Next Article in Journal
Assessing the Effects of Miedzyodrze Area Revitalization on Estuarine Flows in the Odra River
Previous Article in Journal
Sequestration of Toxic Metal Ions from Industrial Effluent Using the Novel Chelating Resin Tamarind Triazine Amino Propanoic Acid (TTAPA)
 
 
Font Type:
Arial Georgia Verdana
Font Size:
Aa Aa Aa
Line Spacing:
Column Width:
Background:
Article

Applicability of the Modified Green-Ampt Model Based on Suction Head Calculation in Water-Repellent Soil

1
Key Laboratory of Agricultural Soil and Water Engineering in Arid and Semiarid Areas, Ministry of Education, Northwest A&F University, Yangling 712100, China
2
Institute of Water–Saving Agriculture in Arid Areas of China, Northwest A&F University, Yangling 712100, China
3
College of Economics and Management, Xi’an University of Posts & Telecommunications, Xi’an 710000, China
4
China Electric Power Construction Group Kunming Survey and Design Institute Co., Ltd., Kunming 650000, China
*
Author to whom correspondence should be addressed.
Water 2023, 15(16), 2925; https://doi.org/10.3390/w15162925
Submission received: 19 June 2023 / Revised: 21 July 2023 / Accepted: 27 July 2023 / Published: 14 August 2023

Abstract

Water repellency has a great influence on water infiltration into soil. Currently, there is no modified correlation model that is applicable to the water infiltration of water-repellent soils (WRS). In order to better construct a model suitable for water infiltration in water-repellent soil, our objectives are to validate the effect of a modified Green-Ampt model. We modified the model by assuming that the saturated and unsaturated zones had the same thickness and by combining three formulas of the suction head (Sf VG, Sf BC, Sf GP) and the average saturated hydraulic conductivity. Therefore, we obtained three modified models: the Green-Ampt-VG, Green-Ampt-BC, and Green-Ampt-GP models. Indoor one-dimensional water infiltration experiments were conducted to simulate the cumulative infiltration (CI), the distance of the wetting front (Zf), and the infiltration rate of a hydrophilic treatment and repellent treatments. The results showed that as the degree of repellency increased, the soil suction head decreased, and the relationship between the value of the soil suction head and the degree of WRS was exponential. In addition, the simulated values of the modified CI formula highly fit the measured values of all treatments in the three models (RMSE: 1.696, 1.812, and 0.694). The modified Green-Ampt-VG model had the best simulation effect on the infiltration rate (RMSE: 0.036) and Zf (RMSE: 3.976). The results indicated that the suction head values obtained from the parameters of the VG model were closest to the actual values compared the other models. These results can provide a reference for the solution of problems involving the suction head and water infiltration into WRS in the future.

1. Introduction

Soil water repellency is a phenomenon in which water has difficulty infiltrating into the soil [1,2]. Water content has a great influence on soil water repellency, and all soils will show repellency at critical water content [3,4]. The water infiltration capacity decreases and the risk of soil erosion and groundwater pollution is aggravated due to repellency [5,6,7]. Therefore, many scholars have paid attention to it. Research has shown variations in water repellency degree with depth, with the repellency degree generally decreasing with increasing depth, while surface WRS has a stronger water repellency degree [8,9,10]. In general, the water repellency in soil can reach depths of more than 10 cm [11,12,13].
There have been a large number of studies on the infiltration characteristics of WRS. Ref. [14] found a single-peak curve relationship between soil water repellency and soil water content. Ref. [15] used the Green-Ampt model, Philip model [16], and Kostiakov model [17], as well as an index formula, to simulate the infiltration data of repellent soil. Ref. [18] used a piecewise function to simulate the experimental infiltration rate data of WRS. However, their research was limited to fitting the experimental data of WRS using various models, and they failed to improve relevant physical models.
In recent years, the modified Green-Ampt model has been widely applied due to its clear physical significance [19,20]. The improvements to the model are based on the investigation of two important parameters: saturated hydraulic conductivity and the suction head. However, the difficulty in model modification also consists in how to accurately obtain a soil suction head [21].
Ref. [22] investigated the value of saturated hydraulic conductivity in the Green-Ampt model and suggested that the value of hydraulic conductivity in the Green-Ampt model should be 0.7 times the saturated hydraulic conductivity. Ref. [23] developed a formula to estimate the suction head value of sand from the reciprocal of the air entry value, and showed that the modified model, after obtaining the saturated hydraulic conductivity and suction head value, could accurately fit the infiltration rate of soil with the sand inclusion layer. Ref. [22] derived the computational formula of the suction head by combining the Philip model with the Green-Ampt model. Ref. [24] first developed the assumption that the thickness of the saturated layer was about half of the wetting front distance.
The modified Green-Ampt model based on the suction head can be applied to a variety of soil conditions. However, so far, there have been no modified models to simulate water infiltration into WRS. Although there have been some formulas for calculating the suction head, the accuracy of these formulas has not been compared. Therefore, in this paper, we mainly aim to verify whether the modified Green-Ampt model, based on three computational methods of suction head, can accurately simulate the cumulative infiltration, migration depth of the wetting front, and infiltration rate of layered WRS. This will provide the most suitable model for the water infiltration of WRS.

2. Model Establishment and Validation

2.1. The Traditional Green-Ampt Model

The Green-Ampt model is suitable for the infiltration of ponded water into soil. There is an obvious wetting front in the soil layer, with the soil above the wetting front being saturated and the soil below the wetting front being unsaturated. The model assumes that the initial water content of the soil is uniform. The basic Green-Ampt model is as follows [25]:
i = k s z f + s f + H z f
where Ks is the hydraulic conductivity of saturated soil (cm·min−1); Zf is the distance of the wetting front (cm); Sf is the suction head at the wetting front (cm); and H is the pressure head at the surface (cm).

2.2. Modified Green-Ampt Model

2.2.1. Assumptions of the Modified Model

The degree of repellency significantly affects the infiltration rate and hydraulic conductivity. The hydraulic conductivity and infiltration rate decrease with a decrease in the degree of repellency. During infiltration, finger flow forms inside the soil, accounting for only a small portion of the soil profile. Along the channels, water flows into the soil, moistening part of the subsoil, while the rest of the upper soil remains dry [26,27]. In addition to the irregular migration of the wetting front in the WRS, this inevitably leads to an uneven distribution of soil water content in the soil profile. Therefore, we made the following assumptions about the Green-Ampt model corresponding to the WRS based on previous research results:
(1) In the soil infiltration process, the wetted zone is divided into two equal zones: the saturated zone and the unsaturated zone. Recent studies have shown that the distribution of water content in the unsaturated zone can be represented by an elliptic curve [24,28]. Therefore, we assume that the water content distribution in the unsaturated zone follows an elliptic curve (Figure 1).
(2) Due to the presence of a water-repellent layer, the saturated conductivity is likely to change. Therefore, we used the average hydraulic conductivity of the entire soil profile in depth, denoted as Ks = K s ¯ . According to [29,30], the soil hydraulic conductivity should be 0.5 times the saturated hydraulic conductivity, so we considered 0.5 times the saturated hydraulic conductivity as the final hydraulic conductivity.
Therefore, in the entire infiltration process, we only need to determine the average hydraulic conductivity of the soil column and the suction head at the wetting front in order to obtain the Green-Ampt infiltration rate model for the repellent soil.

2.2.2. Calculation of Suction Head

In this paper, three methods were used to calculate the suction head:
(1) The first computational formula for the suction head was determined through (VG) model parameters [31], and the VG model formula is as follows:
θ ( h ) =             θ r + θ s θ r 1 + α h n m ,   h < 0                                       θ s   ,               h 0  
where θ r   is the residual water content (cm3·cm−3); θ s   is the saturated water content (cm3·cm−3); H is the pressure head (cm); and α, m, and n are empirical parameters.
The computational formula for soil unsaturated hydraulic conductivity is as follows:
K ( h ) = k s { 1 ( α h ) m n [ 1 + ( α h ) n ] m } 2 [ 1 + ( α h ) n ] m l
where l is generally 0.5, and the other parameters are consistent with Formula (2).
m = 1 1 n
The calculation of the wetting front suction head at the initial water content can be performed using the following formula [32]:
S i = 1 2 α m n l + 2 + 1       1 θ s θ r θ i θ r ( l + 2 + 1 m n )        
where   θ i   is the initial water content of the soil (cm3·cm−3), and the other parameters have the same meanings as above.
The suction head was calculated as follows [33,34]:
  K r = K ( h ) K s
s f   V G = 0 s i K r   d s
where Kr is the relative hydraulic conductivity.
(2) The second computational formula for the suction head was determined using the Brooks–Corey (BC) model parameters. The formula for the BC model is as follows:
θ θ r θ s θ r = ( α h ) λ               α   h > 1           1                             α   h 1    
where α is an empirical parameter, which is set equal to 1/ha (1/cm), and λ is the distribution parameter of soil pore size.
h a = 1 α
In Formula (9), ha is air entry value (cm).
The suction head was calculated as follows [29]:
  s f   B C = h a 2
(3) The third computational formula for suction head was deduced based on the correlation between the Green-Ampt model and the Philip model. The suction head is calculated as follows [22]:
  S f G P = 4 S 2 ( 4 + π ) K s ( θ s θ r ) H
where S is the soil sorptivity in the Philip model, which can be obtained through fitting, and H is the head of water (cm).

2.2.3. Cumulative Infiltration and Wetting Fronts of the Modified Green-Ampt Model

According to the principle of water balance, the cumulative infiltration curve of the traditional model can be expressed as follows [35]:
C I = i = 1 N D i θ s , i θ r , i + ( Z f i = 1 N D i ) ( θ s , N + 1 θ i , N + 1 )
where CI is the cumulative infiltration of soil (cm); D is the soil layer thickness (cm); N + 1 represents the layer of soil after the number of saturated layers N; and the other parameters have the same meanings as above.
In this paper, it is assumed that the distance of the wetting front can be divided into two parts with the same thickness: one part is the saturated area and the other part is the unsaturated area. We assumed that the water content in the unsaturated zone followed a 1/4 elliptic curve, and the infiltration curve of the modified model was as follows:
C I = L 2 θ + π 4 L 2 θ  
So, in the layered soil, the CI was calculated as:
C I = ( 4 8 + 1 8 π ) i = 1 N D i θ s , i θ r , i + ( Z f i = 1 N D i ) ( θ s , N + 1 θ i , N + 1 )
After the wetting front depth was divided into the saturated zone and the unsaturated zone, the formula for the wetting front depth was as follows [22]:
Z f V G = 4 2 K s ¯ ( s f   V G + H ) t ( 4 + π ) ( θ s θ i )
Z f B C = 4 2 K s ¯ ( s f   B C + H ) t ( 4 + π ) ( θ s θ i )
Z f G P = 4 2 K s ¯ ( s f   G P + H ) t ( 4 + π ) ( θ s θ i )
where t is the infiltration time (min); K s ¯ is the effective saturated hydraulic conductivity (cm·min−1); Sf corresponds to the suction head solution Formulas (5), (10), and (11) (cm); and Zf is the migration depth of the wetting front (cm).

2.2.4. The Average Saturated Hydraulic Conductivity

If the experimental soil layer is homogeneous, the saturated hydraulic conductivity of the soil layer is the corresponding soil saturated hydraulic conductivity. If it is a heterogeneous soil layer composed of several soil types, the hydraulic conductivity is the average saturated hydraulic conductivity of the different soil layers. The effective saturated hydraulic conductivity of the heterogeneous soil layer can be calculated as follows [35,36]:
K s ¯ = i = 1 N + 1 D i i = 1 N + 1 D i K s , i
where   K s ¯ is the average saturated hydraulic conductivity of the wetting layer (cm·min−1); D is the thickness of the soil layer (cm); i is the number of soil layers and N is the number of saturated layers in the soil; and K s , i is the saturated hydraulic conductivity of soil layer i.
Therefore, the infiltration rates of the Green-Ampt model based on three kinds of suction head and assumptions are as follows, respectively:
i V G = 0.5 K s ¯ z f + s f   V G + H z f
i B C = 0.5 K s ¯ z f + s f   B C + H z f
i G P = 0.5 K s ¯ Z f + S f   G P + H Z f

2.3. Validation of the Model

In order to verify the applicability of the modified model for water infiltration into layered repellent soil, we compared the measured infiltration rates, the depth of the wetting front, and the cumulative infiltration with the calculated values of the modified model. The root-mean-square error (RMSE) was used to evaluate the effectiveness of the model. The smaller the value, the better the model’s performance:
R M S E = 1 N i = 1 N ( S k M i ) 2
where N is the number of measured values, Sk is the simulated value, and Mi is the measured value.
The experimental soil used was clay loam, taken from the surface layer (0–40 cm) of the triple terrace in the Wei River, Shaanxi province. The soil materials were air-dried and passed through a 2 mm sieve. The proportions of clay, silt, and sand were 17.4%, 45.2%, and 37.4%, respectively. There are various methods to obtain WRS, and we obtained stable WRS by adding different doses of octadecylamine to the soil [1]. According to the water droplet penetration time (WDPT), WRS was divided into five degrees [37]: hydrophilic (WDPT < 5 s), slightly WRS (5 s ≤ WDPT < 60 s), strongly WRS (60 s ≤ WDPT < 600 s), severely WRS (600 s ≤ WDPT < 3600 s), and extremely WRS (WDPT ≥ 3600 s). The quantity of octadecylamine added and the degree of repellency are listed in Table 1.
The soil hydraulic parameters for the water repellency degree are listed in Table 1. The saturated hydraulic conductivity was measured using the constant head method [38], the water retention curve was measured using a high-speed centrifuge, and soil hydraulic characteristic parameters were obtained using Retention Curve (RETC) software [39].
In this paper, a group of hydrophilic soil treatment (T0) and five groups of layered repellent soil treatments (T1–T5) with different repellency degrees were designed, and the experimental design is shown in Table 2. The columns were filled with air-dried soil samples, and the soil bulk density was 1.35 g·cm−3. The experiments were conducted under ponding conditions with a constant head of 3 cm. The experiments were terminated when the wetting front reached the bottom of the column. Cumulative infiltration and infiltration rate were calculated based on variation in the water level of a Mariotte bottle. A ruler was attached to a column made of clear plastic to determine the wetting front depth. Three replicates were set for each experimental treatment, and the average value of the experimental data was taken as the final value.

3. Results

3.1. Relationship between Suction Head and Quantity of Octadecylamine

Figure 2 shows the relationship curve between the soil suction head values obtained using the three suction head formulas and the quantity of octadecylamine. The x-coordinate represents the quantity of octadecylamine added, and the y-coordinate represents the suction head value. It can be seen that the value of the suction head decreases as the quantity of octadecylamine increases (Figure 2), and the relationship curve conforms to the exponential function:
y = a · e b x    
where y represents the suction head (cm); x represents the quantity of octadecylamine added (g); and a and b are parameters.
Figure 2 shows that the calculated values of the suction head had a high fitting effect with the exponential function (23), and the correlation coefficients were 0.923, 0.916 and 0.938, respectively. This demonstrates that Equation (23) could effectively express the relationship between the quantity of octadecylamine added in the clay loam and the soil suction head. This can provide a reference for estimating the suction head of WRS.

3.2. Computational Results and Verification of Cumulative Infiltration

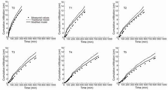
Figure 3 shows the measured values of each treatment, and the simulated values of the modified model. The RMSE values of each treatment are listed in Table 3. The results show that the calculated value of the modified formula was closer to the measured value compared with the traditional model. The maximum RMSE value of the Green-Ampt-GP model in all treatments was 1.185, and the average value was 0.694. The RMSE value of the hydrophilic treatment (T0) was 0.5, while the maximum RMSE value of the traditional model was 2.014, with an average value of 1.696. The RMSE value of T0 was 1.12. Moreover, the modified computational method of cumulative infiltration showed no significant difference for treatments with different repellency degrees. The RMSE values of the water-repellent treatments (T1–T5) were 1.185, 0.759, 0.730, 0.442, and 0.546, respectively. The modified cumulative infiltration formula accurately simulated the cumulative infiltration of each repellent treatment. This indicates that the modified cumulative infiltration formula can effectively estimate the cumulative infiltration of hydrophilic soil and layered WRS. The traditional model assumed that the soil in front of the wetting front was saturated soil, but the cumulative infiltration obtained was significantly greater than the measured value. This indicates that the traditional Green-Ampt model had a deficiency in its distribution assumption of soil water content. Due to the existence of preferential flow and finger flow in WRS during the infiltration process [26,27,40,41], although water enters the subsoil through the repellent layer, it is difficult to reach saturation in a short time for the repellent layers, because the finger flow makes it easier for water to flow vertically and makes it flow slower horizontally [42,43].

3.3. Computational Results and Verification of the Infiltration Rate

Figure 4 shows the measured infiltration rate curves and simulated infiltration rate curves of the modified Green-Ampt model. The RMSE values of the treatments for each modified model are listed in Table 3. The results indicate that the modified Green-Ampt model, based on the three computational formulas of the wetting front suction head, can accurately simulate the change in the infiltration rate of layered WRS. The average RMSE values of the Green-Ampt-VG, Green-Ampt-BC, and Green-Ampt-GP models corresponding to the treatments were 0.036, 0.137, and 0.174, respectively (Table 3). Furthermore, the three models did not show significant differences in the simulation effect for repellent treatments with different repellency degrees.
Obviously, the Green-Ampt-VG model had the best simulation effect. Throughout the entire infiltration process, the simulated infiltration rate closely matched the measured value, and the curve trend was almost identical to the measured curve. The model was also applicable to hydrophilic soil (Figure 4), with an RMSE value of 0.027 for the hydrophilic treatment (T0). The simulation effect of the Green-Ampt-BC model was second. Both the Green-Ampt-BC model and Green-Ampt-VG model showed that the simulated value was much higher than the measured value at the initial stage of infiltration, which was inconsistent with the initial infiltration rate of WRS. Taking treatments T4 and T5 as examples, the infiltration rate was very small at the initial stage, while the simulated value was relatively large, and the simulation effect of the model at the later infiltration stage was poor. The Green-Ampt-GP model had the worst simulation effect. The simulated value of this model was generally lower than the measured value throughout the entire infiltration process. This is because the suction head of the wettable soil was much larger than that of WRS, and the suction head of the dry soil before the wetting front increased with the decrease of the repellency degree. Water quickly moved from the upper WRS to the lower wettable layer, causing the infiltration rate curve at the interface between the water-repellent layer and the hydrophilic layer to fluctuate in the layered repellency treatments [44]. This phenomenon did not occur in the hydrophilic treatment (T0).

3.4. Computational Results and Verification of Wetting Front

Figure 5 shows the measured and the simulated wetting front curves of the modified model, respectively. It can be clearly observed that the average RMSE values of the wetting front in the Green-Ampt-VG, Green-Ampt-BC, and Green-Ampt-GP models were 3.976, 15.152, and 8.30, respectively (Table 3). The Green-Ampt-VG model had the best simulation effect on the wetting front, and the simulated values of the wetting front for all water-repellent treatments were close to the measured values. These results indicated that the modified wetting front formulas based on parameters of the VG curve were applicable to the WRS. This formula also had the best simulation effect on the hydrophilic treatment (T0), with an RMSE of 0.916, which proves that the model is also applicable to simulating the wetting front of hydrophilic soil. Although the effect of the Green-Ampt-GP model was also close to the measured value, the maximum RMSE value was 11.25 and the average value was 8.301 for all treatments. However, the model was less effective than the Green-Ampt-VG model, so it is not recommended to estimate the migration of the wetting front. The simulation deviation of the Green-Ampt-BC model was the largest for all treatments, with a maximum RMSE value of 18.761 and an average value of 15.152. Therefore, this model is not recommended to simulate the wetting front of WRS.

4. Discussion

In previous studies, the Green-Ampt model assumed that the soil was fully saturated in the region above the wetting front upon soil moisture infiltration [45,46]. However, the soil in these regions was not completely saturated, and the soil moisture content decreased with the increase in the soil depth, showing a non-linear tendency [47]. On the other hand, the hydraulic conductivity of the soil saturated with water in the traditional VG model is measured using the hydraulic head method. However, the hydraulic conductivity of the soil cannot reach saturation during the infiltration process [48]. Therefore, we adopted the modified Green-Ampt models (the Green-Ampt-VG, Green-Ampt-BC, and Green-Ampt-GP models) and three indicators were used to characterize the applicability and robustness of all of the models. The wetting front curves and the infiltration rate curves simulated by the Green-Ampt-VG, Green-Ampt-BC, and Green-Ampt-GP models all increased sharply at the interface between the water-repellent layer and the hydrophilic layer in treatments T1–T5, but the rising trend of the curve did not conform to the law of soil infiltration. The distribution of layered soil resulted in variation in the suction head at the wetting front in each model. It can be seen from Equations (15)–(17) that the wetting front curve was mainly a function of the suction head, time, and water content. Time was an independent variable and water content a constant value. Therefore, the change in the suction head was the main reason for the sudden increase in the curves.
Considering the variation in water repellency degree with soil depth, we designed experimental treatments in which the repellency degree decreased as the soil depth increased. Previous investigations only indicated that repellency degree decreased with an increase in soil depth [8,9,10,49,50], but there is no specific thickness division regarding the repellency degree. The repellency degree does not change suddenly with the soil depth, but it is difficult to determine its boundary. Our experimental designs only considered the change in water repellency degree from extreme water repellency to slight water repellency within a depth of 10cm, so the change in repellency degree in the layered repellent treatment was abrupt. For example, in treatments T3, T4, and T5, there was no change in water repellency degree above the depth of 10 cm. All of these treatments had hydrophilic soil after the depth of 10 cm, so the suction head value between the water-repellent layers increased sharply. Water infiltration will be influenced when the WRS layer is above the wettable soil layer. A sudden increase in wetting front and infiltration rate curves occurred when the suction head of the interlayer soil changed greatly. Due to the continuity of water migration, the migration distance of the wetting front would not increase suddenly in the actual soil infiltration stage. For example, due to the relatively close repellency degree between the water-repellent layer and wettable layer in treatments T1 and T2, there would be no sharp increase when the curve rose. The T0 treatment had hydrophilic soil and its curve rose smoothly. Figure 4 shows that the sudden increase in wetting front in the Green-Ampt-VG model was smaller than that in the Green-Ampt-BC model. This indicates that the suction head value derived from the VG model was closer to the actual value. The wetting front suction head is not easy to measure directly using experiments, so Formula (6) was used to calculate the suction head of the initial water content. The initial suction head obtained using Formula (6) solved the problem of calculating the average suction head at the wetting front.
In summary, the modified cumulative infiltration formula, based on the assumption that the wetted zone is divided into two equal saturated and unsaturated zones, could accurately predict the observed value. The wetting front and infiltration rate simulated by the modified Green-Ampt model, based on the suction head calculated by the VG model, were closer to the measured values. This indicates that the suction head value obtained by the VG model was more accurate, which can guide the field water calculation of WRS to some extent.

5. Conclusions

After comparing the applicability of the modified Green-Ampt model based on three suction head formulas for simulating infiltration into layered WRS, this investigation draws the following conclusions:
(1) The suction head value obtained by the three formulas was in accordance with the exponential function of the quantity of octadecylamine. The suction head value decreased with an increase in the repellency degree. Equation (23) can estimate the suction head and it can provide a reference for calculating the suction head of WRS.
(2) The calculated value of the modified formula was obviously closer to the measured value than that of the traditional formula, indicating that the modified formula can be used to calculate the cumulative infiltration of layered WRS.
(3) The simulation results of the WRS infiltration rate and wetting front of the modified model, based on different suction head formulas, were in the following order: the Green-Ampt-VG model was the best, followed by the Green-Ampt-BC model, and then, the Green-Ampt-GP model.
(4) In the future, we will explore the applicability of the modified model to different soil properties. Additionally, in order to make our results more applicable to the simulation of large areas, we will create simulation products of soil moisture content in global areas by correcting the Green-Ampt-VG model.

Author Contributions

Conceptualization, J.C., Y.S. and Y.Y.; methodology, Y.X. (Youzhen Xiang), Y.S. and Y.Y.; software, Y.S., Y.Y., X.Z. and B.Z.; validation, Y.S., Y.Y. and Y.X. (Yangyang Xu); formal analysis, Y.S. and Y.Y.; investigation, Y.Y.; resources, J.C.; data curation, Y.Y.; writing—original draft preparation, Y.Y.; writing—review and editing, Y.S.; visualization, Y.Y.; supervision, Y.X. (Youzhen Xiang); project administration, J.C.; funding acquisition, J.C. All authors have read and agreed to the published version of the manuscript.

Funding

This study was financially supported by the National Natural Science Foundation of China (51979234).

Data Availability Statement

The data used in this study are available upon request from the corresponding author.

Conflicts of Interest

The authors declare no conflict of interest.

Abbreviations

WRS, water-repellent soil; Sf, suction head; Si, suction head at initial water content; VG, van Genuchten; BC, Brooks–Corey; GP, combination of Green-Ampt and the Philip model; θ r , residual water content; θ s , saturated water content;   θ i ,   initial water content; S, soil sorptivity in Philip model; CI, cumulative infiltration; Zf, distance of wetting front; WDPT, water droplet penetration time; Ks, soil saturated hydraulic conductivity;   K s ¯ , effective saturated hydraulic conductivity; RMSE, root-mean-square error; RETC, retention curve.

References

  1. Doerr, S.H.; Shakesby, R.A.; Walsh, R.P.D. Soil water repellency: Its causes, characteristics and hydro-geomorphological significance. Earth Sci. Rev. 2000, 51, 33–65. [Google Scholar] [CrossRef]
  2. Yilmaz, D.; Di Prima, S.; Stewart, R.D.; Najm, M.R.A.; Fernandez-Moret, D.; Latorre, B.; Lassabatere, L. Three-term formulation to describe infiltration in water-repellent soils. Geoderma 2022, 427, 116127. [Google Scholar] [CrossRef]
  3. DeBano, L.F. Water repellency in soils: A historical overview. J. Hydrol. 2000, 231–232, 4–32. [Google Scholar] [CrossRef]
  4. Wu, J.; Lin, H.; Liu, J.; Wang, M.; Yang, S. Hydrophobility and infiltration properties of loam chemically modified by octadecylamine. Trans. Chin. Soc. Agric. Eng. 2019, 35, 122–128. [Google Scholar]
  5. Bauters, T.W.J.; Steenhuis, T.S.; Parlange, J.; DiCarlo, D.A. Preferential flow in water-repellent sands. Soil. Sci. Soc. Am. J. 1998, 62, 1185–1190. [Google Scholar] [CrossRef]
  6. Doerr, S.H.; Ferreira, A.J.D.; Walsh, R.P.D.; Shakesby, R.A.; Leighton-Boyce, G.; Coelho, C.O.A. Soil water repellency as a potential parameter in rainfall-runoff modelling: Experimental evidence at point to catchment scales from Portugal. Hydrol. Process. 2003, 17, 363–377. [Google Scholar] [CrossRef]
  7. Mao, J.; Zhang, K.; Chen, B. Linking hydrophobicity of biochar to the water repellency and water holding capacity of biochar-amended soil. Environ. Pollut. 2019, 253, 779–789. [Google Scholar] [CrossRef]
  8. MacDonald, L.H.; Huffman, E.L. Post-fire soil water repellency: Persistence and soil water thresholds. Soil. Sci. Soc. Am. J. 2004, 68, 1729–1734. [Google Scholar] [CrossRef]
  9. Badía, D.; Aguirre, J.A.; Martí, C.; Márquez, M.A. Sieving effect on the intensity and persistence of water repellency at different soil depths and soil types from NE-Spain. Catena 2013, 108, 44–49. [Google Scholar] [CrossRef]
  10. Leelamanie, D.A.L. Occurrence and distribution of water repellency in size fractionated coastal dune sand in Sri Lanka under Casuarina shelterbelt. Catena 2016, 142, 206–212. [Google Scholar] [CrossRef]
  11. Wallach, R.; Ben-Arie, O.; Graber, E.R. Soil water repellency induced by long-term irrigation with treated sewage effluent. J. Environ. Qual. 2005, 34, 1910–1920. [Google Scholar] [CrossRef] [PubMed]
  12. Mataix-Solera, J.; García-Irles, L.; Morugán, A.; Doerr, S.H.; Garcia-Orenes, F.; Arcenegui, V.; Atanassova, I. Longevity of soil water repellency in a former wastewater disposal tree stand and potential amelioration. Geoderma 2011, 165, 78–83. [Google Scholar] [CrossRef]
  13. Sepehrnia, N.; Hajabbasi, M.A.; Afyuni, M.; Lichner, Ľ. Soil water repellency changes with depth and relationship to physical properties within wettable and repellent soil profiles. J. Hydrol. Hydromech. 2017, 65, 99–104. [Google Scholar] [CrossRef]
  14. Chen, J.; Wu, P.; Zhang, Z.; Oron, G.; Wang, Z. Response models for soil water repellency and soil water. Trans. Chin. Soc. Agric. Mach. 2012, 43, 63–67. [Google Scholar]
  15. Liu, C.; Li, Y.; Ren, X.; Ma, X. Applicability of four infiltration models to infiltration characteristics of WRSs. Trans. Chin. Soc. Agric. Eng. 2011, 27, 62–67. [Google Scholar]
  16. Philip, J.R. The theory of infiltration: 1. The infiltration equation and its solution. Soil. Sci. 1957, 83, 345–358. [Google Scholar] [CrossRef]
  17. Kostiakov, A.N. On the dynamics of the coefficient of water-percolation in soils and on the necessity of studying it from a dynamic point of view for purposes of amelioration. Trans. 6th Comm. Int. Soc. Soil. 1932, 17–21. (In Russian) [Google Scholar]
  18. Ren, C.; Zhao, Y.; Wang, J.; Gong, J.; Tian, J. An experimental and modeling study of water infiltration on WRS. Adv. Water Sci. 2018, 29, 839–847. [Google Scholar]
  19. Huang, Q.-Z.; Hilpert, M.; Tsai, Y.-Z.; Hsu, S.-Y. Investigation and parameterization of the ponding height effect on dynamic suction head estimation in the Green-Ampt model. J. Hydrol. 2023, 621, 129524. [Google Scholar] [CrossRef]
  20. Liu, G.; Li, S.; Wang, J. New Green-Ampt model based on fractional derivative and its application in 3D slope stability analysis. J. Hydrol. 2021, 603, 127084. [Google Scholar] [CrossRef]
  21. Chen, S.-C.; Wang, S.-C.; Wu, C.-H. Sediment removal efficiency of siphon dredging with wedge-type suction head and float tank. Int. J. Sediment Res. 2010, 25, 149–160. [Google Scholar] [CrossRef]
  22. Wen, X.; Hu, Z.; Zhang, X.; Chai, S.; Lu, X. Modified infiltration model of saturated-unsaturated loess based on Green-Ampt model and its parameters research. Rock. Soil. Mech. 2020, 41, 1991–2000. [Google Scholar]
  23. Yanwei, F.; Wenju, Z.; Yu, W.; Guiquan, B. Improvement and verification of the Green-Ampt model for sand-layered soil. Trans. Chin. Soc. Agric. Eng. 2015, 31, 93–99. [Google Scholar]
  24. Wang, W.; Wang, Z.; Wang, Q.; Zhang, J. Improvement and evaluation of the Green. Ampt model in loess soil. J. Hydraul. Eng. 2003, 35, 30–34. [Google Scholar]
  25. Green, W.H.; Ampt, G.A. Studiese on Soil Physics-Part 1, The flow of air and water through soils. J. Agr. 1911, 4, 1–24. [Google Scholar]
  26. Wang, Z.; Feyen, J.; Elrick, D.E. Prediction of fingering in porous media. Water Resour. Res. 1998, 34, 2183–2190. [Google Scholar] [CrossRef]
  27. Cammeraat, L.H.; Imeson, A.C. The evolution and significance of soil–vegetation patterns following land abandonment and fire in Spain. Catena 1999, 37, 107–127. [Google Scholar] [CrossRef]
  28. Yang, X.; Huang, X.; Zhu, Y.; Yao, Z.; Zhang, S. Experimentalstudy on collapsibility evaluation and treatment depths of collapsible loess upon self weight with thick depth. Chin. J. Rock. Mech. Eng. 2014, 33, 1063–1074. [Google Scholar]
  29. Bouwer, M. Infiltration of water into nonuniform soil. J. Irrig. Drain. Div. 1969, 95, 451–462. [Google Scholar] [CrossRef]
  30. Bouwer, H. Rapid field measurement of air entry value and hydraulic conductivity of soil as significant parameters in flow system analysis. Water Resour. Res. 1966, 2, 729–738. [Google Scholar] [CrossRef]
  31. van Genuchten, M.T. A Closed-form equation for predicting the hydraulic conductivity of unsaturated soils 1. Soil Sci. Soc. Am. J. 1980, 44, 892–898. [Google Scholar] [CrossRef]
  32. Zhang, G.; Shao, M. Using soil physical properties to determine the absorptive parameter Sf in Green-Ampt infiltration model. Acta Pedologica Sinica 2000, 37, 551–557. [Google Scholar]
  33. Mein, R.G.; Farrell, D.A. Determination of wetting front suction in the Green-Ampt equation1. Soil Sci. Soc. Am. J. 1974, 38, 872–876. [Google Scholar] [CrossRef]
  34. Neuman, S.P. Wetting front pressure head in the infiltration model of Green and Ampt. Water Resour. Res. 1976, 12, 564–566. [Google Scholar] [CrossRef]
  35. Ma, Y.; Feng, S.; Su, D.; Gao, G.; Huo, Z. Modeling water infiltration in a large layered soil column with a modified Green–Ampt model and HYDRUS-1D. Comput. Electron. Agr. 2010, 71, S40–S47. [Google Scholar] [CrossRef]
  36. Han, Y.; Luo, Y.; Yu, Q.; Zhang, H. Green-Ampt model of non-uniform layered soil profile. Chin. J. Eco-Agric. 2001, 9, 31–33. [Google Scholar]
  37. Doerr, S.H. On standardizing the ‘Water Drop Penetration Time’ and the ‘Molarity of an Ethanol Droplet’ techniques to classify soil hydrophobicity: A case study using medium textured soils. Earth Surf. Proc. Land. 2015, 23, 663–668. [Google Scholar] [CrossRef]
  38. Suits, L.D.; Sheahan, T.C.; Reis, R.M.; Sterck, W.N.; Ribeiro, A.B.; Dell’avanzi, E.; Saboya, F.; Tibana, S.; Marciano, C.R.; Sobrinho, R.R. Determination of the Soil-Water Retention Curve and the Hydraulic Conductivity Function Using a Small Centrifuge. Geotech. Test. J. 2011, 34, 457–466. [Google Scholar] [CrossRef]
  39. van Genuchten, M.T.; Leij, F.; Yates, S. The RETC Code for Quantifying the Hydraulic Functions of Unsaturated Soils; U.S. Salinity Laboratory, U.S. Department of Agriculture, Agricultural Research Service: Riverside, CA, USA, 1991. [Google Scholar]
  40. Stephens, D.B. A perspective on diffuse natural recharge mechanisms in areas of low precipitation. Soil. Sci. Soc. Am. J. 1994, 58, 40–48. [Google Scholar] [CrossRef]
  41. Kramers, G.; van Dam, J.C.; Ritsema, C.J.; Stagnitti, F.; Oostindie, K.; Dekker, L.W. A new modelling approach to simulate preferential flow and transport in water repellent porous media: Parameter sensitivity, and effects on crop growth and solute leaching. Soil. Res. 2005, 43, 371–382. [Google Scholar] [CrossRef]
  42. Dekker, L.W.; Jungerius, P.D. Water repellency in the dunes with special reference to The Netherlands. Catena 1990, 18, 173–183. [Google Scholar]
  43. Dekker, L.W.; Ritsema, C.J. Wetting patterns water variability in water repellent Dutch soils. J. Hydrol. 2000, 231, 148–164. [Google Scholar] [CrossRef]
  44. Rye, C.F.; Smettem, K.R.J. The effect of WRS surface layers on preferential flow and bare soil evaporation. Geoderma 2017, 289, 142–149. [Google Scholar] [CrossRef]
  45. del Vigo, Á.; Zubelzu, S.; Juana, L. Infiltration models and soil characterisation for hemispherical and disc sources based on Green-Ampt assumptions. J. Hydrol. 2021, 595, 125966. [Google Scholar] [CrossRef]
  46. Ali, S.; Islam, A.; Mishra, P.K.; Sikka, A.K. Green-Ampt approximations: A comprehensive analysis. J. Hydrol. 2016, 535, 340–355. [Google Scholar] [CrossRef]
  47. Durán-Barroso, P.; González, J.; Valdés, J.B. Improvement of the integration of Soil Moisture Accounting into the NRCS-CN model. J. Hydrol. 2016, 542, 809–819. [Google Scholar] [CrossRef]
  48. Pedescoll, A.; Samsó, R.; Romero, E.; Puigagut, J.; García, J. Reliability, repeatability and accuracy of the falling head method for hydraulic conductivity measurements under laboratory conditions. Ecol. Eng. 2011, 37, 754–757. [Google Scholar] [CrossRef]
  49. Keizer, J.J.; Doerr, S.H.; Malvar, M.C.; Ferreira, A.J.D.; Pereira, V.M.F.G. Temporal and spatial variations in topsoil water repellency throughout a crop-rotation cycle on sandy soil in north-central Portugal. Hydrol. Process. 2007, 21, 2317–2324. [Google Scholar] [CrossRef]
  50. Rodríguez-Alleres, M.; Benito, E.; de Blas, E. Extent and persistence of water repellency in north-western Spanish soils. Hydrol. Process 2007, 21, 2291–2299. [Google Scholar] [CrossRef]
Figure 1. Schematic diagram of the Green-Ampt model.
Figure 1. Schematic diagram of the Green-Ampt model.
Water 15 02925 g001
Figure 2. Relationship between the quantity of octadecylamine and the suction head under different computational methods: (a) VG model; (b) BC model; (c) GP model.
Figure 2. Relationship between the quantity of octadecylamine and the suction head under different computational methods: (a) VG model; (b) BC model; (c) GP model.
Water 15 02925 g002
Figure 3. The measured CI curve and simulated CI curves of the traditional and modified models.
Figure 3. The measured CI curve and simulated CI curves of the traditional and modified models.
Water 15 02925 g003
Figure 4. Measured infiltration rate curves and simulated infiltration rate curves of modified Green-Ampt model.
Figure 4. Measured infiltration rate curves and simulated infiltration rate curves of modified Green-Ampt model.
Water 15 02925 g004
Figure 5. Measured and simulated wetting front curves of the modified Green-Ampt model.
Figure 5. Measured and simulated wetting front curves of the modified Green-Ampt model.
Water 15 02925 g005
Table 1. Water repellency degree, quantity of octadecylamine (Qoc) per kg of soil, WDPT, Ks, and soil hydraulic parameters of soil water retention curve model.
Table 1. Water repellency degree, quantity of octadecylamine (Qoc) per kg of soil, WDPT, Ks, and soil hydraulic parameters of soil water retention curve model.
VGBC
WRSQocMeasured ValuesFitted ValuesFitted Values
Ksθrθsαnα′
g·kg–1cm·min−1cm3 m−3cm3·cm−3
Wettable00.03050.130.480.0131.2320.0237
Slightly0.20.02100.130.480.0181.2300.0283
Strongly0.40.01650.130.470.7971.1700.7162
Severely0.60.01250.130.4512.971.11210.086
Extremely1.00.00900.130.4071.311.107660.76
Table 2. Experimental treatments of WRS at different depths.
Table 2. Experimental treatments of WRS at different depths.
TreatmentsT0T1T2T3T4T5
Different depths(0–5 cm)WSTSESEEE
Water repellency degree(5–10 cm)WSLSLSTSTSE
Note: W, SL, ST, SE, and E in the table, respectively, represent wetting, slightly water-repellent, strongly water-repellent, severely water-repellent, and extremely water-repellent.
Table 3. RMSE values of the Green-Ampt model based on three computational methods of suction head.
Table 3. RMSE values of the Green-Ampt model based on three computational methods of suction head.
ModelTreatmentCumulative InfiltrationInfiltration RateWetting Front
Green-Ampt-VGT01.120.0270.916
T11.7920.0292.516
T21.3980.0474.230
T32.1040.0424.549
T41.6770.0385.758
T52.0870.0295.888
Average 1.6960.0363.976
Green-Ampt-BCT01.120.6268.097
T11.7920.03713.834
T21.3980.04816.912
T32.1040.04315.553
T41.6770.03817.757
T52.0870.02918.761
Average 1.8120.13715.152
Green-Ampt-GPT00.500.0312.458
T11.1850.1176.950
T20.7590.1779.350
T30.7300.2639.076
T40.4420.24410.720
T50.5460.21311.250
Average 0.6940.1748.301
Disclaimer/Publisher’s Note: The statements, opinions and data contained in all publications are solely those of the individual author(s) and contributor(s) and not of MDPI and/or the editor(s). MDPI and/or the editor(s) disclaim responsibility for any injury to people or property resulting from any ideas, methods, instructions or products referred to in the content.

Share and Cite

MDPI and ACS Style

Sun, Y.; Yang, Y.; Zhang, B.; Zhang, X.; Xu, Y.; Xiang, Y.; Chen, J. Applicability of the Modified Green-Ampt Model Based on Suction Head Calculation in Water-Repellent Soil. Water 2023, 15, 2925. https://doi.org/10.3390/w15162925

AMA Style

Sun Y, Yang Y, Zhang B, Zhang X, Xu Y, Xiang Y, Chen J. Applicability of the Modified Green-Ampt Model Based on Suction Head Calculation in Water-Repellent Soil. Water. 2023; 15(16):2925. https://doi.org/10.3390/w15162925

Chicago/Turabian Style

Sun, Yixiang, Yalong Yang, Bei Zhang, Xing Zhang, Yangyang Xu, Youzhen Xiang, and Junying Chen. 2023. "Applicability of the Modified Green-Ampt Model Based on Suction Head Calculation in Water-Repellent Soil" Water 15, no. 16: 2925. https://doi.org/10.3390/w15162925

APA Style

Sun, Y., Yang, Y., Zhang, B., Zhang, X., Xu, Y., Xiang, Y., & Chen, J. (2023). Applicability of the Modified Green-Ampt Model Based on Suction Head Calculation in Water-Repellent Soil. Water, 15(16), 2925. https://doi.org/10.3390/w15162925

Note that from the first issue of 2016, this journal uses article numbers instead of page numbers. See further details here.

Article Metrics

Back to TopTop