
- Mupambwa, H.A.; Mnkeni, P.N. Optimizing the vermicomposting of organic wastes amended with inorganic materials for production of nutrient-rich organic fertilizers: A review. Environ. Sci. Pollut. Res. 2018, 25, 10577−10595. [Google Scholar] [CrossRef] [PubMed]
- Ai, F.; Li, Q.; Ren, H.D. Effects of earthworm fertilizer combined with soil conditioner on soil properties and the growth of Leymus chinensis in Maowusu sandy land. Shaanxi Agric. Sci. 2022, 68, 11–17. [Google Scholar]
- Manuel, B.; Julien, B.; Nicolas, M. Vermicompost significantly affects plant growth. A meta-analysis. Agron. Sustain. Dev. 2019, 39, 2−15. [Google Scholar]
- Jia, Y.M.; Liu, W.; Wang, Q. The effect of earthworm fertilizer on the growth and heavy metal accumulation of alfalfa in copper and zinc contaminated soil. J. Shanxi Agric. Univ. (Nat. Sci. Ed.) 2021, 41, 121–128. [Google Scholar]
- Deng, P.B.; Guo, L.P.; Yang, H.T.; Leng, X.Y.; Wang, Y.M.; Bi, J.; Shi, C.-F. Effect of an Organic Fertilizer of Ganoderma lucidumResidue on the Physical and Chemical Properties and Microbial Communities of Saline Alkaline Soil. Water 2023, 15, 962. [Google Scholar] [CrossRef]
- Li, Q.; Wang, Y.H.; Li, Y.C. The effects of different types of conditioners on the remediation effect and microbial community of cadmium contaminated soil. South. Agric. J. 2022, 53, 1855–1866. [Google Scholar]
- Lu, H.J.; Zhou, D.L.; Ye, W.L. Research progress of bio organic fertilizers in soil improvement and heavy metal pollution remediation. Environ. Pollut. Prev. 2019, 41, 1378–1383. [Google Scholar]
- Xie, X.H.; Li, Y. Effects of Agaricus blazei fungus bran on soil chemistry and forage growth in soda saline alkali soil. J. Jilin Agric. Univ. 2010, 32, 518–522. [Google Scholar]
- Ge, J.Q.; Yu, X.C.; Wang, Z.H. Microbial fertilizer effect and its application prospects. Chin. J. Ecol. Agric. 2003, 3, 93–94. [Google Scholar]
- Zeng, Q.B.; Li, T.; Gou, X.M. The effect of adding Trichoderma fertilizer to the seedbed on the growth and stress resistance enzyme activity of two types of tobacco seedlings. J. Sichuan Agric. Univ. 2019, 37, 28–33. [Google Scholar]
- Wang, L.L.; Dong, M.; Zhang, L.; Du, X.G. The effect of different carbon to nitrogen ratios of organic fertilizers on soil microbial biomass in organic agriculture. Chin. J. Ecol. Agric. 2013, 21, 1073–1077. [Google Scholar] [CrossRef]
- Yu, H.L. Study on the Effect of Nitrogen Application Rate on the Characteristics of Soil Microbial Community Composition; Jilin Agricultural University: Jilin, China, 2017. [Google Scholar]
- Jin, Q. Study on Characteristics of Soil Microbial Community in Typical Wetlands of Poyang Lake and Its Response to Environmental Change; Jiangxi Normal University: Jiangxi, China, 2017. [Google Scholar]
- Wu, P.P.; Yang, S.F.; Liu, S.W. The effect of carbon based soil conditioner combined with specialized fertilizer on soil microorganisms and enzyme activity in maize. Chin. J. Agron. 2021, 37, 66–73. [Google Scholar]
- Xu, Z.N.; Wang, C.; Zhu, C. Effects of vermicompost and soil proportion on the microbial property of substrate and the growth and quality of leek. J. Plant Nutr. Fertil. 2019, 25, 519–524. [Google Scholar]
- Wang, B.L.; Wang, C.; Liu, M.L. Ecological remediation of earthworms on soil-plant system: A review. Chin. J. Appl. Ecol. 2021, 32, 2259–2266. [Google Scholar]
- Ghosh, A.; Bhattacharyya, R.; Dwivedi, B.S. Temperature sensitivity of soil organic carbon decomposition as affected by long-term fertilization under a soybean based cropping system in a sub-tropical Alfisol. Agric. Ecosyst. Environ. 2016, 233, 202–213. [Google Scholar] [CrossRef]
- Abee, T.; Groot, M.N.; Tempelaars, M. Germination and outgrowth of spores of Bacillus cereus group members: Diversity and role of germinant receptors. Food Microbiol. 2011, 28, 199–208. [Google Scholar] [CrossRef] [PubMed]
- Rousk, J.; Brookes, P.C.; Baath, E. Investigating the mechanisms for the opposing pH relationships offungal and bacterial growth in soil. Soil Biol. Biochem. 2010, 42, 926–934. [Google Scholar] [CrossRef]
- Zhao, H.B.; Zheng, W.L.; Zhang, S.W.; Gao, W.L.; Fan, Y.Y. Soil microbial community variation with time and soil depth in Eurasian Steppe (Inner Mongolia, China). Ann. Microbiol. 2021, 71, 21. [Google Scholar] [CrossRef]
- Cui, H.; Sun, W. The effects of mowing and multi-level N fertilization on soil bacterial and fungal communities in a semiarid grassland are year- dependent. Soil Biol. Biochem. 2020, 151, 108040. [Google Scholar] [CrossRef]
- Wang, X.; Zhang, W.; Liu, Y. Identification of microbial strategies for labile substrate utilization at phylogenetic classification using a microcosm approach. Soil Biol. Biochem. 2021, 153, 107970. [Google Scholar]
- Sha, M.; Xu, J.; Zheng, Z. Enhanced atmospheric nitrogen deposition triggered little change in soil microbial diversity and structure in a desert ecosystem. Glob. Ecol. Conserv. 2021, 31, 01879. [Google Scholar] [CrossRef]











| Indicator | Saline–Alkali Soil | Vermicompost | Solid Waste Soil Conditioner | National Standard GB15618-2018 [20] |
|---|---|---|---|---|
| OM (g·kg−1) | 5.09 | 88.57 | 343.58 | - |
| AvP (mg·kg−1) | 14.46 | 3.81 | 27.4 | - |
| AvK (mg·kg−1) | 70.00 | 886.56 | 0.79 | - |
| AvN (mg·kg−1) | 17.00 | 35.37 | 15.32 | - |
| pH | 8.90 | 6.78 | 7.32 | - |
| Ni (mg·kg−1) | 19.16 | 54 | 61 | 190.00 |
| As (mg·kg−1) | 1.98 | 2.66 | 1.48 | 25.0 |
| Cr (mg·kg−1) | 24.54 | 79 | 101 | 250.00 |
| Zn (mg·kg−1) | 31.01 | 230 | 156 | 300.00 |
| Cu (mg·kg−1) | 7.55 | 25 | 70 | 100.00 |
| Cd (mg·kg−1) | 0.03 | 0.09 | 0.03 | 0.60 |
| Hg (mg·kg−1) | 0.06 | 0.81 | 0.08 | 3.40 |
Disclaimer/Publisher’s Note: The statements, opinions and data contained in all publications are solely those of the individual author(s) and contributor(s) and not of MDPI and/or the editor(s). MDPI and/or the editor(s) disclaim responsibility for any injury to people or property resulting from any ideas, methods, instructions or products referred to in the content. |
© 2023 by the authors. Licensee MDPI, Basel, Switzerland. This article is an open access article distributed under the terms and conditions of the Creative Commons Attribution (CC BY) license (https://creativecommons.org/licenses/by/4.0/).
Share and Cite
Ai, F.; He, L.; Li, Q.; Li, B.; Zhang, K.; Yang, H.; Zhang, C. Vermicompost Combined with Soil Conditioner Improves the Ecosystem Multifunctionality in Saline-Alkali Land. Water 2023, 15, 3075. https://doi.org/10.3390/w15173075
Ai F, He L, Li Q, Li B, Zhang K, Yang H, Zhang C. Vermicompost Combined with Soil Conditioner Improves the Ecosystem Multifunctionality in Saline-Alkali Land. Water. 2023; 15(17):3075. https://doi.org/10.3390/w15173075
Chicago/Turabian StyleAi, Feng, Linwei He, Qiang Li, Binbin Li, Kaiyu Zhang, Hang Yang, and Chenchen Zhang. 2023. "Vermicompost Combined with Soil Conditioner Improves the Ecosystem Multifunctionality in Saline-Alkali Land" Water 15, no. 17: 3075. https://doi.org/10.3390/w15173075
APA StyleAi, F., He, L., Li, Q., Li, B., Zhang, K., Yang, H., & Zhang, C. (2023). Vermicompost Combined with Soil Conditioner Improves the Ecosystem Multifunctionality in Saline-Alkali Land. Water, 15(17), 3075. https://doi.org/10.3390/w15173075
