Hydro-Geochemical Characteristics of the Shallow Alluvial Aquifer and Its Potential Artificial Recharge to Sustain the Low Flow of the Garonne River
Abstract
:1. Introduction
2. Description of the Study Area
3. The Concept of Artificial Groundwater Recharge in the TAG Area
4. Materials and Methods
5. Result and Discussion
5.1. Piezometric Map Delineation and Groundwater Level Fluctuation
5.2. Groundwater Hydrochemistry
5.2.1. Nitrates (NO3−)
5.2.2. Dominated Hydrochemical Processes in the Alluvial Aquifer
5.2.3. Hydrochemical Facies of the Groundwater
5.2.4. Silicate Hydrolysis
5.3. Modeling of Groundwater Flow
5.3.1. Boundary Conditions
5.3.2. Hydraulic Conductivity
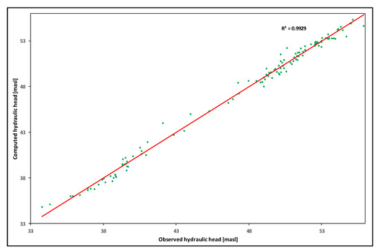
5.3.3. Steady-State Calibration
5.3.4. Results of Transient Modeling
6. Conclusions
Author Contributions
Funding
Institutional Review Board Statement
Informed Consent Statement
Data Availability Statement
Conflicts of Interest
References
- Le Treut, H. Les Impacts du Changement Climatique en Aquitaine. Nouvelle Édition; Presses Universitaires de Bordeaux: Pessac, France, 2013; 368p, ISBN 9791030003741. [Google Scholar]
- EEA (European Environment Agency). Water Resources across Europe—Confronting Water Scarcity and Drought; European Environment Agency: Luxembourg, 2009.
- Caballero, Y.; Voirin-Morel, S.; Habets, F.; Noilhan, J.; LeMoigne, P.; Lehenaff, A.; Boone, A. Hydrological sensitivity of the Adour-Garonne river basin to climate change. Water Resour. Res. 2007, 43, 19P. [Google Scholar] [CrossRef]
- Hendrickx, F.; Sauquet, E. Impact of warming climate on water management for the Ariège River basin (France). Hydrol. Sci. J. 2013, 58, 976–993. [Google Scholar] [CrossRef]
- Agence de l’eau Adour-Garonne, Eau et Changements Climatiques en Adour-Garonne, Les Enjeux Pour la Ressource, les Usages et les Milieux, 31078 Toulouse CEDEX 4, France. 2014. Available online: http://oai.eau-adour-garonne.fr/oai-documents/60721/GED_00000000.pdf (accessed on 21 February 2022).
- Guivarch, M.; Dany, A.; Toulzac, N.; Guiheux, A.; Le Gall, G. État Initial du SAGE Vallée de la Garonne; Schéma d’Aménagement et de Gestion des Eaux, Vallée de la Garonne: Montigny le Bretonneux, France, 2015; 430p, Available online: https://www.gesteau.fr/sites/default/files/2-sage_garonne_etat_initial_fev15.pdf (accessed on 22 February 2022).
- Rousset, A.; Le Treut, H. Anticiper les Changements Climatiques en Nouvelle-Aquitaine; Rapport AcclimaTerra; Editions Région Nouvelle-Aquitaine: Bordeaux, France, 2018; Available online: http://www.acclimaterra.fr/uploads/2018/05/Rapport-AcclimaTerra.pdf (accessed on 22 February 2022).
- Valette, P. Changements Environnementaux et Adaptation des Sociétés Dans la Moyenne Vallée de la Garonne (XVIIIe siècle à aujourd’hui). Sud-Ouest Européen, Presses Universitaires du Mirail-CNRS, Aléas, Vulnérabilités et Adaptations des Sociétés du Passé. 2011, Volume 32, pp. 35–51. Available online: http://journals.openedition.org/soe/668 (accessed on 22 February 2022).
- Winter, T.C.; Harvey, J.W.; Franke, O.L.; Alley, W.M. Ground Water and Surface Water—A Single Resource; U.S. Geological Survey Circular 1139; U.S. Geological Survey: Reston, VA, USA, 1998; 79p. Available online: https://pubs.usgs.gov/circ/1998/1139/report.pdf (accessed on 21 February 2022).
- Ivkovic, K.M. A top-down approach to characterise aquifer-river interaction processes. J. Hydrol. 2009, 365, 145–155. [Google Scholar] [CrossRef]
- Gandolfi, J.M.; Danneville, L.; Petit, V.; Tilloloy, F. Connaissance, Évaluation et Protection des Aquifères Alluviaux de Tarn-et-Garonne; 82, BRGM Report/R-39543; Bureau de Recherches Géologiques et Minières: Toulouse, France, 1997. [Google Scholar]
- Le Cointe, P.; Nuttinck, V.; Rinaudo, J.D. A Tool to Determine Annual Ground-Water Allocations in the Tarn-et-Garonne Alluvial Aquifer (France). In Sustainable Groundwater Management; Rinaudo, J.D., Holley, C., Barnett, S., Montginoul, M., Eds.; Global Issues in Water Policy; Springer: Cham, Switzerland, 2020; Volume 24, pp. 253–274. [Google Scholar]
- Steiger, J.; James, M.; Gazelle, F. Channelization and consequences on floodplain system functioning on the Garonne River, UK. Regul. Rivers Res. Mgmt. 1998, 14, 13–23. [Google Scholar] [CrossRef]
- Lambert, R.; Lami, J.M.; Senges, F. Etude Hydraulique de la Garonne. La Sécheresse de 1989 dans le Bassin de la Garonne (à L’amont du Mas d’ A gênais); Université de Toulouse-le-Mirail, Institute de Géographie, et du Ministère de l’Environnement, Délégation de bassin Adour-Garonne: Toulouse, France, 1990; Volume 2, 75p. [Google Scholar]
- Poff, N.L.; Allan, J.D.; Palmer, M.A.; Hart, D.D.; Richter, B.D.; Arthington, A.H.; Rogers, K.H.; Meyers, J.L.; Stanford, J.A. River flows and water wars: Emerging science for environmental decision making. Front. Ecol. Environ. 2003, 1, 298–306. [Google Scholar] [CrossRef]
- Sophocleous, M. The science and practice of environmental flows and the role of hydrogeologists. Ground Water 2007, 45, 393–401. [Google Scholar] [CrossRef]
- Pörtner, H.-O.; Roberts, D.C.; Tignor, M.; Poloczanska, E.S.; Mintenbeck, K.; Alegría, A.; Craig, M.; Langsdorf, S.; Löschke, S.; Möller, V.; et al. (Eds.) Climate Change 2022: Impacts, Adaptation, and Vulnerability. Contribution of Working Group II to the Sixth Assessment Report of the Intergovernmental Panel on Climate Change; Cambridge University Press: Cambridge, UK, 2022. [Google Scholar]
- Weng, P.; Sánchez-Pérez, J.; Sauvage, S.; Vervier, P.; Giraud, F. Assessment of the quantitative and qualitative buffer function of an alluvial wetland: Hydrological modelling of a large floodplain (Garonne River, France). Hydrol. Process. 2003, 17, 2375–2392. [Google Scholar] [CrossRef]
- Asmael, N.; Dupuy, A.; Leroy, B. Artificial Recharge of the Shallow Alluvial Aquifer as an Adaptation Strategy in the Garonne Valley, France. IAHS 2023, 100, 1–6. [Google Scholar]
- BRGM Infoterre. Available online: https://infoterre.brgm.fr (accessed on 22 February 2022).
- Prodéo, F.; Hanry, A.; Sainte-Colombe-en-Bruilhois—Faurat, Montplaisir, notice archéologique, ADLFI. Archéologie de la France. Available online: http://journals.openedition.org/adlfi/100204 (accessed on 17 August 2023).
- Danneville, L. Eau-Aménagement-Environnement Contribution des Eaux Souterraines Aux Débits et à la Qualité des Eaux de Surface: Exemple de la Garonne, de ses Sources à la Confluence du Tarn. Documents du BRGM 262 Editions BRGM. Ingénierie de l’environnement. Université Paris XI—Orsay, France. PhD Report. 1995. Available online: https://theses.hal.science/tel-01420437/file/2012_These_Daneville_Garonne.pdf (accessed on 22 February 2022).
- Lancaster, R.R. Fluvial Evolution of the Garonne River, France: Integrating Field Data with Numerical Simulations. Master’s Thesis, Louisiana State University, Baton Rouge, LA, USA, 2005. [Google Scholar]
- Probst, J.L. Hydrologie du Bassin de la Garonne: Modèles de Mélange, Bilan de l’Erosion, Exportation des Nitrates et des Phosphates. Ph.D. Thesis, University Toulouse, Toulouse, France, 1983. [Google Scholar]
- Grusson, Y.; Anctil, F.; Sauvage, S.; Sánchez Pérez, J.M. Coevolution of Hydrological Cycle Components under Climate Change: The Case of the Garonne River in France. Water 2018, 10, 1870. [Google Scholar] [CrossRef]
- Flipo, N.; Mouhri, A.; Labarthe, B.; Biancamaria, S.; Rivière, A.; Weill, P. Continental hydrosystem modelling: The concept of nested stream—Aquifer interfaces. Hydrol. Earth Syst. Sci. 2014, 18, 3121–3149. [Google Scholar] [CrossRef]
- Weill, P.; Labarthe, B.; Jost, A.; Amestoy, J.; Cojan, I.; Deleplancque, B.; Flipo, N. Complexité Hydrosédimentaire de la Plaine Alluviale de la Bassée. [Rapport de Recherche] Programme PIREN-Seine, Rapport de Synthèse 2011–2015, Vol. 2 “Interfaces Nappe-Rivière”; MINES ParisTech: Paris, France, 2016; pp. 49–95. [Google Scholar]
- Queensland Government. Groundwater Dependent Ecosystem Pictorial Conceptual Model ‘Alluvia’: Version 1.5; Queensland Government: Brisbane, Australia, 2017. Available online: https://wetlandinfo.des.qld.gov.au/resources/static/pdf/ecology/gde/170303-gde-pcm-alluvia.pdf (accessed on 22 February 2022).
- Parkhurst, D.L.; Appelo, C.A.J. PHREEQC for windows A Computer Program for Speciation, Batch-Reaction, One-Dimensional Transport, and Inverse Geochemical Calculations. U.S. Geol. Surv. Tech. Methods 2013, 6, 497. [Google Scholar]
- Diersch, H.J.G. FEFLOW. Finite Element Simulation System for Subsurface Flow and Transport Processes; Springer: Berlin/Heidelberg, Germany, 2018. [Google Scholar]
- Wen, X.H.; Wu, Y.Q.; Wu, J. Hydrochemical characteristics of groundwater in the Zhangye Basin, Northwestern China. Environ. Geol. 2008, 55, 1713–1724. [Google Scholar] [CrossRef]
- Zhang, B.; Zhao, D.; Zhou, P.; Qu, S.; Liao, F.; Wang, G. Hydrochemical Characteristics of Groundwater and Dominant Water–Rock Interactions in the Delingha Area, Qaidam Basin, Northwest China. Water 2020, 12, 836. [Google Scholar] [CrossRef]
- Deutsch, W.J. Groundwater Geochemistry: Fundamentals and Application to Contamination; CRC Press: Boca Raton, FL, USA, 1997. [Google Scholar]
- Si, J.; Feng, Q.; Wen, X.; Su, Y.; Xi, H.; Chang, Z. Major ion chemistry of groundwater in the extreme arid region northwest China. Environ. Geol. 2009, 57, 1079–1087. [Google Scholar]
- Stuyfzand, P.J. A new Hydrochemical Classification of Water Type. In Regional Characterization of Water Quality; IAHS Publication: Oxford, UK, 1989; Volume 182, pp. 89–98. [Google Scholar]
- Piper, A.M. A graphic procedure in the geochemical interpretation of water analyses. Trans. Am. Geophys. Union 1944, 25, 914–928. [Google Scholar] [CrossRef]
- Coetsiers, M.; Walraevens, K. Chemical characterization of the Neogene Aquifer, Belgium. Hydrogeol. J. 2006, 14, 1556–1568. [Google Scholar] [CrossRef]
- Nakagawa, K.; Amano, H.; Asakura, H.; Berndtsson, R. Spatial trends of nitrate pollution and groundwater chemistry in Shimabara, Nagasaki, Japan. Environ. Earth Sci. 2016, 75, 234. [Google Scholar] [CrossRef]
- Vinnarasi, F.; Srinivasamoorthy, K.; Saravanan, K.; Gopinath, S.; Prakash, R.; Ponnumani, G.; Babu, C. Chemical weathering and atmospheric carbon dioxide (CO2) consumption in Shanmuganadhi, South India: Evidences from groundwater geochemistry. Environ. Geochem. Health 2020, 43, 771–790. [Google Scholar] [CrossRef]
- Srinivasamoorthy, K.; Vasanthavigar, M.; Chidambaram, S.; Anandhan, P.; Manivannan, R.; Rajivgandhi, R. Hydrochemistry of groundwater from Sarabanga minor basin, Tamilnadu, India. Int. Acad. Ecol. Environ. Sci. 2012, 2, 193–203. [Google Scholar]
- Drever, J.I. The Geochemistry of Natural Waters: Surface Water and Groundwater Environments, 3rd ed.; Prentice-Hall: Upper Saddle River, NJ, USA, 1998; 436p. [Google Scholar]
- Brielmann, H. Recharge and Discharge Mechanism and Dynamics in the Mountainous Northern Upper Jordan River Catchment, Israel. Ph.D. Thesis, Ludwig-Maximilians-University, Munich, Germany, 2008. [Google Scholar]
- Huang, S.b.; Han, Z.t.; Zhao, L.; Kong, X.K. Risk assessment and prediction of heavy metal pollution in groundwater and river sediment: A case study of a typical agricultural irrigation area in Northeast China. Int. J. Anal. Chem. 2015, 2015, 921539. [Google Scholar] [CrossRef]
- Drever, J.I. The Geochemistry of Natural Waters; Prentice-Hall: Englewood Cliffs, NJ, USA, 1988; Volume 437. [Google Scholar]
- Güler, C.; Thyne, G.D. Hydrologic and geologic factors controlling surface and groundwater chemistry in Indian Wells-Owens Valley area, southeastern California, USA. J. Hydrol. 2004, 285, 177–198. [Google Scholar] [CrossRef]
- Giggenbach, W.F. Geothermal Solute Equilibria. Derivation of Na-k-Mg-Ca Geoindicators. Geochim. Cosmochim. Acta 1988, 52, 2749–2765. [Google Scholar] [CrossRef]
- Xing, L.; Guo, H.; Zhan, Y. Groundwater hydrochemical characteristics and processes along flow paths in the North China Plain. J. Asian Earth Sci. 2013, 70–71, 250–264. [Google Scholar] [CrossRef]
- Datta, P.S.; Tyagi, S.K. Major Ion Chemistry of Groundwater in Delhi Area: Chemical Weathering Processes and Groundwater Flow Regime. J. Geol. Soc. India 1996, 47, 179–188. [Google Scholar]
- Mayback, M. Global chemical weathering of surficial rocks estimated from river dissolved loads. Am. J. Sci. 1987, 287, 401–428. [Google Scholar] [CrossRef]
- Rajmohan, N.; Elango, L. Identification and Evolution of Hydrogeochemical Processes in the Groundwater Environment in an Area of the Palar and Cheyyar River Basins, Southern India. Environ. Geol. 2004, 46, 47–61. [Google Scholar] [CrossRef]
- Elango, L. Numerical Simulation of Groundwater Flow and Solute Transport, 1st ed.; Allied Publishers Pvt. Ltd.: New Delhi, India, 2005. [Google Scholar]
- Asmael, N.M.; Dupuy, A.; Huneau, F.; Hamid, S.; Coustumer, P.L. Groundwater Modeling as an Alternative Approach to Limited Data in the Northeastern Part of Mt. Hermon (Syria), to Develop a Preliminary Water Budget. Water 2015, 7, 3978–3996. [Google Scholar] [CrossRef]
- Krige, D.G. A statistical approach to some basic mine valuation problems on the Witwatersrand. J. Chem. Metall. Min. Soc. S. Afr. 1951, 52, 119–139. [Google Scholar]



















| Mineral Saturation Index | Min | Max | Average | Standard Deviation |
|---|---|---|---|---|
| Anhydrite | −2.9 | −1.9 | −2.3 | 0.2 |
| Calcite | −1.3 | 0.1 | −0.6 | 0.3 |
| Dolomite | −2.8 | −0.5 | −1.7 | 0.5 |
| Gypsum | −2.5 | −1.5 | −1.9 | 0.2 |
| Halite | −8.5 | −6.6 | −7.5 | 0.4 |
| Quartz | −0.1 | 0.3 | 0.1 | 0.1 |
Disclaimer/Publisher’s Note: The statements, opinions and data contained in all publications are solely those of the individual author(s) and contributor(s) and not of MDPI and/or the editor(s). MDPI and/or the editor(s) disclaim responsibility for any injury to people or property resulting from any ideas, methods, instructions or products referred to in the content. |
© 2023 by the authors. Licensee MDPI, Basel, Switzerland. This article is an open access article distributed under the terms and conditions of the Creative Commons Attribution (CC BY) license (https://creativecommons.org/licenses/by/4.0/).
Share and Cite
Asmael, N.; Dupuy, A.; McLachlan, P.; Franceschi, M. Hydro-Geochemical Characteristics of the Shallow Alluvial Aquifer and Its Potential Artificial Recharge to Sustain the Low Flow of the Garonne River. Water 2023, 15, 2972. https://doi.org/10.3390/w15162972
Asmael N, Dupuy A, McLachlan P, Franceschi M. Hydro-Geochemical Characteristics of the Shallow Alluvial Aquifer and Its Potential Artificial Recharge to Sustain the Low Flow of the Garonne River. Water. 2023; 15(16):2972. https://doi.org/10.3390/w15162972
Chicago/Turabian StyleAsmael, Nazeer, Alain Dupuy, Paul McLachlan, and Michel Franceschi. 2023. "Hydro-Geochemical Characteristics of the Shallow Alluvial Aquifer and Its Potential Artificial Recharge to Sustain the Low Flow of the Garonne River" Water 15, no. 16: 2972. https://doi.org/10.3390/w15162972
APA StyleAsmael, N., Dupuy, A., McLachlan, P., & Franceschi, M. (2023). Hydro-Geochemical Characteristics of the Shallow Alluvial Aquifer and Its Potential Artificial Recharge to Sustain the Low Flow of the Garonne River. Water, 15(16), 2972. https://doi.org/10.3390/w15162972

