Surface Water–Groundwater Transformation Patterns in the Jianghan Plain after the Impoundment of the Three Gorges Project and the Opening of the Yangtze-to-Hanjiang Water Transfer Project
Abstract
:1. Introduction
2. Materials and Methods
2.1. Study Area Overview
2.2. Data Source and Time Period Division
2.3. Research Methodology
2.3.1. The Seasonal Trend Decomposition Using LOESS (STL)
2.3.2. The Series of Average Groundwater Levels in the Studied Area
2.3.3. Partial Correlation Analysis
2.3.4. Cross-Correlation Function
2.3.5. The Average Water Quantity Exchange Per Unit Width of Surface Water and Groundwater
3. Results and Analysis
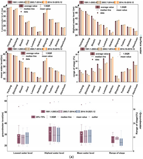
3.1. Temporal and Spatial Variation in Surface and Ground Waters
3.2. The Relationship between Surface Water Level and Groundwater Water Level Changes
3.3. Volume Changes in Water Transferred between Surface Water and Groundwater
4. Discussion
5. Conclusions
Author Contributions
Funding
Data Availability Statement
Acknowledgments
Conflicts of Interest
References
- Jasechko, S.; Perrone, D. Global groundwater wells at risk of running dry. Science 2021, 372, 418–421. [Google Scholar] [CrossRef]
- Scanlon, B.R.; Fakhreddine, S.; Rateb, A.; de Graaf, I.; Famiglietti, J.; Gleeson, T.; Grafton, R.Q.; Jobbagy, E.; Kolusu, S.R.; Konikow, L.F.; et al. Global water resources and the role of groundwater in a resilient water future. Nat. Rev. Earth Environ. 2023, 4, 87–101. [Google Scholar] [CrossRef]
- Duan, G.; Gong, H.; Chen, B.; Li, X.; Pan, X.; Shi, M.; Zhang, H. Spatiotemporal heterogeneity of land subsidence in Beijing. Sci. Rep. 2022, 12, 15120. [Google Scholar] [CrossRef]
- Zheng, C.; Guo, Z. Plans to protect China’s depleted groundwater. Science 2022, 375, 827. [Google Scholar] [CrossRef]
- Zhou, Y.; Liu, Y.; Wu, W. Strengthen China’s flood control. Nature 2016, 536, 396. [Google Scholar] [CrossRef]
- Groundwater Management Regulations. Available online: https://www.gov.cn/zhengce/content/2021-11/09/content_5649924.htm (accessed on 14 June 2023).
- Guidance and Implementation Plan for the Implementation of Major National Water Network Projects. Available online: https://www.gov.cn/xinwen/2021-12/31/content_5665855.htm (accessed on 14 June 2023).
- Long, D.; Yang, W.; Scanlon, B.R.; Zhao, J.; Liu, D.; Burek, P.; Pan, Y.; You, L.; Wada, Y. South-to-North Water Diversion stabilizing Beijing’s groundwater levels. Nat. Commun. 2020, 11, 3665. [Google Scholar] [CrossRef]
- Belkhiri, L.; Mouni, L. Geochemical Characterization of Surface Water and Groundwater in Soummam Basin, Algeria. Nat. Resour. Res. 2014, 23, 393–407. [Google Scholar] [CrossRef]
- Belkhiri, L.; Mouni, L. Geochemical modeling of groundwater in the El Eulma area, Algeria. Desalination Water Treat. 2013, 51, 1468–1476. [Google Scholar] [CrossRef]
- Cai, X.; Feng, L.; Hou, X.; Chen, X. Remote Sensing of the Water Storage Dynamics of Large Lakes and Reservoirs in the Yangtze River Basin from 2000 to 2014. Sci. Rep. 2016, 6, 36405. [Google Scholar] [CrossRef] [PubMed]
- Liu, H.; Yin, J.; Feng, L. The Dynamic Changes in the Storage of the Danjiangkou Reservoir and the Influence of the South-North Water Transfer Project. Sci. Rep. 2018, 8, 8710. [Google Scholar] [CrossRef] [PubMed]
- The Yangtze-to-Hanjiang Water Transfer Project_Baidu Encyclopedia. Available online: https://baike.baidu.com/item/%E5%BC%95%E6%B1%9F%E6%B5%8E%E6%B1%89%E5%B7%A5%E7%A8%8B (accessed on 14 June 2023).
- Yang, X.; Zhou, X.; Shang, G.; Zhang, A. An evaluation on farmland ecological service in Jianghan Plain, China—From farmers’ heterogeneous preference perspective. Ecol. Indic. 2022, 136, 108665. [Google Scholar] [CrossRef]
- Huang, S.; Chen, L.; Li, J.; Xu, J.; Xie, W.; Zhang, C. The effects of colloidal Fe and Mn on P distribution in groundwater system of Jianghan Plain, China. Sci. Total Environ. 2023, 854, 158739. [Google Scholar] [CrossRef] [PubMed]
- Liu, J.; Gu, W.; Liu, Y.; Zhang, C.; Li, W.; Shao, D. Dynamic characteristics of net anthropogenic phosphorus input and legacy phosphorus reserves under high human activity—A case study in the Jianghan Plain. Sci. Total Environ. 2022, 836, 155287. [Google Scholar] [CrossRef] [PubMed]
- Sun, Y.; Lan, J.; Chen, X.; Ye, H.; Du, D.; Li, J.; Hou, H. High arsenic levels in sediments, Jianghan Plain, central China: Vertical distribution and characteristics of arsenic species, dissolved organic matter, and microbial community. J. Geochem. Explor. 2021, 228, 106822. [Google Scholar] [CrossRef]
- Yang, Y.; Deng, Y.; Xie, X.; Gan, Y.; Li, J. Iron isotope evidence for arsenic mobilization in shallow multi-level alluvial aquifers of Jianghan Plain, central China. Ecotoxicol. Environ. Saf. 2020, 206, 111120. [Google Scholar] [CrossRef]
- Zhang, J.; Li, Y.; Liu, C.; Li, F.; Zhu, L.; Qiu, Z.; Xiao, M.; Yang, Z.; Cai, Y. Concentration Levels, Biological Enrichment Capacities and Potential Health Risk Assessment of Trace Elements in Eichhornia crassipes from Honghu Lake, China. Sci. Rep. 2019, 9, 2431. [Google Scholar] [CrossRef] [PubMed]
- Liu, T.; Hu, C.; Wang, Q.; Li, J.; Huang, K.; Chen, Z.; Shi, T. Conversion relationship of rainfall-soil moisture-groundwater in Quaternary thick cohesive soil in Jianghan Plain, Hubei Province, China. China Geol. 2020, 3, 462–472. [Google Scholar] [CrossRef]
- Zhang, J.; Liang, X.; Jin, M.; Li, J.; Shen, S.; Wang, L.; Ma, T. Evolution of the groundwater flow system driven by the sedimentary environment since the Last Glacial Maximum in the central Yangtze River Basin. J. Hydrol. (Amst.) 2022, 610, 127997. [Google Scholar] [CrossRef]
- Deng, S.S.; Xia, J.Q.; Zhou, M.R.; Zhou, Y.Y.; Liu, X.; Li, Z.W. Riparian Groundwater Level Variation and Its Impacts on Bank Erosion in the Middle Yangtze River. Water Resour. Res. 2022, 58, e2022WR032354. [Google Scholar] [CrossRef]
- Hu, S.; Xia, J.; Wu, X.; Wang, Y.; Xia, F. Water Environment Variation in the Three Gorges Tributary and Its Influencing Factors on Different Scales. Water 2018, 10, 1831. [Google Scholar] [CrossRef]
- Hu, Y.; Li, D.F.; Deng, J.Y.; Yue, Y.; Zhou, J.X.; Chai, Y.F.; Li, Y.T. Mechanisms Controlling Water-Level Variations in the Middle Yangtze River Following the Operation of the Three Gorges Dam. Water Resour. Res. 2022, 58, e2022WR032338. [Google Scholar] [CrossRef]
- Longzhang, F.; Dongguo, S. Application of Long Short-Term Memory (LSTM) on the Prediction of Rainfall-Runoff in Karst Area. Front. Phys. 2022, 9, 790687. [Google Scholar] [CrossRef]
- Wang, X.J.; Xia, J.Q.; Zhou, M.R.; Deng, S.S.; Li, Q.J. Assessment of the joint impact of rainfall and river water level on urban flooding in Wuhan City, China. J. Hydrol. (Amst.) 2022, 613, 128419. [Google Scholar] [CrossRef]
- Yu, Z.; Gu, H.; Wang, J.; Xia, J.; Lu, B. Effect of projected climate change on the hydrological regime of the Yangtze River Basin, China. Stoch. Environ. Res. Risk Assess. 2018, 32, 1–16. [Google Scholar] [CrossRef]
- Gu, W.Q.; Shao, D.G.; Tan, X.Z.; Shu, C.; Wu, Z. Simulation and Optimization of Multi-Reservoir Operation in Inter-Basin Water Transfer System. Water Resour. Manag. 2017, 31, 3401–3412. [Google Scholar] [CrossRef]
- Shaokun, H.; Shenglian, G.; Pan, L.; Kebing, C.; Feng, X.; Jianting, Z. Joint and optimal impoundment oepration of Jinsha River’s cascade reservoirs and Three Gorges Reservoir. J. Hydroelectr. Eng. 2019, 38, 27–36. [Google Scholar] [CrossRef]
- Shen, Y.; Liu, D.; Jiang, L.; Nielsen, K.; Yin, J.; Liu, J.; Bauer-Gottwein, P. High-resolution water level and storage variation datasets for 338 reservoirs in China during 2010–2021. Earth Syst. Sci. Data 2022, 14, 5671–5694. [Google Scholar] [CrossRef]
- Shenglian, G.; Feng, X.; Jun, W.; Yixuan, Z.; Jing, T.; Jiabo, Y. Preliminary exploration of design flood and control water level of Three Gorges Reservoir in operation period. J. Hydraul. Eng. Asce. 2019, 50, 1311–1317. [Google Scholar] [CrossRef]
- Ping, X.; Ming, D.; Jun, X. Water bloom occurrence probability calculation model in Hanjiang River under different water transfer schemes of the middle route of South to North Water Transfer Project. J. Hydraul. Eng. Asce. 2005, 36, 727–732. [Google Scholar] [CrossRef]
- Zhang, Z. Research and Implementation of Water Dispatching System Based on Web Service. Master’s Thesis, Huazhong University of Science and Technology, Wuhan, China, 2018. [Google Scholar]
- Gan, Y.Q.; Wang, Y.X.; Duan, Y.H.; Deng, Y.M.; Guo, X.X. Dynamic changes of groundwater arsenic concentration in the monitoring field site, Jianghan Plain. Earth Sci. Front. 2014, 214, 37–49. [Google Scholar] [CrossRef]
- Du, Y. Surface Water-Groundwater Interaction and Its Effect on Ammonium Transport and Fate in Jianghan Plain, Central China. Ph.D. Thesis, China University of Geosciences, Wuhan, China, 2017. [Google Scholar]
- Trull, O.; Garcia-Diaz, J.C.; Peiro-Signes, A. Multiple seasonal STL decomposition with discrete-interval moving seasonalities. Appl. Math. Comput. 2022, 433, 127398. [Google Scholar] [CrossRef]
- Amrhein, V.; Trafinnow, D.; Greenland, S. Inferential Statistics as Descriptive Statistics: There Is No Replication Crisis if We Don’t Expect Replication. Am. Stat. 2019, 73, 262–270. [Google Scholar] [CrossRef]
- Overview of Three Gorges Project. Available online: https://www.ctg.com.cn/sxjt/sxgc4/gcgk7/index.html (accessed on 14 June 2023).
- Gong, G.; Wei, Z.; Zhang, F.; Li, Y.; An, Y.; Yang, Q.; Wu, J.; Wang, L.; Yu, P. Analysis of the spatial distribution and influencing factors of China national forest villages. Environ. Monit. Assess. 2022, 194, 428. [Google Scholar] [CrossRef]
- Xu, J.H. Mathematical Method in Modern Geography, 2nd ed.; Higher Education Press: Beijing, China, 2002; pp. 37–41. [Google Scholar]
- Taghadomi, H.J.; Wang, X.X.; Erten-Unal, M.; Vazifedan, T. Assessment of rainfall-runoff time series data using transfer function modelling with exogenous variable. Int. J. Hydrol. Sci. Technol. 2022, 14, 47–62. [Google Scholar] [CrossRef]
- Shu, L.C.; Tao, Y.Z. Groundwater Hydrology; China Water & Power Press: Beijing, China, 2009; pp. 112–116. [Google Scholar]
- Duan, Y.; Gan, Y.; Wang, Y.; Deng, Y.; Guo, X.; Dong, C. Temporal variation of groundwater level and arsenic concentration at Jianghan Plain, central China. J. Geochem. Explor. 2015, 149, 106–119. [Google Scholar] [CrossRef]
- Qingjun, D.; Zhonghua, T.; Qi, W.; Jiankui, L. Characteristics of groundwater and its influencing factors in Jingzhou City. Resour. Environ. Yangtze Basin 2014, 23, 1215–1221. [Google Scholar] [CrossRef]
- Du, Y.; Ma, T.; Deng, Y.; Shen, S.; Lu, Z. Characterizing groundwater/surface-water interactions in the interior of Jianghan Plain, central China. Hydrogeol. J. 2018, 26, 1047–1059. [Google Scholar] [CrossRef]
- Jiang, X.; Ma, R.; Ma, T.; Sun, Z. Modeling the effects of water diversion projects on surface water and groundwater interactions in the central Yangtze River basin. Sci. Total Environ. 2022, 830, 154606. [Google Scholar] [CrossRef]








Disclaimer/Publisher’s Note: The statements, opinions and data contained in all publications are solely those of the individual author(s) and contributor(s) and not of MDPI and/or the editor(s). MDPI and/or the editor(s) disclaim responsibility for any injury to people or property resulting from any ideas, methods, instructions or products referred to in the content. |
© 2023 by the authors. Licensee MDPI, Basel, Switzerland. This article is an open access article distributed under the terms and conditions of the Creative Commons Attribution (CC BY) license (https://creativecommons.org/licenses/by/4.0/).
Share and Cite
Feng, J.; Shao, D.; Gu, W.; Liu, L.; Dong, W.; Miao, D. Surface Water–Groundwater Transformation Patterns in the Jianghan Plain after the Impoundment of the Three Gorges Project and the Opening of the Yangtze-to-Hanjiang Water Transfer Project. Water 2023, 15, 2952. https://doi.org/10.3390/w15162952
Feng J, Shao D, Gu W, Liu L, Dong W, Miao D. Surface Water–Groundwater Transformation Patterns in the Jianghan Plain after the Impoundment of the Three Gorges Project and the Opening of the Yangtze-to-Hanjiang Water Transfer Project. Water. 2023; 15(16):2952. https://doi.org/10.3390/w15162952
Chicago/Turabian StyleFeng, Jinping, Dongguo Shao, Wenquan Gu, Luguang Liu, Wei Dong, and Donghao Miao. 2023. "Surface Water–Groundwater Transformation Patterns in the Jianghan Plain after the Impoundment of the Three Gorges Project and the Opening of the Yangtze-to-Hanjiang Water Transfer Project" Water 15, no. 16: 2952. https://doi.org/10.3390/w15162952
APA StyleFeng, J., Shao, D., Gu, W., Liu, L., Dong, W., & Miao, D. (2023). Surface Water–Groundwater Transformation Patterns in the Jianghan Plain after the Impoundment of the Three Gorges Project and the Opening of the Yangtze-to-Hanjiang Water Transfer Project. Water, 15(16), 2952. https://doi.org/10.3390/w15162952
