Influence of Blade Exit Angle on the Performance and Internal Flow Pattern of a High-Speed Electric Submersible Pump
Abstract
1. Introduction
2. Numerical Simulation Methods
2.1. Computational Models
2.2. Grid Division
2.3. Calculation Scheme and Boundary Conditions
2.4. Identification of Test Factors
3. Analysis of Numerical Simulation Results
3.1. Experimental Verification
3.1.1. Practical Experimental Control
3.1.2. Initial Model Impeller and Diffuser Flow Field Distribution under Different Flow Conditions
4. Analysis and Discussion
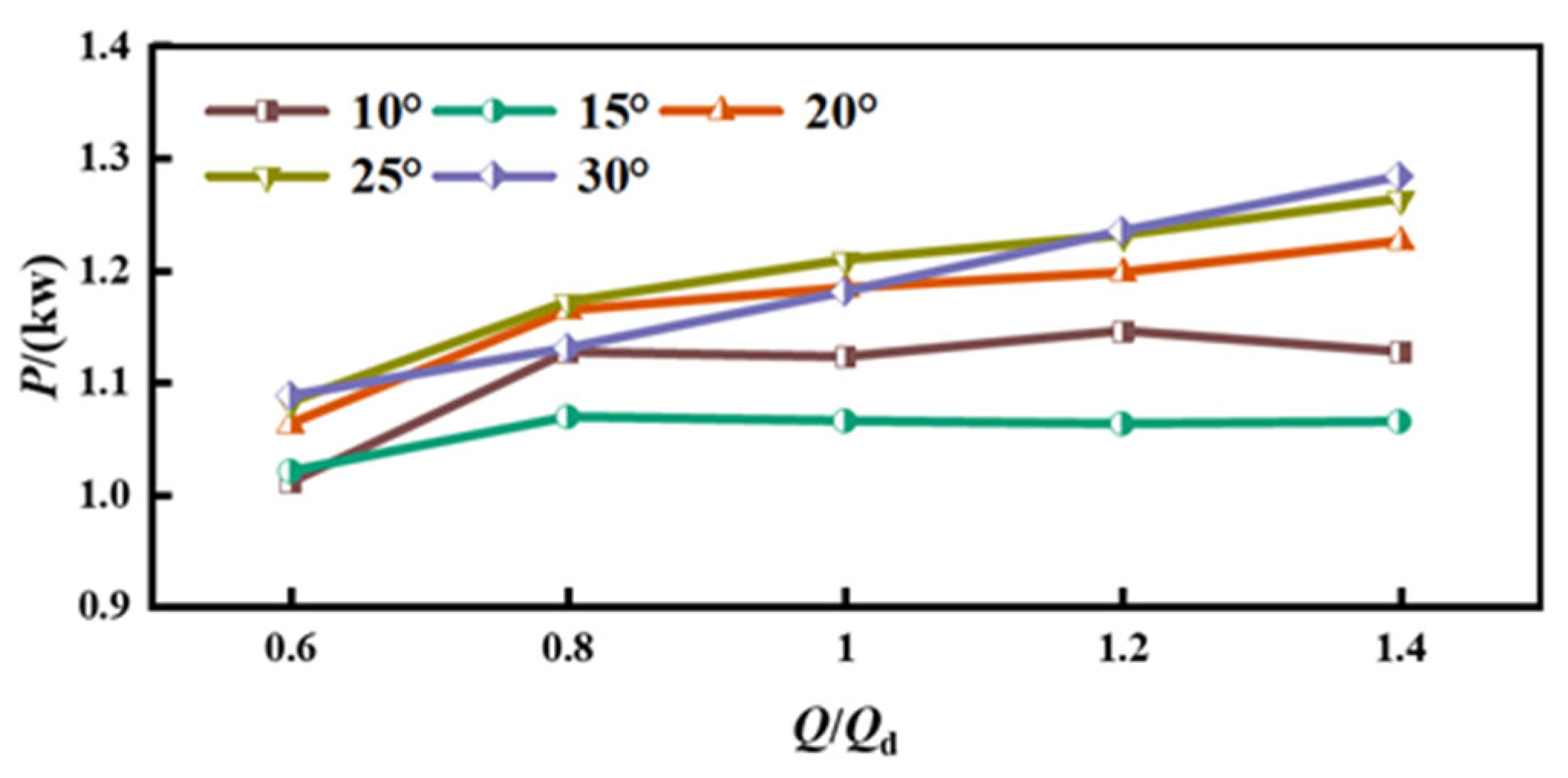
4.1. Effect of Different Blade Exit Placement Angles on External Characteristic Curves
4.2. Internal Flow Field Analysis
5. Conclusions
Author Contributions
Funding
Data Availability Statement
Conflicts of Interest
References
- Bai, L.; Zhou, L.; Han, C.; Zhou, Y.; Shi, W. Numerical study of pressure fluctuation and unsteady flow in a centrifugal pump. Processes 2019, 7, 354. [Google Scholar] [CrossRef]
- Petrochenkov, A.; Ilyushin, P.; Mishurinskikh, S.; Kozolov, A. Development of a Method for Improving the Energy Efficiency of Oil Production with an Electrical Submersible Pump. Inventions 2023, 8, 29. [Google Scholar] [CrossRef]
- Yang, Y.; Zhou, L.; Hang, J.; Du, D.; Shi, W.; He, Z. Energy characteristics and optimal design of diffuser meridian in an electrical submersible pump. Renew. Energy 2021, 167, 718–727. [Google Scholar] [CrossRef]
- Shi, W.D.; Lu, W.G.; Wang, H.L.; Li, Q.F. Research on the theory and design methods of the new type submersible pump for deep well. In Proceedings of the Fluids Engineering Division Summer Meeting, Vail, CO, USA, 2–6 August 2009; Volume 43727, pp. 91–97. [Google Scholar]
- Bai, L.; Yang, Y.; Zhou, L.; Li, Y.; Xiao, Y.; Shi, W. Optimal design and performance improvement of an electric submersible pump impeller based on Taguchi approach. Energy 2022, 252, 124032. [Google Scholar] [CrossRef]
- Aydin, H.; Merey, S. Design of Electrical Submersible Pump system in geothermal wells: A case study from West Anatolia, Turkey. Energy 2021, 230, 120891. [Google Scholar] [CrossRef]
- Zhu, J.; Banjar, H.; Xia, Z.; Zhang, H.-Q. CFD simulation and experimental study of oil viscosity effect on multi-stage electrical submersible pump (ESP) performance. J. Pet. Sci. Eng. 2016, 146, 735–745. [Google Scholar] [CrossRef]
- Fengwu, Z. Electric submersible Pump lifting process optimization. In Proceedings of the 2013 2nd International Conference on Measurement, Information and Control, Harbin, China, 16–18 August 2013; Volume 2, pp. 1328–1331. [Google Scholar]
- Li, J.; Tang, L.; Zhang, Y. The influence of blade angle on the performance of plastic centrifugal pump. Adv. Mater. Sci. Eng. 2020, 2020, 1–20. [Google Scholar] [CrossRef]
- Neverov, V.V.; Kozhukhov, Y.V.; Yablokov, A.M.; Lebedev, A.A. Optimization of a centrifugal compressor impeller using CFD: The choice of simulation model parameters. IOP Conf. Ser. Mater. Sci. Eng. 2017, 232, 012037. [Google Scholar] [CrossRef]
- Siddique, M.H.; Mrinal, K.R.; Samad, A. Optimization of a centrifugal pump impeller by controlling blade profile parameters. In Turbo Expo: Power for Land, Sea, and Air; American Society of Mechanical Engineers: New York, NY, USA, 2016; Volume 49712, p. V02CT45A009. [Google Scholar]
- Firatoglu, Z.A.; Alihanoglu, M.N. Investigation of the effect of the stages Number, the impeller outlet width, and the impeller outlet angle on the performance of an industrial electric submersible pump. J. Fluids Eng. 2022, 144, 081203. [Google Scholar] [CrossRef]
- Arocena, V.M.; Abuan, B.E.; Reyes, J.G.T.; Rodgers, P.L.; Danao, L.A.M. Numerical Investigation of the Performance of a Submersible Pump: Prediction of Recirculation, Vortex Formation, and Swirl Resulting from Off-Design Operating Conditions. Energies 2021, 14, 5082. [Google Scholar] [CrossRef]
- Qingshun, W.; Xihuan, S.; Shamseldin, A.Y.; Chaoqun, L. Impacts of blade inlet angle of diffuser on the performance of a submersible pump. Proc. Inst. Mech. Eng. Part E J. Process Mech. Eng. 2020, 234, 613–623. [Google Scholar] [CrossRef]
- Yuanyi, L.; Yongyan, L.; Ruiguang, L. The Effect of the Clearance Value of Impeller and Draft-tube for the Performance of Stamping Multistage Centrifugal Pumps. In Proceedings of the 2009 International Conference on Computer and Communications Security, Hong Kong, 5–6 December 2009; pp. 142–145. [Google Scholar]
- Shuiguang, T.; Hang, Z.; Huiqin, L.; Yue, Y.; Jinfu, L.; Feiyun, C. Multi-objective optimization of multistage centrifugal pump based on surrogate model. J. Fluids Eng. 2020, 142, 011101. [Google Scholar] [CrossRef]
- Zhu, J.; Zhu, H.; Zhang, J.; Zhang, H.-Q. A numerical study on flow patterns inside an electrical submersible pump (ESP) and comparison with visualization experiments. J. Pet. Sci. Eng. 2019, 173, 339–350. [Google Scholar] [CrossRef]
- Yu, E.S.; Myoung, B.; Mun, D.; Lee, J.; Lee, J.Y.; Kil, W. Development of an UG NX-based Plug-in Type System for the Simplification of 3D CAD Assembly Models. Trans. Korean Soc. Mech. Eng. A 2017, 41, 1239–1246. [Google Scholar]





















| Design Parameters | Takes Values |
|---|---|
| Rated point head | 22 m |
| Rated point flow | 13 m3/h |
| Impeller inlet diameter | 40 mm |
| Impeller outlet diameter | 80 mm |
| Impeller outlet width | 9.5 mm |
| Blade wrap angle | 108° |
| Blade exit placement angle | 22° |
| Diameter of guide lobe inlet | 85.2 mm |
| Case | Global Maximum Mesh Size/mm | Number of Elements | Efficiency/% | Head/m | Power/kW |
|---|---|---|---|---|---|
| 1 | 2 | 3,302,394 | 54.1 | 56.22 | 3.68 |
| 2 | 1 | 4,395,402 | 53.5 | 56.31 | 3.73 |
| 3 | 0.5 | 14,853,198 | 53.3 | 56.25 | 3.74 |
| Q/(m3/h) | Inlet Pressure /kPa | Outlet Pressure/kPa | H/m | P/kW | η/% |
|---|---|---|---|---|---|
| 0 | 0 | 1304 | 22.21 | 0.60 | 0.00 |
| 2.02 | 0 | 1260 | 21.46 | 0.71 | 20.24 |
| 4.01 | 0 | 1200 | 20.45 | 0.79 | 34.39 |
| 6.01 | 0 | 1129 | 19.25 | 0.87 | 44.27 |
| 8.06 | 0 | 1066 | 18.16 | 0.94 | 51.83 |
| 10.01 | 0 | 982 | 16.75 | 0.98 | 57.07 |
| 12.01 | 0 | 870 | 14.83 | 0.99 | 59.76 |
| 14.05 | 0 | 729 | 12.45 | 0.97 | 59.88 |
| 16.03 | 0 | 566 | 9.66 | 0.91 | 55.98 |
| 18.06 | 0 | 393 | 6.73 | 0.85 | 47.44 |
| 20 | 0 | 231 | 3.98 | 0.72 | 34.51 |
| Power/kW | Efficiency/% | Head/m | ||||
|---|---|---|---|---|---|---|
| Flow Rate Conditions | 10° | 25° | 10° | 25° | 10° | 25° |
| 0.6 Q | 1.01 | 1.08 | 43.4 | 40.4 | 20.64 | 20.62 |
| 1.0 Q | 1.12 | 1.21 | 53.8 | 52.4 | 17.1 | 17.9 |
| 1.4 Q | 1.13 | 1.26 | 55.8 | 54.1 | 12.7 | 13.8 |
Disclaimer/Publisher’s Note: The statements, opinions and data contained in all publications are solely those of the individual author(s) and contributor(s) and not of MDPI and/or the editor(s). MDPI and/or the editor(s) disclaim responsibility for any injury to people or property resulting from any ideas, methods, instructions or products referred to in the content. |
© 2023 by the authors. Licensee MDPI, Basel, Switzerland. This article is an open access article distributed under the terms and conditions of the Creative Commons Attribution (CC BY) license (https://creativecommons.org/licenses/by/4.0/).
Share and Cite
Han, C.; Liu, J.; Yang, Y.; Chen, X. Influence of Blade Exit Angle on the Performance and Internal Flow Pattern of a High-Speed Electric Submersible Pump. Water 2023, 15, 2774. https://doi.org/10.3390/w15152774
Han C, Liu J, Yang Y, Chen X. Influence of Blade Exit Angle on the Performance and Internal Flow Pattern of a High-Speed Electric Submersible Pump. Water. 2023; 15(15):2774. https://doi.org/10.3390/w15152774
Chicago/Turabian StyleHan, Chen, Junze Liu, Yang Yang, and Xionghuan Chen. 2023. "Influence of Blade Exit Angle on the Performance and Internal Flow Pattern of a High-Speed Electric Submersible Pump" Water 15, no. 15: 2774. https://doi.org/10.3390/w15152774
APA StyleHan, C., Liu, J., Yang, Y., & Chen, X. (2023). Influence of Blade Exit Angle on the Performance and Internal Flow Pattern of a High-Speed Electric Submersible Pump. Water, 15(15), 2774. https://doi.org/10.3390/w15152774

