Abstract
Due to higher levels of industrial activity, the concentrations of toxic substances in natural water bodies are increasing. One of the most dangerous groups of toxic compounds is heavy metals, with even trace amounts of most heavy metals being harmful to aquatic life. This is why purifying water has become an urgent priority. In this context, ion-exchange resins have become more widely used in water treatment processes. However, to reduce the costs and improve the sustainability of this strategy, natural resins are favored over synthetic versions. Therefore, in the present study, a natural tamarind-based chelating resin was developed. The tamarind triazine amino propanoic acid (TTAPA) resin was synthesized and characterized using Fourier-transform infrared spectroscopy, thermogravimetry analysis, scanning electron microscopy, elemental analysis, and physicochemical analysis of the moisture content, total ion-exchange capacity, bulk volume, bulk density, and percentage nitrogen content. The biological oxygen demand and chemical oxygen demand of the industrial effluent before and after treatment were also analyzed. The batch analysis was used to determine the distribution coefficient and percentage removal of the metal ions Fe(II), Zn(II), Pb(II), Cu(II), and Cd(II). The removal efficiency of the prepared TTAPA resin was highest for Fe(II), followed by Cu(II), Zn(II), Pb(II), and Cd(II) in order. The chelating ion-exchange resin also had a metal ion recovery of more than 95%, thus demonstrating great promise for the sequestration of heavy metal ions from industrial wastewater. The proposed TTAPA resin is biodegradable, non-toxic, cost-effective, reproducible, and eco-friendly.
1. Introduction
One of the major threats to natural ecosystems is the environmental pollution arising from urbanization and industrialization [1,2,3]. In particular, metal ions are released as a result of various human activities, causing a variety of negative environmental consequences [4,5,6]. In recent decades, there has been a significant increase in the use of toxic heavy metals in various industries, many of which enter the natural environment and damage flora and fauna [7]. These heavy metals are non-biodegradable [8] and damaging to human health when present above certain levels, including raising the risk of cancer [9]. Once released, heavy metals can persist in the environment for long periods; thus, researchers, scientists, and environmentalists have pursued the development of viable methods for water purification [10,11,12].
Conventional methods of water purification based on the precipitation of heavy metal ions have disadvantages in terms of the need to maintain a specific temperature, pH, and ion concentration. They also produce colloids and sludge at quantities much higher than the original heavy metals [13]. For this reason, a number of adsorbents have been developed for the removal of heavy metals from industrial effluent, including activated charcoal [14], biomass [15,16,17], polymers [18,19,20], fly ash [21], zeolites [22], and graphene oxide [23]. Other methods that have been used to decrease the metal ion concentration in water include ultra-filtration, electrolysis, phytoextraction, and reverse osmosis. However, many of these methods are difficult to implement and are not very cost-effective. Therefore, a treatment strategy that is both simple and compatible with local resources and constraints is required.
Recently, ion-exchange resins have been considered as a potential solution to the sequestration of metal ions from industrial wastewater [24,25]. The removal of toxic metals via ion-exchange methods were proven to be effective in previous studies [26]. In addition, these resins can be easily recovered and reused using regeneration processes.
Ion-exchange resins can act as a cation exchanger, an anion exchanger, or a chelating exchange resin, based on the functional groups involved. Ion exchangers can be effectively employed for the adsorption and separation of several toxic metal ions, such as cobalt [27], zinc [28], nickel [28], copper [29], lead [28,29], cadmium [30,31], and iron [32].
These ion exchangers can be produced from synthetic or natural resins. Synthetic ion exchangers based on petroleum products (e.g., DVB styrene) [33] and polymers [34] are widely used, but due to their high costs and the increasing social demand for sustainability, ion exchangers based on natural resins have attracted increasing attention [35] as inexpensive and high-quality alternatives.
Several natural-resource-based ion exchangers have been developed, and a prominent one among them is the biomass-derived carbon-based ion exchanger [24]. Examples include Indigofera tinctoria plant-derived carbon incorporated with phenol-formaldehyde resin [24] and a natural cation exchanger from the waste biomass of pineapple peel [25].
These ion exchangers have shown better wastewater treatment results. However, considering the increasing demand for ion exchangers with increasing water pollution, it is very necessary to develop more ion exchangers that can be easily produced at an economical cost. Effort was made in this study in this regard.
In this respect, the tamarind tree (Tamarindus indica), which is naturally found in forests in India, Sri Lanka, Bangladesh, and Burma but which can also be easily cultivated, has the potential to be used to develop eco-friendly and sustainable products. In particular, tamarind seeds, which are generally thrown away rather than eaten, can be employed in a sustainable circular economy in which waste products are repurposed [36,37]. The seeds of T. indica can be used to produce tamarind kernel powder (TKP), which is a polymer containing three types of sugar, namely galactose, xylose, and glucose, at a molar ratio of 1:2:3, respectively [38]. The molecular weight of TKP is approximately 52,350, and it is classified as a xyloglucan, which is a linear polysaccharide that has excellent compatibility with other molecules via physical and chemical interactions and is biodegradable. Another advantage of this natural product over its synthetic counterparts is that TKP is hydrophilic and biodegradable [36,37,38]. In addition, the rising price of petroleum products means that synthetic ion exchangers are less cost-effective, while tamarind-based resin is inexpensive and can be procured easily from the local market due to its abundant supply from agricultural resources.
Due to these advantages of TKP, a new resin based on the tamarind-derived polymer tamarind triazine amino propanoic acid (TTAPA) was synthesized in the present study for the first time. Crosslinking of the polymer matrix produces an insoluble resin, which is useful in column separation. The synthesized TTAPA resin was characterized, and various physiochemical properties were assessed, after which it was applied to the removal of heavy metal ions from effluent from Balaji Steel Industries under favorable analytical conditions. The partition coefficient (Kd) values of the heavy metal ions and their adsorption to the resin indicate that TTAPA has significant potential for the control of water pollution. Therefore, the objective of this study was to develop an ion-exchange resin from natural resources and investigate its wastewater treatment application. This is the only study in which a resin has been produced using a natural resource, seeds of the tamarind kernel, and has given satisfactory wastewater treatment results.
2. Methodology
2.1. Reagents and Chemicals
TKP and cyanuric acid were purchased from Ases Chemical Work, Jodhpur, India. Epichlorohydrin was procured from S.D. Ases Chemicals in Baroda, India. Dioxane was purchased from E-Merck, Mumbai, India; sodium hydroxide was purchased from Sarabhai M. Chemicals, Baroda, India; and amino propanoic acid was procured from Loba Chemical Pvt. Ltd., Mumbai, India. The industrial effluent from a Balaji Steel Industries plant in Jodhpur, Rajasthan, was used as the model for the wastewater treatment experiment.
2.2. Experiment
Synthesis of Tamarind Triazine Amino Propanoic Acid (TTAPA) Resin
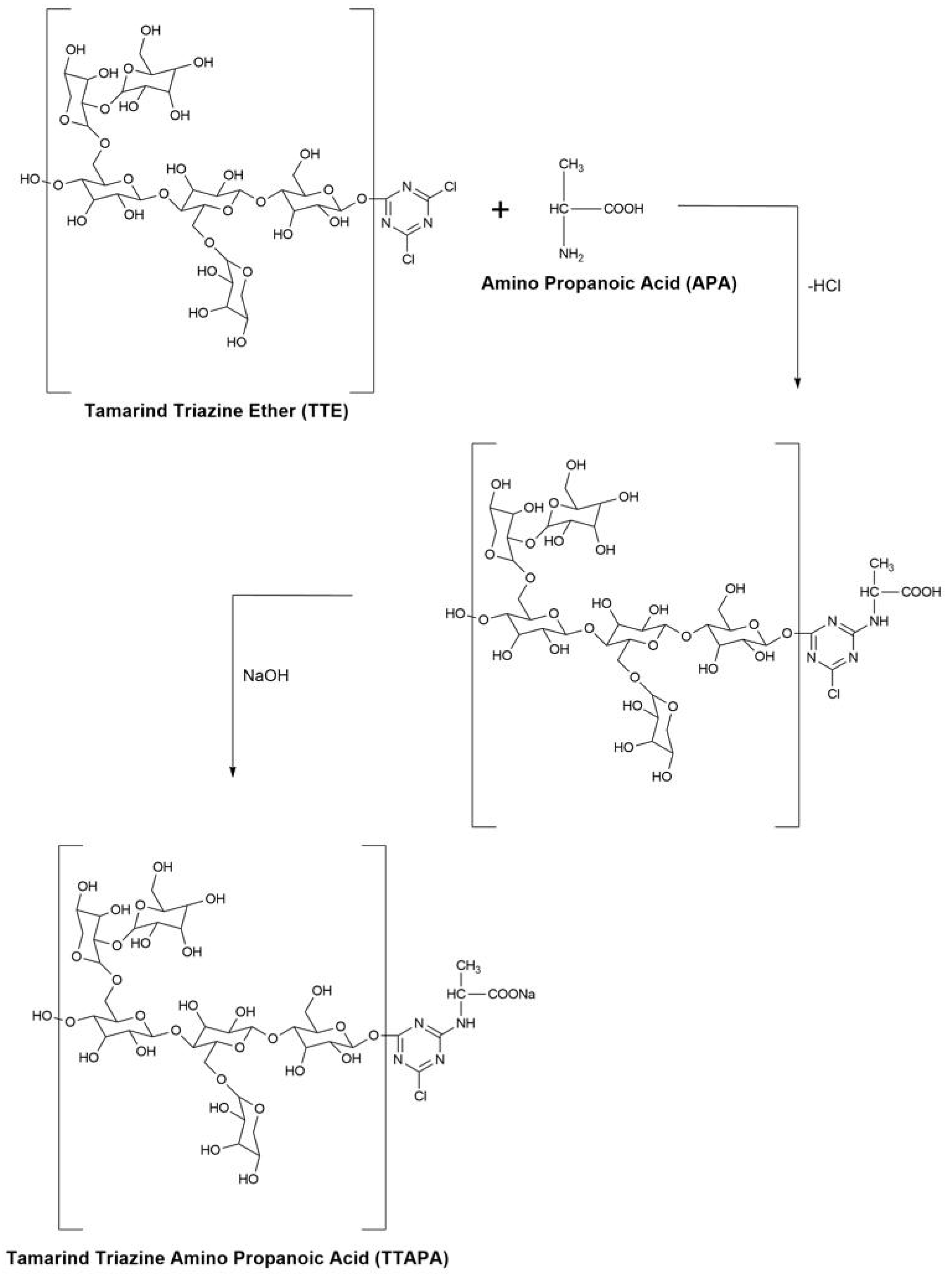
The TTAPA resin was prepared in two steps, following a previous study [39].
- (i)
- Preparation of tamarind triazine ether (TTE)
First, 0.1 mol of TKP (91.10 g) was added to a flask containing 100 cm3 of dioxane. It was stirred continuously at about 5 °C under external cooling. To this solution, 9.27 g of cyanuric chloride was added, and 40% NaOH solution was used to maintain the pH at 7–8. The mixture was stirred for another 30 min to obtain tamarind triazine ether (TTE) (Figure 1).
Figure 1.
Synthesis of tamarind triazine ether (TTE).
- (ii)
- Preparation of TTAPA
Amino propanoic acid (0.1 mol; 9.9 g) was added to the TTE solution, which was adjusted to a pH of 9–10, using sodium hydroxide solution at 25–30 °C. The synthesized TTAPA resin was filtered, washed, and dried at 110 °C, obtaining 110 g of the resin (Figure 2). The dried TTAPA resin was then placed in a 0.05 N HCl solution for 4 h to obtain its hydrogen form (H-TTAPA), and its chemical characteristics, physical properties, and wastewater treatment performance were subsequently assessed.
Figure 2.
Preparation of tamarind triazine amino propanoic acid (TTAPA).
2.3. Characterization
The H-TTAPA resin was characterized using several spectroscopic techniques. The detection of trace metals was carried out using atomic absorption spectroscopy (AAS; Perkin Elmer 2380, Artisan Scientific Product, Champaign, IL, USA). Fourier-transform infrared (FTIR) spectroscopy (Perkin Elmer, Buckinghamshire, UK) was used to record the infrared (IR) spectra of the resin with KBr pellets. The X-ray diffraction pattern of the developed resin was recorded in the range of θ = 10 to 80°, using MiniFlex 600 (Rigaku, The Woodlands, TX, USA). A digital pH meter (Jenway PHM-10, Delhi, India) was used to measure the pH of each solution, while an elemental analyzer (Carlo Erba 1160, Cornaredo (Milano), Italy) was employed to identify the presence of C, H, N, and O in the synthesized H-TTAPA resin. The thermal stability of the resin was measured using a DuPont 951 Thermogravimetric Analyzer (DuPont Instruments, Wilmington, DE, USA), and scanning electron microscopy (SEM; Nova NanoSEM 450, Hillsboro, OR, USA) was used for the morphological characterization.
2.4. Physical Analysis of the Synthesized H-TTAPA Resin
2.4.1. Moisture Content Analysis
The hydrogen form of the resin was placed in a vacuum desiccator at 70 °C for 24 h. It was then weighed after heating until a constant weight was obtained [39].
2.4.2. Bulk Density Analysis
Ten grams of dried H-TTAPA resin was placed in a 25 cm3 graduated cylinder. A consistent volume of the resin was obtained by gently tapping the measuring cylinder against a hard rubber filler [40].
2.4.3. Swelling Analysis
The H-TTAPA resin was placed in a column and lightly tapped. The resin was equilibrated with deionized water for 1 h. The degree of swelling was determined by recording the height of the column, which was significantly influenced by the degree of crosslinking in the resin. The resin was filtered and dried between the folds of filter paper and then weighed. It was kept in a vacuum for 24 h to dry further and then reweighed.
The equation used to determine the equilibrium water content (EWC) was as follows [41]:
2.4.4. Ion-Exchange Capacity of the H-TTAPA Resin
Equivalents per liter (eq/L) of resin and milli-equivalents per dry gram of resin are two common units used to measure the ion-exchange capacity of a resin. In a conical flask, 0.9541 g of the H-TTAPA resin was mixed with 200 mL of a standardized sodium hydroxide (0.05 N) solution and 5 mL of sodium chloride (5%) solution. The solution was left overnight, and then 25 mL of the supernatant was pipetted out of the prepared solution into an Erlenmeyer flask. A burette containing 0.05 N HCl solution was taken. Titration was carried out using phenolphthalein as the indicator until the pink color disappeared.
The ion-exchange capacity was calculated as follows [42]:
where Q (meq/g) is the calculated ion-exchange capacity of the H-TTAPA resin; V1 and V2 are the volumes of NaOH and HCl, respectively; and m is the mass of dry H-TTAPA resin.
2.4.5. Estimation of the Nitrogen Content of H-TTAPA
The nitrogen content of the H-TTAPA resin was measured using the standard Kjeldahl model. In a dried Kjeldahl flask, 0.2 g of vacuum-dried resin was mixed with 10 cm3 of concentrated sulfuric acid and 0.6 g of a catalyst (prepared via the grinding of 5.0 g of metallic selenium, 120.0 g of copper sulfate, and 150 g of potassium sulfate to a homogenous powder). The mixture was heated for 2 h to obtain a clear solution. The solution was then chilled and quantitatively transferred to a distillation instrument with 30 cm3 of water to estimate the content of ammonia. Following this, 12 cm3 of 10 M sodium hydroxide solution was added to a final volume of 75 cm3 in the flask. The evolved ammonia was steam distilled for 5 min into a receiver containing 5 cm3 of 4% boric acid and 5 or 6 drops of a phenolphthalein indicator. The distilled NH3 was titrated with 0.05 M hydrochloric acid (1.0 mL of 0.05 mol HCL is equal to mg of N2) [43].
2.5. Batch Adsorption Experiments
Batch adsorption was used to determine the distribution coefficient and adsorption efficiency of the H-TTAPA resin for metal ions in natural water. H-TTAPA (1 g) was placed in a corked conical glass flask containing 10 mL (corresponding to 1 mg of metal ions) of 1000 ppm metal ion solution, and a known volume of buffer solution was then added (40 mL). For an acidic pH, sodium-acetate–acetic-acid buffer solution was used, and for a basic pH, ammonium hydroxide and ammonium chloride buffer solution were used. The solution was continuously stirred with a magnetic stirrer for 4 h at 25 °C. The two phases were separated using Whatman filter paper no. 42.
AAS was used to determine the concentration of the ions in the solution before and after absorption. Air acetylene was selected as the gas to generate the flame, and the metal ions were measured in the column at various wavelengths along the main resonance line: Cu(II) at 324.7 nm, Fe(II) at 248.3 nm, Zn(II) at 213.9, Pb(II) at 283.2 nm, and Cd(II) at 228.8 nm. A series of standards for the metal ions were prepared to obtain the calibration curves, with which unknown concentrations of metal ions were determined.
The removal efficiency (%) was determined using Equation (3), and the distribution coefficient (Kd) of the H-TTAPA resin was calculated using Equation (4) [44,45,46,47,48]:
where Co (mg/L) is the initial concentration, Ce (mg/L) is the equilibrium concentration, and V (L) is the volume of the dye solution.
2.6. Recovery of Metal Ions from a Column Using a Suitable Eluent
Column experiments were performed to identify the recovery efficiency (%) of metal ions from H-TTAPA resin. First, the column was washed with demineralized water, which was subsequently filled with resin. To quantify the elution of the metal ions, the quantity and strength of hydrochloric acid were adjusted when passing the eluent through the column. Fe(II) was eluted with 2 N HCl (60 mL), Cu(II) was eluted with 1.5 N HCl (55 mL), Zn(II) was eluted with 1.0 N HCl (50 mL), Pb(II) was eluted with 0.5 N HCl (45 mL), and Cd(II) was eluted with 0.1 N HCl (40 mL). After the resin was thoroughly washed with demineralized water, it was dried for 24 h in a hot oven at 70 °C. AAS was used to determine the number of metal ions in the filtrate [49]. The recovery of metal ions was calculated using Equation (5).
To investigate the reusability of recycled resin, the regenerated resin was reutilized for five adsorption–desorption cycles.
3. Results and Discussion
3.1. Physical Analysis of the Synthesized H-TTAPA Resin
The results for the quantitative analysis of the moisture content, swelling, bulk density, ion-exchange capacity, and nitrogen content of the synthesized H-TTAPA resin are summarized in Table 1.
Table 1.
Physical properties of the prepared H-TTAPA resin.
3.2. Characterization
3.2.1. FTIR Analysis
The FTIR spectrum in the range of 400–4000 cm−1 for the H-TTAPA resin is presented in Figure 3. The band observed at 1625 cm−1 was matched to the of ʋ(C=O) stretching vibrations of carboxylic acid; the peak at 2922 cm−1 was ascribed to C-H stretching vibrations; the peak at 3481 cm−1 was matched to ʋ(N-H) stretching vibrations; the broad peak at 3280 cm−1 was matched to ʋ(O-H) bonds; the peak at 1043 cm−1 was matched to the C-O stretching frequency; the medium peak at 1405 cm−1 was attributed to O-H bending vibrations; and the peak at 1312 cm−1 was interpreted as C-H bending vibrations. These FTIR results were in agreement with those of the previous research [48,49,50,51,52,53]. These peaks suggested that the presence of functional groups in the H-TTAPA resin may facilitate the adsorption of metal ions in water onto the surface of the resin.
Figure 3.
FTIR analysis of the H-TTAPA resin.
3.2.2. Thermogravimetric Analysis
The results for the thermogravimetric analysis of the prepared H-TTAPA resin are shown in Figure 4. The finely powdered resin was vacuum-dried in a desiccator under a static-air atmosphere. The sample was heated at a rate of 20 °C per min until it was completely decomposed. TTAPA resin was stable at temperatures up to 425 °C, above which it rapidly decomposed.
Figure 4.
Thermogravimetric analysis curve for the H-TTAPA resin.
3.2.3. X-ray Diffraction Analysis
The developed resin was further characterized with the XRD pattern, as shown in Figure 5. The characteristic broad peak for carbonaceous resin was observed around 2θ values from 20 to 30°, suggesting the homogeneous amorphous nature of the developed resin [53].
Figure 5.
XRD of TTAPA resin.
3.2.4. Surface Morphological Analysis
The morphology of the resin was analyzed using SEM images (Figure 6). Previously reported epoxy resins were also analyzed with SEM images. For example, the SEM images of oligosalicyaldehyde-based epoxy resin suggested the shape of a coral reef [54]. The morphology of the modified resins was also characterized by SEM images. For example, the SEM image of rubber-modified epoxy suggested a two-phase microstructure consisting of relatively small rubber particles dispersed in the epoxy matrix [55].

Figure 6.
SEM images of the H-TTAPA resin at different magnifications.
For the present study, the morphology of the synthesized resin was smooth and rough, with agglomeration visible at different magnifications (500 nm and 1 µm). In addition, the elemental analysis results presented in Table 2 for the synthesized H-TTAPA resin supported the structure shown in Figure 2, revealing the presence of C, O, N, and H.
Table 2.
Elemental analysis results for the H-TTAPA resin.
3.3. Metal Ion Removal from Natural Water
A batch experiment was performed to evaluate the adsorption efficiency of the H-TTAPA resin. Under optimal conditions, 1 g of in H-TTAPA was placed in a conical flask containing 10 mL (corresponding to 1 mg metal ions) of 1000 ppm metal ion solution (Fe(II), Cu(II), Pb(II), Cd(II), and Zn(II)) and stirred using a magnetic stirrer, at 27 °C and a pH of 7, for 4 h. The percentage extraction of the metal ions from the effluent using the H-TTAPA resin is presented in Figure 7a. The removal rates for Fe(II), Zn(II), Cu(II), Pb(II), and Cd(II) were 98.11%, 95.06%, 96.44%, 93.19%, and 91.17%, respectively.
Figure 7.
Results for the (a) adsorption analysis, (b) effect of the contact time, and (c) effect of pH (experimental conditions: adsorbent dose = 1 g; contact time = 4 h; pH = 7; temperature = 25 °C; and agitation rate = 150 rpm).
3.4. Effect of Contact Time on the Removal of Metal Ions
The equilibrium time should be considered for cost-effective wastewater treatment. Figure 7b shows that an increase in the contact time before attaining equilibrium increases the adsorption efficiency (%) for metal ions. By maintaining a constant stirring speed (150 rpm), pH (7), and temperature (27 °C), it was observed that an increase in the contract time from 30 min to 240 min increased the rate of adsorption of the metal ions to the H-TTAPA resin. The presence of large functional groups in the H-TTAPA resin significantly increases the binding capacity, thus helping to accelerate the process [56].
3.5. Effect of pH on Adsorption and the Distribution Coefficient
Complexation is a pH-dependent factor; thus, the pH level plays a significant role in the adsorption of metal ions from industrial effluent. It influences the degree to which the adsorbent dissociates during the reaction and the accumulation of ions on the functional groups. Accordingly, the metal ions’ adsorption on the resin was investigated for a pH range of 3.0–9.0. It was observed that, with an increase in the pH, the distribution of metal ions on the H-TTAPA resin increased to a maximum value and then decreased (Figure 7c). It was previously reported that a very low or a very high pH is not suitable for the adsorption and complexation of metal ions on H-TTAPA resin [54]. This is because hydrogen ions compete for the same binding sites and because the pH of the solution affects the chemical specifications of the metal ions. After the optimal pH is reached, a decrease in sorption occurs because of the formation of insoluble metal hydroxyl complexes. At a higher pH, the precipitation of insoluble metal ions hinders adsorption. Therefore, identifying and maintaining the optimal pH is necessary to ensure the maximum adsorption of metal ions. The H-TTAPA resin exhibited maximum adsorption at pH 5 for Fe(II), 6 for Pb(II) and Cu(II), and 7 for Cd(II) and Zn(II).
The results for the distribution coefficient (Kd) from the batch experiments at various pH levels are presented in Figure 7c. A large value for Kd indicates the retention of metal ions by the resin through adsorption, while a smaller value indicates that a greater fraction of metal ions remain in the solution. Kd increased with a decrease in the acidity, with the optimal results obtained at pH 5–7. When the pH rises to a range at which H+ ions are exchanged with the metal ions, the maximum exchange capacity is reached when all of the ion-exchange sites are involved, and stable complexes form between the functional groups and metal cations.
3.6. Recovery of Metal Ions from a Column Using a Suitable Eluent
A column experiment was conducted to determine the percentage recovery of metal ions, using the H-TTAPA resin (Figure 8a). Different concentrations of HCl were used to eluate the metal ions. The volume of eluent used varied between the metal ion species. The recovery of the metal ions ranged from 96.12% to 99.03%, which suggests that the H-TTAPA resin was very effective in removing metal ions from the solution.
Figure 8.
Results for (a) the column separation of metal ions using the H-TTAPA resin and (b) the reusability of regenerated H-TTAPA.
3.7. Resin Durability and Reproducibility
A cycling experiment was conducted to verify the durability and reproducibility of the H-TTAPA resin. In particular, after the metal ions were adsorbed onto the resin, they were desorbed using mineral acids of different strengths. Figure 8b shows that, even after five adsorption–desorption cycles, there was only a very slight change in the exchange capacity of the H-TTAPA resin with each of the metal ions.
3.8. Comparative Analysis
The ion-exchange process has advantages, such as lower sludge production and high selectivity and specificity as compared to other process. As discussed above, various polymeric ion-exchangers have been used for metal removal from water; however, the motive of this study was to construct a better ion exchanger at a low cost. Thus, we developed a natural-resource-based ion exchanger. Compared to many other discussed ion exchangers, it can be said that the present ion exchanger is sustainable, cheap, and environmentally benign. As a current ion-exchanger was used for the removal of metal ions from a natural water resource, its comparative study is a bit difficult due to the competitive ion effect. Apart from this, due to the different operation conditions for each study, it is very difficult to compare one ion exchanger with another. As far as adsorption efficiency is concerned, we tried to perform a comparative study in this study. The present ion-exchanger displayed comparable removal efficiency with other reported ion exchangers. It can be seen in the Table 3 that the current ion exchanger has better removal efficiency compared to the previous reported ion-exchangers. The removal efficiency of TKP, a precursor of the TTAPA resin, was also examined, and it was observed that the developed resin showed enhanced efficiency in comparison to TKP (Table 3). Thus, it can be said that the present ion-exchanger can be the better option for wastewater treatment.
Table 3.
Comparative analysis of TTAPA with other ion exchangers.
4. Conclusions
Due to its relatively low cost, high ion-exchange potential, and environmentally benign structure, TTAPA resin represents a promising adsorbent for the elimination of heavy metal ions from industrial effluent. Fe, Cu, Zn, Pb, and Cd heavy metals were able to be effectively removed from industrial effluent. The prepared H-TTAPA resin was found to show a characteristic effect, with variations in the pH of the solution leading to variations in the adsorption. TTAPA acts as a flocculant and metal ion exchanger that helps in the sequestration of toxic and hazardous metal ions from industrial effluent. The adsorption strength of the prepared H-TTAPA resin for the tested metal ions was found to follow the order Fe(II) > Cu(II) > Zn(II) > Pb(II) > Cd(II). Other methods are not feasible due to their technical complexity and expense but, when the concentration of pollutants is low, the proposed process is very efficient. It was thus confirmed that TTAPA resin can be successfully used for the effective removal of various metal ions from industrial wastewater.
Author Contributions
Conceptualization, methodology, formal analysis, investigation, and writing—original draft preparation, K.M., M.A.A., S.A.A.-H. and S.T.; software, S.T. and S.P.; validation, S.T. and M.B.R.; resources, writing—review and editing, supervision, and project administration, S.O. All authors have read and agreed to the published version of the manuscript.
Funding
This work was supported by Korea Environment Industry & Technology Institute (KEITI) through (Prospective green technology innovation project, funded by Korea Ministry of Environment (MOE) (2022003160004).
Data Availability Statement
All the data and materials related to the manuscript are published with the paper and available from the corresponding author (S.T. and M.B.R.) upon request.
Conflicts of Interest
The authors declare no conflict of interest.
References
- Ahmed, R.; Siddiqui, S.I.; Al Alwan, B.; Almesfer, M.; Khanna, M.K.; Fatima, B.; Mishra, R.; Ansari, M.A.; Oh, S. Biodegradable acid-based nanocomposite-CuO-ZnO-Ni(OH)2/PA: A novel material for water cleansing. J. Clean. Prod. 2022, 341, 130860. [Google Scholar] [CrossRef]
- Siddiqui, S.I.; Chaudhry, S.A. Arsenic: Toxic Effects and Remediation. In Advanced Materials for Wastewater Treatment; Islam, S.U., Ed.; John Wiley & Sons, Inc.: Hoboken, NJ, USA, 2017. [Google Scholar] [CrossRef]
- Siddiqui, S.I.; Ravi, R.; Rathi, G.; Tara, N.; ul-Islam, S.; Chaudhry, S.A. Decolorization of textile wastewater using composite materials. In Nano Materials in the Wet Processing of Textiles; Islam, S.U., Butola, B.S., Eds.; John Wiley & Sons, Inc.: Hoboken, NJ, USA, 2018; pp. 187–218. [Google Scholar]
- Siddiqui, S.I.; Chaudhry, S.A. Iron oxide and its modified forms as an adsorbent for arsenic removal: A comprehensive recent advancement. Process Saf. Environ. Protect. 2017, 111, 592–626. [Google Scholar]
- Chaudhry, S.A.; Zaidi, Z.; Siddiqui, S.I. Isotherm, kinetic and thermodynamics of arsenic adsorption onto Iron-Zirconium Binary Oxide-Coated Sand (IZBOCS): Modelling and process optimization. J. Mol. Liq. 2017, 229, 230–240. [Google Scholar]
- Choudhry, A.; Sharma, A.; Siddiqui, S.I.; Ahamad, I.; Sajid, M.; Khan, T.A.; Chaudhry, S.A. Origanum vulgare manganese ferrite nanocomposite: An advanced multifunctional hybrid material for dye remediation. Environ. Res. 2023, 220, 115193. [Google Scholar] [CrossRef] [PubMed]
- Siddiqui, S.I.; Ravi, R.; Chaudhry, S.A. Removal of arsenic from water using graphene oxide nano-hybrids. In A New Generation Material Graphene: Applications in Water Technology; Springer: Berlin/Heidelberg, Germany, 2019; pp. 221–237. [Google Scholar]
- Siddiqui, S.I.; Naushad, M.; Chaudhry, S.A. Promising prospects of nanomaterials for arsenic water remediation: A comprehensive review. Process Saf. Environ. Protect. 2019, 126, 60–97. [Google Scholar] [CrossRef]
- Siddiqui, S.I.; Chaudhry, S.A. A review on graphene oxide and its composites preparation and their use for the removal of As3+ and As5+ from water under the effect of various parameters: Application of isotherm, kinetic and thermodynamics. Process Saf. Environ. Protect. 2018, 119, 138–163. [Google Scholar] [CrossRef]
- Babuji, P.; Thirumalaisamy, S.; Duraisamy, K.; Periyasamy, G. Human Health Risks due to Exposure to Water Pollution: A Review. Water 2023, 15, 2532. [Google Scholar] [CrossRef]
- Alharbi, T.; Al-Kahtany, K.; Nour, H.E.; Giacobbe, S.; El-Sorogy, A.S. Contamination and health risk assessment of arsenic and chromium in coastal sediments of Al-Khobar area, Arabian Gulf, Saudi Arabia. Mar. Pollut. Bull. 2022, 185, 114255. [Google Scholar] [CrossRef]
- Giri, S.; Singh, A.K. Human health risk assessment via drinking water pathway due to metal contamination in the groundwater of Subarnarekha River Basin, India. Environ. Monit. Assess. 2015, 187, 63. [Google Scholar] [CrossRef] [PubMed]
- Barakat, M.A. New trends in removing heavy metals from industrial wastewater. Arab. J. Chem. 2011, 4, 361–377. [Google Scholar]
- Ullah, S.; Ohsawa, O.; Ishaq, T.; Hashmi, M.; Sarwar, M.N.; Zhu, C.; Ge, Y.; Jang, Y.; Kim, I.S. Fabrication of Novel Hemp Charcoal Nanofiber Membrane for Effectual Adsorption of Heavy Metal Ions from Wastewater. Sustainability 2023, 15, 9365. [Google Scholar] [CrossRef]
- Tejada-Tovar, C.; Villabona-Ortíz, Á.; Ortega-Toro, R. Removal of Metals and Dyes in Water Using Low-Cost Agro-Industrial Waste Materials. Appl. Sci. 2023, 13, 8481. [Google Scholar] [CrossRef]
- Kumari, S.; Agrawal, N.K.; Agarwal, A.; Kumar, A.; Malik, N.; Goyal, D.; Rajput, V.D.; Minkina, T.; Sharma, P.; Garg, M.C. A Prominent Streptomyces sp. Biomass-Based Biosorption of Zinc (II) and Lead (II) from Aqueous Solutions: Isotherm and Kinetic. Separations 2023, 10, 393. [Google Scholar] [CrossRef]
- Sherugar, P.; Padaki, M.; Naik, N.S.; George, S.D.; Murthy, D.H.K. Biomass-derived versatile activated carbon removes both heavy metals and dye molecules from wastewater with near-unity efficiency: Mechanism and kinetics. Chemosphere 2022, 287, 132085. [Google Scholar] [CrossRef] [PubMed]
- Khoo, P.S.; Ilyas, R.A.; Uda, M.N.A.; Hassan, S.A.; Nordin, A.H.; Norfarhana, A.S.; Ab Hamid, N.H.; Rani, M.S.A.; Abral, H.; Norrrahim, M.N.F.; et al. Starch-Based Polymer Materials as Advanced Adsorbents for Sustainable Water Treatment: Current Status, Challenges, and Future Perspectives. Polymers 2023, 15, 3114. [Google Scholar] [CrossRef]
- Ahamad, T.; Naushad, M.; Mousa, R.H.; Alshehri, S.M. Fabrication of Starch-Salicylaldehyde Based Polymer Nanocomposite (PNC) for the Removal of Pollutants from Contaminated Water. Int. J. Biol. Macromol. 2020, 165, 2731–2738. [Google Scholar] [CrossRef]
- Bai, W.; Fan, L.; Zhou, Y.; Zhang, Y.; Shi, J.; Lv, G.; Wu, Y.; Liu, Q.; Song, J. Removal of Cd2+ Ions from Aqueous Solution Using Cassava Starch–based Superabsorbent Polymers. J. Appl. Polym. Sci. 2017, 134, 44758. [Google Scholar] [CrossRef]
- Yadav, V.K.; Amari, A.; Gacem, A.; Elboughdiri, N.; Eltayeb, L.B.; Fulekar, M.H. Treatment of Fly-Ash-Contaminated Wastewater Loaded with Heavy Metals by Using Fly-Ash-Synthesized Iron Oxide Nanoparticles. Water 2023, 15, 908. [Google Scholar] [CrossRef]
- Ankrah, A.F.; Tokay, B.; Snape, C.E. Heavy Metal Removal from Aqueous Solutions Using Fly-Ash Derived Zeolite NaP1. Int. J. Environ. Res. 2022, 16, 17. [Google Scholar] [CrossRef]
- Sun, Q.; Wang, L.; Li, Y.; Li, L.; Li, S.; Zhu, G. Highly Efficient Removal of Mercury Ions from Aqueous Solutions by Thiol-Functionalized Graphene Oxide. Water 2023, 15, 2529. [Google Scholar] [CrossRef]
- Tamizharasan, S.; Muralidharan, R.; Abirami, N.; Leelavathi, H.; Siva, A.; Kumarasamy, A.; Arulmozhi, R. Biomass derived carbon blended ion-exchange resins for the removal of toxic metal ions from waste water. Optik 2023, 283, 170930. [Google Scholar] [CrossRef]
- Paudyal, H.; Adhikari, S.; Ghimire, K.N. Synthesis, characterization and cation exchange performance of chemically modified pineapple waste biomass for the removal of Fe(II) from water. Res. Chem. 2022, 4, 100608. [Google Scholar] [CrossRef]
- Wawrzkiewicz, M.; Wołowicz, A.; Hubicki, Z. Strongly Basic Anion Exchange Resin Based on a Cross-Linked Polyacrylate for Simultaneous C.I. Acid Green 16, Zn(II), Cu(II), Ni(II) and Phenol Removal. Molecules 2022, 27, 2096. [Google Scholar] [CrossRef]
- Wołowicz, A.; Hubicki, Z. Comparison of ion-exchange resins for efficient cobalt(II) removal from acidic streams. Chem. Eng. Commun. 2018, 205, 1207–1225. [Google Scholar] [CrossRef]
- Dąbrowski, A.; Hubicki, Z.; Podkościelny, P.; Robens, E. Selective removal of the heavy metal ions from waters and industrial wastewaters by ion-exchange method. Chemosphere 2004, 56, 91–106. [Google Scholar] [CrossRef] [PubMed]
- Lin, Z.; Li, F.; Liu, X.; Su, J. Preparation of corn starch/acrylic acid/itaconic acid ion exchange hydrogel and its adsorption properties for copper and lead ions in wastewater. Colloids Surf. A Physicochem. Eng. Asp. 2023, 671, 131668. [Google Scholar] [CrossRef]
- Wong, C.W.; Barford, J.P.; Chen, G.; McKay, G. Kinetics and equilibrium studies for the removal of cadmium ions by ion exchange resin. J. Environ. Chem. Eng. 2014, 2, 698–707. [Google Scholar] [CrossRef]
- Elkady, M.F.; Abu-Saied, M.A.; Rahman, A.A.; Soliman, E.A.; Elzatahry, A.A.; Yossef, M.E.; Eldin, M.M. Nano-sulphonated poly (glycidyl methacrylate) cations exchanger for cadmium ions removal: Effects of operating parameters. Desalination 2011, 279, 152–162. [Google Scholar] [CrossRef]
- Vinco, J.H.; Junior, A.B.B.; Duarte, H.A.; Espinosa, D.C.R.; Tenório, J.A.S. Kinetic modeling of adsorption of vanadium and iron from acid solution through ion exchange resins. Trans. Nonferrous Met. Soc. China 2022, 32, 2438–2450. [Google Scholar] [CrossRef]
- Hart, G.; Fuller, D.R.; Brown, J.A.; Dale, S. Plant, Sulfonated poly(styrene-co-divinylbenzene) ion-exchange resins: Acidities and catalytic activities in aqueous reactions. J. Mol. Catal. A Chem. 2002, 182–183, 439–445. [Google Scholar] [CrossRef]
- Hamed, M.G.; El-khalafawy, A.; Youssef, M.A.; Borai, E.H. Competitive sorption behavior of mono, di, and trivalent ions in highly acidic waste by polymeric resin based on crotonic acid prepared by gamma radiation. Radiat. Phys. Chem. 2023, 212, 111159. [Google Scholar] [CrossRef]
- Liu, Z.; Solliec, M.; Papineau, I.; Lompe, K.M.; Mohseni, M.; Bérubé, P.R.; Sauvé, S.; Barbeau, B. Elucidating the removal of organic micropollutants on biological ion exchange resins. Sci. Total Environ. 2022, 808, 152137. [Google Scholar] [CrossRef] [PubMed]
- How to Transform a Popular Fruit into a Plastic, Nature Portfolio, Nature Research Custom Media. Available online: https://www.nature.com/articles/d42473-023-00019-6 (accessed on 25 July 2023).
- Hoque, M.; Sarkar, P.; Ahmed, J. Preparation and characterization of tamarind kernel powder/ZnO nanoparticle-based food packaging films. Indus. Crops Prod. 2022, 178, 114670. [Google Scholar] [CrossRef]
- Khanna, M.N.; Sarin, R.C. J.P.S. standardization of tamarind seed polysaccharide for pharmaceutical use. Indian Drugs 1987, 24, 268–269. [Google Scholar]
- Lee, H.; Neville, K. Handbook of Epoxy Resins; McGraw-Hill: New York, NY, USA, 1990. [Google Scholar]
- Blake, G.R. Bulk density. In Methods of Soil Analysis; Black, C.A., Ed.; American Society of Agronomy: Madison, WI, USA, 1965; Volume 1, pp. 374–390. [Google Scholar]
- Mohan, M.Y.; Sudhakar, K.; Keshava Murthy, P.S.; Mohan Raju, K. Swelling and diffusion properties of poly (acrylamide-co-maleic acid) hydrogels: A study with different crosslinking agents. Int. J. Polym. Mater. 2006, 55, 513. [Google Scholar] [CrossRef]
- Vogel, A. Textbook of Qualitative Chemical Analysis, 5th ed.; Longman Group: London, UK, 1989. [Google Scholar]
- Sáez-Plaza, P.; Navas, M.J.; Wybraniec, S.; Michałowski, T.; Asuero, A.G. An overview of the Kjeldahl method of nitrogen determination. Part II. Sample preparation, working scale, instrumental finish, and quality control. Crit. Rev. Anal. Chem. 2013, 43, 224–272. [Google Scholar] [CrossRef]
- Shehnaz; Prasher, I.B.; Ahmad, N.; Ahmed, M.; Raghuwanshi, S.; Kumar, V.; Siddiqui, S.I.; Oh, S. Live Biomass of Rigidoporus vinctus: A Sustainable Method for Decoloration and Detoxification of Dyes in Water. Microorganisms 2023, 11, 1435. [Google Scholar] [CrossRef]
- Fatima, B.; Alwan, B.A.; Siddiqui, S.I.; Ahmad, R.; Almesfer, M.; Khanna, M.K.; Mishra, R.; Ravi, R.; Oh, S. Facile Synthesis of Cu-Zn Binary Oxide Coupled Cadmium Tungstate (Cu-ZnBO-Cp-CT) with Enhanced Performance of Dye Adsorption. Water 2021, 13, 3287. [Google Scholar] [CrossRef]
- Narasimharao, K.; Al-Thabaiti, S.; Rajor, H.K.; Mokhtar, M.; Alsheshri, A.; Alfaifi, S.Y.; Siddiqui, S.I.; Abdulla, N.K. Fe3O4@ date seeds powder: A sustainable nanocomposite material for wastewater treatment. J. Mater. Res. Technol. 2022, 18, 3581–3597. [Google Scholar] [CrossRef]
- Fatima, B.; Siddiqui, S.; Ahmed, R.; Chaudhry, S.A. Preparation of functionalized CuO nanoparticles using Brassica rapa leave extract for water purification. Desalin. Water Treat. 2019, 164, 192–205. [Google Scholar] [CrossRef]
- Abdulla, N.K.; Siddiqui, S.I.; Fatima, B.; Sultana, R.; Tara, N.; Hashmi, A.A.; Ahmad, R.; Mohsin, M.; Nirala, R.K.; Linh, N.T.; et al. Silver based hybrid nanocomposite: A novel antibacterial material for water cleansing. J. Clean. Prod. 2021, 284, 124746. [Google Scholar] [CrossRef]
- Dev, K.; Rao, G.N. Synthesis and analytical properties of a chelating resin functionalized with bis-(N, N′-salicylidene) 1,3-propanediamine ligands. Talanta 1996, 43, 3451–3457. [Google Scholar] [CrossRef] [PubMed]
- Singh, A.V.; Kumawat, I.K. Preparation and characterisation of tamarind 4-hydroxybenzoic acid (THBA) resin and its use in extraction of heavy metal ions from industrial wastewater. Water 2012, 38, 529–536. [Google Scholar] [CrossRef][Green Version]
- Tara, N.; Siddiqui, S.I.; Nirala, R.K.; Abdulla, N.K.; Chaudhry, S.A. Synthesis of antibacterial, antioxidant and magnetic Nigella sativa-graphene oxide based nanocomposite BC-GO@Fe3O4 for water treatment. Colloid Interface Sci. Commun. 2020, 37, 100281. [Google Scholar] [CrossRef]
- Tara, N.; Siddiqui, S.I.; Bach, Q.V.; Chaudhry, S.A. Reduce graphene oxide-manganese oxide-black cumin based hybrid composite (rGO-MnO2/BC): A novel material for water remediation. Mater. Today Commun. 2020, 25, 101560. [Google Scholar] [CrossRef]
- Rathi, G.; Siddiqui, S.I.; Pham, Q. Nigella sativa seeds based antibacterial composites: A sustainable technology for water cleansing—A review. Sustain. Chem. Pharm. 2020, 18, 100332. [Google Scholar] [CrossRef]
- Sahmetlioglu, E.; Mart, H.; Yuruk, H.; Sürme, Y. Synthesis and characterization of oligosalicylaldehyde-based epoxy resins. Chem. Zvesti. 2006, 60, 65–68. [Google Scholar] [CrossRef]
- Kargarzadeh, H.; Ahmad, I.; Abdullah, I. Mechanical Properties of Epoxy–Rubber Blends. In Handbook of Epoxy Blends; Parameswaranpillai, J., Hameed, N., Pionteck, J., Woo, E., Eds.; Springer: Cham, Switzerland, 2015. [Google Scholar] [CrossRef]
- Bargujar, S.; Gambhir, G.; Raigar, M.B.; Hooda, S.; Arya, D.K.; Bhatia, M. A new polysaccharide-based ion-exchange resin for industrial wastewater treatment. Polimery 2022, 67, 212–219. [Google Scholar] [CrossRef]
- Badawy, N.A.; El-Bayaa, A.A.; Abdel-Aal, A.Y.; Garamon, S.E. Chromatographic separations and recovery of lead ions from a synthetic binary mixture of some heavy metal using cation exchange resin. J. Hazard. Mater. 2009, 166, 1266–1271. [Google Scholar] [CrossRef]
- Zewail, T.M.; Yousef, N.S. Kinetic study of heavy metal ions removal by ion exchange in batch conical air spouted bed. Alex. Eng. J. 2015, 54, 83–90. [Google Scholar] [CrossRef]
Disclaimer/Publisher’s Note: The statements, opinions and data contained in all publications are solely those of the individual author(s) and contributor(s) and not of MDPI and/or the editor(s). MDPI and/or the editor(s) disclaim responsibility for any injury to people or property resulting from any ideas, methods, instructions or products referred to in the content. |
© 2023 by the authors. Licensee MDPI, Basel, Switzerland. This article is an open access article distributed under the terms and conditions of the Creative Commons Attribution (CC BY) license (https://creativecommons.org/licenses/by/4.0/).








