Using Natural and Artificial Microalgal-Bacterial Granular Sludge for Wastewater Effluent Polishing
Abstract
1. Introduction
2. Materials and Methods
2.1. Wastewater Effluent
2.2. Experimental Setup
2.3. Analytical Methods
2.4. Statistical Analysis
3. Results and Discussion
3.1. Granular Characteristics and Changes in Chl Content
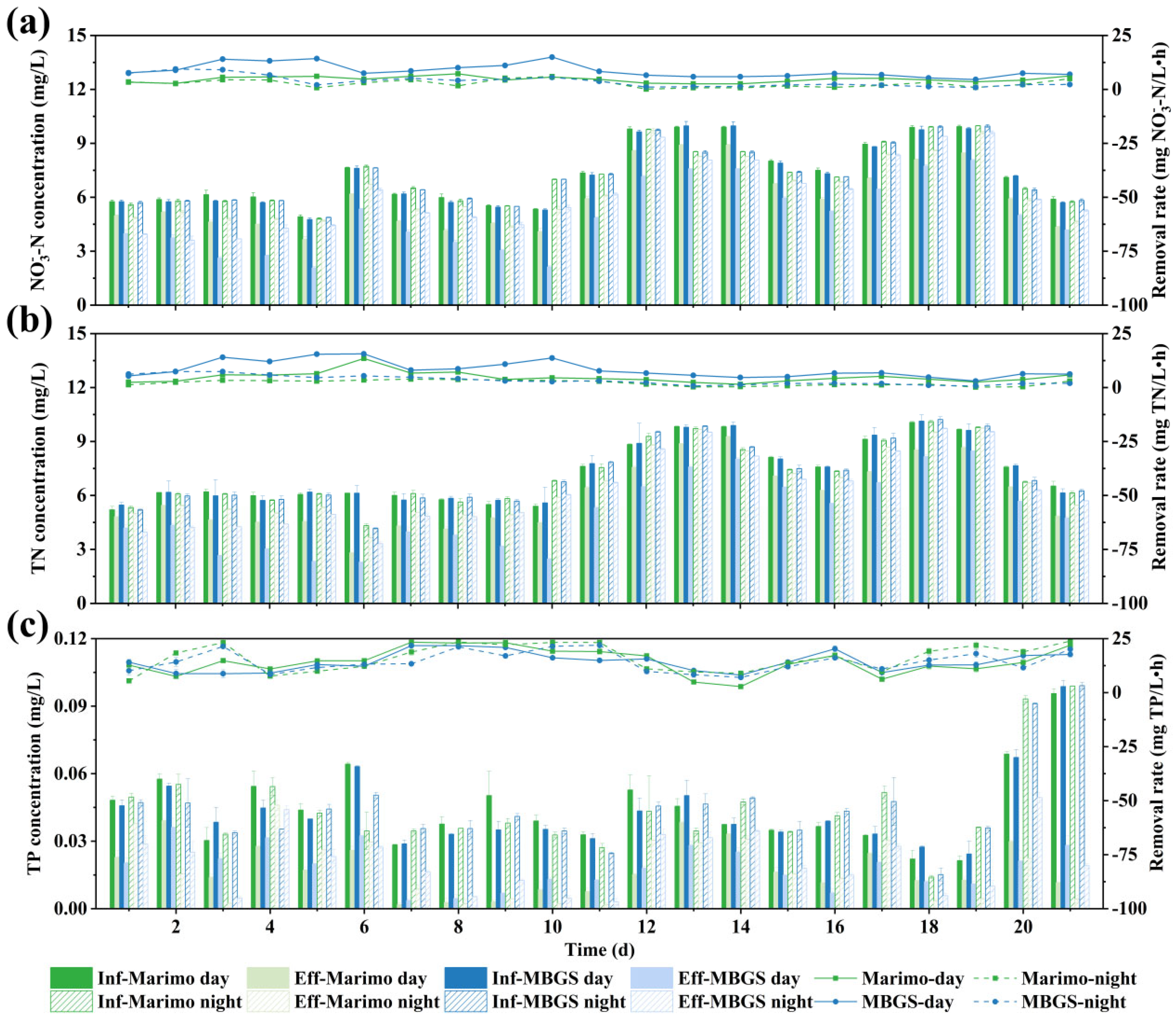
3.2. Reactor Performance
3.3. Microbial Community and Gene Functional Analysis
4. Conclusions
Author Contributions
Funding
Data Availability Statement
Conflicts of Interest
References
- Chen, Z.; Wu, G.; Wu, Y.; Wu, Q.; Shi, Q.; Ngo, H.H.; Vargas Saucedo, O.A.; Hu, H. Water Eco-Nexus Cycle System (WaterEcoNet) as a key solution for water shortage and water environment problems in urban areas. Water Cycle 2020, 1, 71–77. [Google Scholar] [CrossRef]
- Wang, D.; Hubacek, K.; Shan, Y.; Gerbens-Leenes, W.; Liu, J. A Review of Water Stress and Water Footprint Accounting. Water 2021, 13, 201. [Google Scholar] [CrossRef]
- UN-Water. The United Nations World Water Development Report 2018; United Nations Educational, Scientific and Cultural Organization: Paris, France, 2018. [Google Scholar]
- Capodaglio, A.G. Fit-for-purpose urban wastewater reuse: Analysis of issues and available technologies for sustainable multiple barrier approaches. Crit. Rev. Env. Sci. Tec. 2020, 51, 1619–1666. [Google Scholar] [CrossRef]
- He, C.; Liu, Z.; Wu, J.; Pan, X.; Fang, Z.; Li, J.; Bryan, B.A. Future global urban water scarcity and potential solutions. Nat. Commun. 2021, 12, 4667. [Google Scholar] [CrossRef]
- Diatta, J.; Waraczewska, Z.; Grzebisz, W.; Niewiadomska, A.; Tatuśko-Krygier, N. Eutrophication Induction Via N/P and P/N Ratios Under Controlled Conditions—Effects of Temperature and Water Sources. Water Air Soil Pollut. 2020, 231, 149. [Google Scholar] [CrossRef]
- Preisner, M.; Neverova-Dziopak, E.; Kowalewski, Z. Analysis of eutrophication potential of municipal wastewater. Water Sci. Technol. 2020, 81, 1994–2003. [Google Scholar] [CrossRef]
- Khilchevskyi, V.; Karamushka, V. Global Water Resources: Distribution and Demand. Clean Water Sanit. 2021, 1, 11. [Google Scholar] [CrossRef]
- Gul, A.; Khaligh, N.G.; Julkapli, N.M. Surface modification of Carbon-Based Nanoadsorbents for the Advanced Wastewater Treatment. J. Mol. Struct. 2021, 1235, 130148. [Google Scholar] [CrossRef]
- Lugo, A.; Xu, X.; Abeysiriwardana-Arachchige, I.S.A.; Bandara, G.L.C.L.; Nirmalakhandan, N.; Xu, P. Techno-economic assessment of a novel algal-membrane system versus conventional wastewater treatment and advanced potable reuse processes: Part II. J. Environ. Manag. 2023, 331, 117189. [Google Scholar] [CrossRef]
- Ross, B.N.; Lancellotti, B.V.; Brannon, E.Q.; Loomis, G.W.; Amador, J.A. Greenhouse gas emissions from advanced nitrogen-removal onsite wastewater treatment systems. Sci. Total Environ. 2020, 737, 140399. [Google Scholar] [CrossRef]
- Du, W.; Lu, J.; Hu, Y.; Xiao, J.; Yang, C.; Wu, J.; Huang, B.; Cui, S.; Wang, Y.; Li, W. Spatiotemporal pattern of greenhouse gas emissions in China’s wastewater sector and pathways towards carbon neutrality. Nat. Water 2023, 1, 166–175. [Google Scholar] [CrossRef]
- Ghimire, U.; Sarpong, G.; Gude, V.G. Transitioning Wastewater Treatment Plants toward Circular Economy and Energy Sustainability. ACS Omega 2021, 6, 11794–11803. [Google Scholar] [CrossRef]
- Zaborowska, E.; Czerwionka, K.; Mąkinia, J. Integrated plant-wide modelling for evaluation of the energy balance and greenhouse gas footprint in large wastewater treatment plants. Appl. Energ. 2021, 282, 116126. [Google Scholar] [CrossRef]
- Zhou, Q.; Sun, H.; Jia, L.; Wu, W.; Wang, J. Simultaneous biological removal of nitrogen and phosphorus from secondary effluent of wastewater treatment plants by advanced treatment: A review. Chemosphere 2022, 296, 134054. [Google Scholar] [CrossRef]
- Saravanan, A.; Kumar, P.S.; Varjani, S.; Jeevanantham, S.; Yaashikaa, P.R.; Thamarai, P.; Abirami, B.; George, C.S. A review on algal-bacterial symbiotic system for effective treatment of wastewater. Chemosphere 2021, 271, 129540. [Google Scholar] [CrossRef]
- Jiang, L.; Li, Y.; Pei, H. Algal–bacterial consortia for bioproduct generation and wastewater treatment. Renew. Sustain. Energ. Rev. 2021, 149, 111395. [Google Scholar] [CrossRef]
- Ji, B.; Liu, Y. Assessment of Microalgal-Bacterial Granular Sludge Process for Environmentally Sustainable Municipal Wastewater Treatment. ACS EST Water 2021, 1, 2459–2469. [Google Scholar] [CrossRef]
- Ji, B.; Shi, Y.; Yılmaz, M. Microalgal-bacterial granular sludge process for sustainable municipal wastewater treatment: Simple organics versus complex organics. J. Water Process Eng. 2022, 46, 102613. [Google Scholar] [CrossRef]
- Nakayama, K.; Komai, K.; Ogata, K.; Yamada, T.; Sato, Y.; Sano, F.; Horii, S.; Somiya, Y.; Kumamoto, E.; Oyama, Y. The structure and formation of giant Marimo (Aegagropila linnaei) in Lake Akan, Japan. Sci. Rep. 2021, 11, 22017. [Google Scholar] [CrossRef]
- Umekawa, T.; Wakana, I.; Ohara, M. Reproductive behavior and role in maintaining an aggregative form of the freshwater green alga Marimo, Aegagropila linnaei, in Lake Akan, Hokkaido, Japan. Aquat. Bot. 2021, 168, 103309. [Google Scholar] [CrossRef]
- Song, Q.; Kong, F.; Liu, B.; Song, X.; Ren, N.; Ren, H. Insights into the Effect of Rhamnolipids on the Anaerobic Fermentation and Microalgae Lipid Production of Waste Activated Sludge: Performance and Mechanisms. ACS EST Eng. 2023, 3, 438–448. [Google Scholar] [CrossRef]
- Song, X.; Kong, F.; Liu, B.; Song, Q.; Ren, N.; Ren, H. Thallium-mediated NO signaling induced lipid accumulation in microalgae and its role in heavy metal bioremediation. Water Res. 2023, 239, 120027. [Google Scholar] [CrossRef]
- Sun, P.; Liu, C.; Li, A.; Ji, B. Using carbon dioxide-added microalgal-bacterial granular sludge for carbon-neutral municipal wastewater treatment under outdoor conditions: Performance, granule characteristics and environmental sustainability. Sci. Total Environ. 2022, 848, 157657. [Google Scholar] [CrossRef]
- American Public Health Association. Standard Methods for the Examination of Water and Wastewater; American Public Health Association: Washington, DC, USA, 2005. [Google Scholar]
- Lee, C.S.; Lee, S.; Ko, S.; Oh, H.; Ahn, C. Effects of photoperiod on nutrient removal, biomass production, and algal-bacterial population dynamics in lab-scale photobioreactors treating municipal wastewater. Water Res. 2015, 68, 680–691. [Google Scholar] [CrossRef]
- Shi, Y.; Ji, B.; Zhang, X.; Liu, Y. Auto-floating oxygenic microalgal-bacterial granular sludge. Sci. Total Environ. 2023, 856, 159175. [Google Scholar] [CrossRef]
- Jia, Y.; Wen, Z.; Shang-Guan, Y.; Li, Z. Aerobic granulation in an oxidation ditch using the residual sludge after extracting slime-extracellular polymer substances. J. Water Process Eng. 2023, 54, 103978. [Google Scholar] [CrossRef]
- Chini Zittelli, G.; Mugnai, G.; Milia, M.; Cicchi, B.; Silva Benavides, A.M.; Angioni, A.; Addis, P.; Torzillo, G. Effects of blue, orange and white lights on growth, chlorophyll fluorescence, and phycocyanin production of Arthrospira platensis cultures. Algal Res. 2022, 61, 102583. [Google Scholar] [CrossRef]
- Zhang, F.; Ma, C.; Huang, X.; Liu, J.; Lu, L.; Peng, K.; Li, S. Research progress in solid carbon source–based denitrification technologies for different target water bodies. Sci. Total Environ. 2021, 782, 146669. [Google Scholar] [CrossRef]
- Rivett, M.O.; Buss, S.R.; Morgan, P.; Smith, J.W.N.; Bemment, C.D. Nitrate attenuation in groundwater: A review of biogeochemical controlling processes. Water Res. 2008, 42, 4215–4232. [Google Scholar] [CrossRef]
- Zhang, M.; Lu, H.; Cai, L.; Sun, P.; Ma, B.; Li, J.; Chen, G.; Ruan, Y. C/N ratios inform sustainable aerobic denitrification for nitrogen pollution conctrol: Insights into the key parameter from a view of metabolic division. J. Clean Prod. 2023, 414, 137565. [Google Scholar] [CrossRef]
- Gu, X.; Leng, J.; Zhu, J.; Zhang, K.; Zhao, J.; Wu, P.; Xing, Q.; Tang, K.; Li, X.; Hu, B. Influence mechanism of C/N ratio on heterotrophic nitrification- aerobic denitrification process. Bioresour. Technol. 2022, 343, 126116. [Google Scholar] [CrossRef]
- Hu, B.; Quan, J.; Huang, K.; Zhao, J.; Xing, G.; Wu, P.; Chen, Y.; Ding, X.; Hu, Y. Effects of C/N ratio and dissolved oxygen on aerobic denitrification process: A mathematical modeling study. Chemosphere 2021, 272, 129521. [Google Scholar] [CrossRef]
- Yan, L.; Liu, S.; Liu, Q.; Zhang, M.; Liu, Y.; Wen, Y.; Chen, Z.; Zhang, Y.; Yang, Q. Improved performance of simultaneous nitrification and denitrification via nitrite in an oxygen-limited SBR by alternating the DO. Bioresour. Technol. 2019, 275, 153–162. [Google Scholar] [CrossRef]
- Ji, B.; Yang, K.; Zhu, L.; Jiang, Y.; Wang, H.; Zhou, J.; Zhang, H. Aerobic denitrification: A review of important advances of the last 30 years. Biotechnol. Bioproc. E. 2015, 20, 643–651. [Google Scholar] [CrossRef]
- Ji, B.; Zhang, M.; Wang, L.; Wang, S.; Liu, Y. Removal mechanisms of phosphorus in non-aerated microalgal-bacterial granular sludge process. Bioresour. Technol. 2020, 312, 123531. [Google Scholar] [CrossRef]
- Yu, C.; Huang, X.; Chen, H.; Godfray, H.C.J.; Wright, J.S.; Hall, J.W.; Gong, P.; Ni, S.; Qiao, S.; Huang, G.; et al. Managing nitrogen to restore water quality in China. Nature 2019, 567, 516–520. [Google Scholar] [CrossRef]
- Gomila, M.; GascÃ, J.; Busquets, A.; Gil, J.; Bernabeu, R.; Buades, J.M.; Lalucat, J. Identification of culturable bacteria present in haemodialysis water and fluid. Fems. Microbiol. Ecol. 2005, 52, 101–114. [Google Scholar] [CrossRef]
- Guo, J.; Li, Q.; Gao, Q.; Shen, F.; Yang, Y.; Zhang, X.; Luo, H. Comparative study on the treatment of swine wastewater by VFCW-MFC and VFCW: Pollutants removal, electricity generation, microorganism community. J. Environ. Manag. 2023, 342, 118299. [Google Scholar] [CrossRef]
- Xu, H.; Song, H.; Singh, R.P.; Yang, Y.; Xu, J.; Yang, X. Simultaneous reduction of antibiotics leakage and methane emission from constructed wetland by integrating microbial fuel cell. Bioresour. Technol. 2021, 320, 124285. [Google Scholar] [CrossRef]
- Becerra-Castro, C.; Macedo, G.; Silva, A.M.T.; Manaia, C.M.; Nunes, O.C. Proteobacteria become predominant during regrowth after water disinfection. Sci. Total Environ. 2016, 573, 313–323. [Google Scholar] [CrossRef]
- Ji, B.; Zhang, M.; Gu, J.; Ma, Y.; Liu, Y. A self-sustaining synergetic microalgal-bacterial granular sludge process towards energy-efficient and environmentally sustainable municipal wastewater treatment. Water Res. 2020, 179, 115884. [Google Scholar] [CrossRef]
- Chen, Z.; Chang, Z.; Qiao, L.; Wang, J.; Yang, L.; Liu, Y.; Song, X.; Li, J. Nitrogen removal performance and microbial diversity of bioreactor packed with cellulosic carriers in recirculating aquaculture system. Int. Biodeter. Biodegr. 2021, 157, 105157. [Google Scholar] [CrossRef]
- Lv, Y.; Chen, X.; Zhang, X.; Zhu, C.; Pan, Y.; Sun, T.; Wang, L. Denitrification for acidic wastewater treatment: Long-term performance, microbial communities, and nitrous oxide emissions. J. Biosci. Bioeng. 2022, 134, 513–520. [Google Scholar] [CrossRef]
- Wang, Q.; He, J. Complete nitrogen removal via simultaneous nitrification and denitrification by a novel phosphate accumulating Thauera sp. strain SND5. Water Res. 2020, 185, 116300. [Google Scholar] [CrossRef]






| Time | Dissolved Oxygen Concentration (mg/L) | |||||||
|---|---|---|---|---|---|---|---|---|
| Light | Dark | |||||||
| Influent | Effluent | Influent | Effluent | |||||
| Marimo | MBGS | Marimo | MBGS | Marimo | MBGS | Marimo | MBGS | |
| 1 | 6.74 | 6.74 | 13.00 | 15.40 | 9.51 | 10.71 | 6.54 | 4.46 |
| 2 | 6.49 | 5.45 | 16.40 | 16.75 | 11.53 | 11.71 | 5.80 | 4.04 |
| 3 | 5.95 | 5.07 | 15.47 | 16.54 | 10.79 | 11.33 | 4.40 | 3.47 |
| 4 | 5.53 | 5.06 | 18.20 | 20.00 | 12.20 | 13.10 | 4.43 | 4.52 |
| 5 | 5.22 | 5.27 | 18.58 | 19.07 | 11.81 | 12.05 | 4.99 | 3.69 |
| 6 | 5.43 | 4.78 | 9.50 | 17.97 | 7.31 | 11.54 | 6.12 | 4.26 |
| 7 | 5.73 | 4.80 | 14.40 | 14.57 | 9.81 | 9.90 | 3.17 | 5.12 |
| 8 | 4.31 | 5.28 | 16.07 | 17.50 | 10.84 | 11.55 | 4.56 | 5.06 |
| 9 | 5.32 | 5.57 | 15.33 | 13.82 | 10.43 | 9.68 | 4.72 | 3.75 |
| 10 | 5.22 | 4.74 | 14.37 | 10.11 | 9.50 | 7.37 | 3.05 | 1.46 |
| 11 | 4.32 | 3.52 | 14.57 | 16.64 | 9.98 | 11.02 | 3.25 | 3.27 |
| 12 | 4.35 | 4.36 | 15.12 | 20.59 | 10.45 | 13.19 | 5.20 | 5.74 |
| 13 | 5.32 | 5.59 | 15.01 | 17.12 | 10.15 | 11.20 | 4.59 | 6.24 |
| 14 | 4.97 | 5.79 | 14.23 | 17.34 | 10.46 | 12.02 | 5.05 | 6.12 |
| 15 | 5.24 | 5.78 | 14.78 | 16.73 | 10.20 | 11.18 | 4.22 | 8.73 |
| 16 | 4.95 | 7.21 | 16.70 | 16.84 | 11.20 | 11.27 | 6.73 | 9.78 |
| 17 | 6.22 | 7.74 | 15.30 | 16.69 | 10.48 | 11.18 | 4.91 | 9.10 |
| 18 | 5.28 | 7.38 | 19.85 | 16.46 | 12.60 | 10.90 | 4.85 | 7.54 |
| 19 | 5.01 | 6.36 | 18.79 | 14.55 | 11.94 | 9.82 | 5.15 | 9.14 |
| 20 | 5.39 | 7.38 | 18.74 | 13.04 | 11.89 | 9.04 | 6.97 | 7.26 |
| 21 | 6.30 | 6.45 | 17.96 | 16.36 | 11.90 | 11.10 | 4.58 | 9.59 |
Disclaimer/Publisher’s Note: The statements, opinions and data contained in all publications are solely those of the individual author(s) and contributor(s) and not of MDPI and/or the editor(s). MDPI and/or the editor(s) disclaim responsibility for any injury to people or property resulting from any ideas, methods, instructions or products referred to in the content. |
© 2023 by the authors. Licensee MDPI, Basel, Switzerland. This article is an open access article distributed under the terms and conditions of the Creative Commons Attribution (CC BY) license (https://creativecommons.org/licenses/by/4.0/).
Share and Cite
Wang, Y.; Sun, P.; Lin, M.; He, Q.; Ji, B. Using Natural and Artificial Microalgal-Bacterial Granular Sludge for Wastewater Effluent Polishing. Water 2023, 15, 2605. https://doi.org/10.3390/w15142605
Wang Y, Sun P, Lin M, He Q, Ji B. Using Natural and Artificial Microalgal-Bacterial Granular Sludge for Wastewater Effluent Polishing. Water. 2023; 15(14):2605. https://doi.org/10.3390/w15142605
Chicago/Turabian StyleWang, Yihang, Penghui Sun, Min Lin, Qiulai He, and Bin Ji. 2023. "Using Natural and Artificial Microalgal-Bacterial Granular Sludge for Wastewater Effluent Polishing" Water 15, no. 14: 2605. https://doi.org/10.3390/w15142605
APA StyleWang, Y., Sun, P., Lin, M., He, Q., & Ji, B. (2023). Using Natural and Artificial Microalgal-Bacterial Granular Sludge for Wastewater Effluent Polishing. Water, 15(14), 2605. https://doi.org/10.3390/w15142605

