Driving Forces and Influences of Flood Diversion on Discharge Fraction and Peak Water Levels at an H-Shaped Compound River Node in the Pearl River Delta, South China
Abstract
1. Introduction
2. Study Area and Data
2.1. Study Area
2.2. Data Description
2.3. Historical Floods and Stage-Flow Curves
3. Barotropic Modeling of Flow
3.1. Model Setup
3.2. Model Calibration and Validation
3.3. Scenario Simulations
4. Results
4.1. Model Calibration and Validation
4.2. Flood Event Simulation
4.2.1. Flood Event in 2005
4.2.2. Flood Event in 2006
4.2.3. Flood Event in 2022
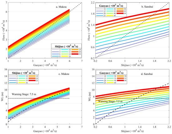
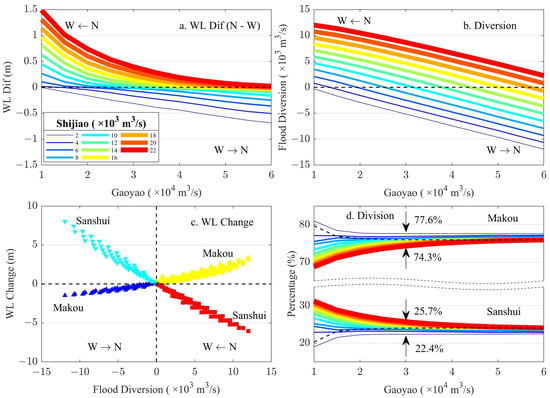
4.3. Flood Scenario Simulation
5. Discussion
5.1. Diversion Force and Hydraulic Equilibrium
5.2. Diversion Influence on Peak Water Levels
5.3. Diversion Impact on Discharge Fraction
6. Conclusions
Author Contributions
Funding
Data Availability Statement
Acknowledgments
Conflicts of Interest
References
- Kleinhans, M.G.; Jagers, H.; Mosselman, E.; Sloff, C.J. Bifurcation dynamics and avulsion duration in meandering rivers by one-dimensional and three-dimensional models. Water Resour. Res. 2008, 44, W08454. [Google Scholar] [CrossRef]
- Bolla Pittaluga, M.; Repetto, R.; Tubino, M. Channel bifurcation in braided rivers: Equilibrium configurations and stability. Water Resour. Res. 2003, 39, 1046. [Google Scholar] [CrossRef]
- Ramamurthy, A.S.; Qu, J.; Vo, D. Numerical and experimental study of dividing open-channel flows. J. Hydraul. Eng. 2007, 133, 1135–1144. [Google Scholar] [CrossRef]
- Buschman, F.A.; Hoitink, A.; van der Vegt, M.; Hoekstra, P. Subtidal flow division at a shallow tidal junction. Water Resour. Res. 2010, 46, W12515. [Google Scholar] [CrossRef]
- Kleinhans, M.G.; Wilbers, A.; Ten Brinke, W. Opposite hysteresis of sand and gravel transport upstream and downstream of a bifurcation during a flood in the River Rhine, the Netherlands. Neth. J. Geosci./Geol. Mijnb. 2007, 86, 273–285. [Google Scholar] [CrossRef]
- Sassi, M.G.; Hoitink, A.; De Brye, B.; Vermeulen, B.; Deleersnijder, E. Tidal impact on the division of river discharge over distributary channels in the Mahakam Delta. Ocean. Dyn. 2011, 61, 2211–2228. [Google Scholar] [CrossRef]
- Sassi, M.G.; Hoitink, A.; Vermeulen, B.; Hidayat, H. Sediment discharge division at two tidally influenced river bifurcations. Water Resour. Res. 2013, 49, 2119–2134. [Google Scholar] [CrossRef]
- Ji, X.; Zhang, W. Tidal influence on the discharge distribution over the Pearl River Delta, China. Reg. Stud. Mar. Sci. 2019, 31, 100791. [Google Scholar] [CrossRef]
- Davoren, A.; Mosley, M.P. Observations of bedload movement, bar development and sediment supply in the braided Ohau River. Earth Surf. Process. Landf. 1986, 11, 643–652. [Google Scholar] [CrossRef]
- Ferguson, R.I.; Ashmore, P.E.; Ashworth, P.J.; Paola, C.; Prestegaard, K.L. Measurements in a braided river chute and lobe: 1. Flow pattern, sediment transport, and channel change. Water Resour. Res. 1992, 28, 1877–1886. [Google Scholar] [CrossRef]
- Ferguson, R.I. Understanding braiding processes in gravel-bed rivers: Progress and unsolved problems. Geol. Soc. Lond. Spec. Publ. 1993, 75, 73–87. [Google Scholar] [CrossRef]
- Ashmore, P.E.; Ferguson, R.I.; Prestegaard, K.L.; Ashworth, P.J.; Paola, C. Secondary flow in anabranch confluences of a braided, gravel-bed stream. Earth Surf. Process. Landf. 1992, 17, 299–311. [Google Scholar] [CrossRef]
- Best, J.L. Flow Dynamics at River Channel Confluences: Implications for Sediment Transport and Bed Morphology. In Recent Developments in Fluvial Sedimentology; Ethridge, F.G., Flores, R.M., Harvey, M.D., Eds.; Society of Economic Paleontologists and Mineralogists: Washington, DC, USA, 1987; Volume 39, pp. 27–35. [Google Scholar] [CrossRef]
- Best, J.L.; Roy, A.G. Mixing-layer distortion at the confluence of channels of different depth. Nature 1991, 350, 411–413. [Google Scholar] [CrossRef]
- Wang, Z.B.; De Vries, M.; Fokkink, R.J.; Langerak, A. Stability of river bifurcations in 1D morphodynamic models. J. Hydraul. Res. 1995, 33, 739–750. [Google Scholar] [CrossRef]
- Kleinhans, M.G.; Ferguson, R.I.; Lane, S.N.; Hardy, R.J. Splitting rivers at their seams: Bifurcations and avulsion. Earth Surf. Process. Landf. 2013, 38, 47–61. [Google Scholar] [CrossRef]
- Bertoldi, W.; Tubino, M. River bifurcations: Experimental observations on equilibrium configurations. Water Resour. Res. 2007, 43, W10437. [Google Scholar] [CrossRef]
- Ying, Z.; Chen, Z.; So, C.L. Formation and Evolution of the X-Shape waterways by Sixianjiao Channel. Sun Yat-Sen Univ. Forum 1988, 2, 8–14. (In Chinese) [Google Scholar]
- Zeng, Z.; Huang, S. Study on the historical geomorphology of the convergence area of branching channels in the Pearl River Delta, taking the development of a sandbar in Sixianjiao as an example. Pearl River 1982, 4, 25–29. (In Chinese) [Google Scholar]
- Xie, P.; Tang, Y.; Chen, G.; Li, C. Variation analysis of hydrological and sediment series in North River and West River Delta: Case study of Makou Station and Sanshui Station. J. Sediment Res. 2010, 5, 26–31. (In Chinese) [Google Scholar]
- Zhang, W.; Cao, Y.; Zhu, Y.; Wu, Y.; Ji, X.; He, Y.; Xu, Y.; Wang, W. Flood frequency analysis for alterations of extreme maximum water levels in the Pearl River Delta. Ocean. Eng. 2017, 129, 117–132. [Google Scholar] [CrossRef]
- Mel, R.A.; Viero, D.P.; Carniello, L.; D’Alpaos, L. Multipurpose Use of Artificial Channel Networks for Flood Risk Reduction: The Case of the Waterway Padova–Venice (Italy). Water 2020, 12, 1609. [Google Scholar] [CrossRef]
- Mel, R.A.; Viero, D.P.; Carniello, L.; D’Alpaos, L. Optimal floodgate operation for river flood management: The case study of Padova (Italy). J. Hydrol. Reg. Stud. 2020, 30, 100702. [Google Scholar] [CrossRef]
- Bertoldi, W. River Bifurcations. Ph.D. Thesis, University Digli Studi di Trento, Trento, Italy, 2004. [Google Scholar]
- Schuurman, F.; Kleinhans, M.G. Bar dynamics and bifurcation evolution in a modelled braided sand-bed river. Earth Surf. Process. Landf. 2015, 40, 1318–1333. [Google Scholar] [CrossRef]
- Shen, J. Calculation of the mean daily discharge through the Sixianjiao waterway in low-water season. Trop. Geogr. 1989, 9, 143–149. (In Chinese) [Google Scholar]
- Liu, X. Analysis of Flow in Sixianjiao. Pearl River 2008, 2, 36–39. (In Chinese) [Google Scholar]
- Li, Y. Stage-Discharge Relation Based on “2017.7” Measured Flood in Sixianjiao Channel. Guangdong Water Resour. Hydropower 2018, 4, 11–15. (In Chinese) [Google Scholar]
- Zhang, W.; Du, J.; Zheng, J.; Wei, X.; Zhu, Y. Redistribution of the suspended sediment at the apex bifurcation in the Pearl River Network, South China. J. Coast. Res. 2014, 30, 170–182. [Google Scholar] [CrossRef]
- Wu, Y.; Zhang, W.; Zhu, Y.; Zheng, J.; Ji, X.; He, Y.; Xu, Y. Intra-tidal division of flow and suspended sediment at the first order junction of the Pearl River Network. Estuar. Coast. Shelf Sci. 2018, 209, 169–182. [Google Scholar] [CrossRef]
- Luo, X.; Zeng, E.Y.; Ji, R.; Wang, C. Effects of in-channel sand excavation on the hydrology of the Pearl River Delta, China. J. Hydrol. 2007, 343, 230–239. [Google Scholar] [CrossRef]
- Liu, Q.; Wu, C. Hydrodynamic Characteristics of Waterway Network of the Pearl River Delta in the 1950’s. Port Waterw. Eng. 2005, 3, 66–69. (In Chinese) [Google Scholar]
- Liu, F.; Xie, R.; Luo, X.; Yang, L.; Cai, H.; Yang, Q. Stepwise adjustment of deltaic channels in response to human interventions and its hydrological implications for sustainable water managements in the Pearl River Delta, China. J. Hydrol. 2019, 573, 194–206. [Google Scholar] [CrossRef]
- Wang, X.; Huang, J.; Xu, H. Study of Hydrological Characteristics in Sixianjiao Reach. Guangdong Water Resour. Hydropower 2015, 11, 26–30. (In Chinese) [Google Scholar]
- Liu, J. The Pearl River Delta Sixianjiao Channel, Tianhe Node Split Ratio on Law. Pearl River 2016, 37, 15–20. (In Chinese) [Google Scholar]
- Zhang, W.; Cao, Y.; Zhu, Y.; Zheng, J.; Ji, X.; Xu, Y.; Wu, Y.; Hoitink, A.J.F. Unravelling the causes of tidal asymmetry in deltas. J. Hydrol. 2018, 564, 588–604. [Google Scholar] [CrossRef]
- Department of Water Resources (DWR) in Guangdong Province. Manuals for the Design Flood Stages in the Downstream of Xijiang and Beijiang and in the River Networks in the Pearl River Delta; Internal Document Issued by the Department of Water Resources in Guangdong Province: Guangzhou, China, 2002. Available online: http://slt.gd.gov.cn/ (accessed on 12 September 2019). (In Chinese)
- Deltares. Delft3D-FLOW: User Manual 3.15.57696; Deltares: Delft, The Netherlands, 2018. [Google Scholar]
- Lesser, G.R.; Roelvink, J.V.; van Kester JT, M.; Stelling, G.S. Development and validation of a three-dimensional morphological model. Coast. Eng. 2004, 51, 883–915. [Google Scholar] [CrossRef]
- Nash, J.E.; Sutcliffe, J.V. River flow forecasting through conceptual models part I—A discussion of principles. J. Hydrol. 1970, 10, 282–290. [Google Scholar] [CrossRef]
- Pinos, J.; Timbe, L. Performance assessment of two-dimensional hydraulic models for generation of flood inundation maps in mountain river basins. Water Sci. Eng. 2019, 12, 11–18. [Google Scholar] [CrossRef]
- Allen, J.I.; Somerfield, P.J.; Gilbert, F.J. Quantifying uncertainty in high-resolution coupled hydrodynamic-ecosystem models. J. Mar. Syst. 2007, 64, 3–14. [Google Scholar] [CrossRef]
- Maréchal, D. A Soil-Based Approach to Rainfall-Runoff Modelling in Ungauged Catchments for England and Wales. Ph.D. Thesis, Cranfield University, Cranfield, UK, 2004. [Google Scholar]
- Wu, C. A preliminary study on the phenomenological relation between morphodynamic equilibrium and geomorphic information entropy in the evolution of the Zhujiang River Delta. Haiyang Xuebao 2018, 40, 22–37. (In Chinese) [Google Scholar]
- Huang, W. Analysis on the hydrological characteristics at the Sixianjiao node and in West River and North River. Pearl River 2011, 32, 23–24. (In Chinese) [Google Scholar] [CrossRef]
- Li, T. The role of Sixianjiao in the July 1996 flood. Guangdong Water Resour. Hydropower 1997, 1, 22–24. (In Chinese) [Google Scholar]
- Wang, X.; Guo, Y.; Ren, J. The Coupling Effect of Flood Discharge and Storm Surge on Extreme Flood Stages: A Case Study in the Pearl River Delta, South China. Int. J. Disaster Risk Sci. 2021, 12, 1–15. [Google Scholar] [CrossRef]













| Item | Description | Source | Note |
|---|---|---|---|
| Bathymetry | Precision: 0.1 m; | The Pearl River Hydraulic Research Institute of the Pearl River Water Resources Commission of the MWR of China | Surveyed in 2020 |
| Water level and flow | Hourly, Gaoyao, Shijiao, Makou, Sanshui | The Pearl River Hydraulic Research Institute of the Pearl River Water Resources Commission of the MWR of China for 2005, 2006, 2017, and the DWR of Guangdong Province for 2022 | For flood events in 2005, 2006, 2017, and 2022. The flow at Ganggen in 2017 was from Li [28]. |
| River/Stations | Return Periods (1: n Year) and Flow Rates (×103 m3/s) | |||||||
|---|---|---|---|---|---|---|---|---|
| 5 | 10 | 20 | 30 | 50 | 100 | 200 | 300 | |
| West River/Gaoyao | 37.9 | 45.0 | 49.7 | 50.8 | 52.2 | 54.0 | 55.9 | 57.5 |
| North River/Feilaixia | 11.9 | 13.8 | 15.5 | 16.7 | 17.7 | 19.2 | 20.7 | 21.6 |
| Rivers/Stations | Flow (×103 m3/s) | ||||||||||
|---|---|---|---|---|---|---|---|---|---|---|---|
| West River/Gaoyao | 10 | 15 | 20 | 25 | 30 | 35 | 40 | 45 | 50 | 55 | 60 |
| North River/Shijiao | 2 | 4 | 6 | 8 | 10 | 12 | 14 | 16 | 18 | 20 | 22 |
| Flood Events/Phases | Upstream Stations | Peak Flow (m3/s) | Return Periods (Years) | * Flow Fraction | Downstream Stations | Peak Discharge | # Return Periods (Years) | * Discharge Fraction |
|---|---|---|---|---|---|---|---|---|
| 2005 Flood | Gaoyao | 56,667 | 200 | 84.7% | Makou | 52,601 | 60 | 76.9% |
| Shijiao | 13,400 | 10 | 15.3% | Sanshui | 16,515 | 30 | 23.1% | |
| 2006 Flood | Gaoyao | 34,435 | 2 | 78.1% | Makou | 36,701 | 5 | 76.6% |
| Shijiao | 18,245 | 60 | 21.9% | Sanshui | 12,166 | 5 | 23.4% | |
| 2017 Flood | Gaoyao | 49,157 | 20 | 86.0% | Makou | 43,058 | 10 | 76.8% |
| Shijiao | 9603 | 2 | 14.0% | Sanshui | 13,205 | 10 | 23.2% | |
| 2022 Flood I | Gaoyao | 37,366 | 5 | 79.7% | Makou | 35,308 | 3 | 76.2% |
| Shijiao | 10,109 | 2 | 20.3% | Sanshui | 11,061 | 3 | 23.8% | |
| 2022 Flood II | Gaoyao | 42,415 | 10 | 75.6% | Makou | 43,850 | 10 | 76.0% |
| Shijiao | 15,372 | 20 | 24.4% | Sanshui | 13,849 | 10 | 24.0% | |
| 2022 Flood III | Gaoyao | 39,381 | 5 | 68.9% | Makou | 43,516 | 10 | 75.6% |
| Shijiao | 19,768 | 100 | 31.1% | Sanshui | 14,122 | 10 | 24.4% |
Disclaimer/Publisher’s Note: The statements, opinions and data contained in all publications are solely those of the individual author(s) and contributor(s) and not of MDPI and/or the editor(s). MDPI and/or the editor(s) disclaim responsibility for any injury to people or property resulting from any ideas, methods, instructions or products referred to in the content. |
© 2023 by the authors. Licensee MDPI, Basel, Switzerland. This article is an open access article distributed under the terms and conditions of the Creative Commons Attribution (CC BY) license (https://creativecommons.org/licenses/by/4.0/).
Share and Cite
Fang, Y.; Wang, X.; Ren, J.; Liu, H.; Wang, Y. Driving Forces and Influences of Flood Diversion on Discharge Fraction and Peak Water Levels at an H-Shaped Compound River Node in the Pearl River Delta, South China. Water 2023, 15, 1970. https://doi.org/10.3390/w15111970
Fang Y, Wang X, Ren J, Liu H, Wang Y. Driving Forces and Influences of Flood Diversion on Discharge Fraction and Peak Water Levels at an H-Shaped Compound River Node in the Pearl River Delta, South China. Water. 2023; 15(11):1970. https://doi.org/10.3390/w15111970
Chicago/Turabian StyleFang, Yongjun, Xianwei Wang, Jie Ren, Huan Liu, and Ya Wang. 2023. "Driving Forces and Influences of Flood Diversion on Discharge Fraction and Peak Water Levels at an H-Shaped Compound River Node in the Pearl River Delta, South China" Water 15, no. 11: 1970. https://doi.org/10.3390/w15111970
APA StyleFang, Y., Wang, X., Ren, J., Liu, H., & Wang, Y. (2023). Driving Forces and Influences of Flood Diversion on Discharge Fraction and Peak Water Levels at an H-Shaped Compound River Node in the Pearl River Delta, South China. Water, 15(11), 1970. https://doi.org/10.3390/w15111970

