Assessment of the Impacts of Phyto-Remediation on Water Quality of the Litani River by Means of Two Wetland Plants (Sparganium erectum and Phragmites australis)
Abstract
1. Introduction
2. Materials and Methods
2.1. Climatic Characteristics of the Wetland Site
2.2. Characteristics of the Constructed Wetland
- Inlet structure, including piping and pumping station, constructed near the riverbank, conveys inflow water from the river to the wetland. The pumping station consists of three electrical pumps, two of which are 60 L/s capacity each, and one 30 L/s capacity, impelling water directly from the bottom of the river, and conveying it into the wetland by means of a 16-inch galvanized iron pipe buried in the soil.
- An oval-shaped basin, 240 m average length (north–south) and 125 m average width (east–west), with an average outer area, including berms, of 35,000 m2, and inner wet area of 25,000 m2. The inner area consists of an alternation of three deep ponds (2–3 m deep) and two shallow areas (30–50 cm deep), with a ratio of 2:1 (2/3 deep ponds versus 1/3 shallow areas). The deep ponds were designed to promote mixing and uniform flow, and the shallow areas to promote growth of emergent wetland vegetation, which provides a biologically and chemically diverse environment, where much of the pollutant removal occurs.
- Adjustable outlet structure, made of a concrete weir, piping, and outlet earth channel to convey the treated water back to the Litani River. The discharge channel features initial and terminal narrow stream channels whose banks are seeded with the same mix of plant species as the outside of the wetland berms. The bed of the discharge channel ends with a large rock weir structure. The discharge channel has been sized to accommodate a normal flow of 20–60 L/s, based on expected outflows from the constructed wetland system. This corresponds to a channel width of approximately three to five meters with the exception of the widened, flattened central area.
3. Methodology Used
3.1. Pollutants Removal Efficiency
3.2. Statistical Analyses
4. Results and Discussion
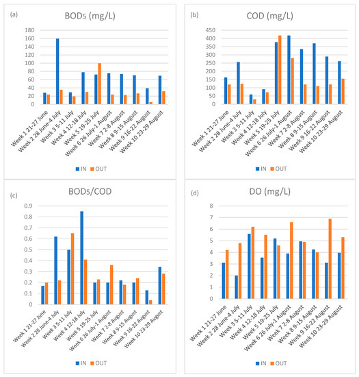
4.1. Comparative Influent and Effluent Water Quality
4.2. Time Course Evolution of Physicochemical Parameters
4.2.1. EC, TDS, pH and T
4.2.2. Nitrate and Nitrite
4.2.3. Phosphate
4.2.4. Sulfate
4.3. Time Course Evolution of the Biological Parameters
5. Conclusions
Author Contributions
Funding
Data Availability Statement
Acknowledgments
Conflicts of Interest
References
- Stefanakis, A.I. Constructed Wetlands: Description and Benefits of an Eco-Tech Water Treatment System. In Waste Management: Concepts, Methodologies, Tools, and Applications; International Management Association, Ed.; IGI Global: Hershey, PA, USA, 2020; pp. 503–525. [Google Scholar] [CrossRef]
- Mustafa, A.; Scholz, M.; Harrington, R.; Carroll, P. Long-term performance of a representative integrated constructed wetland treating farmyard runoff. Ecol. Eng. 2009, 35, 779–790. [Google Scholar] [CrossRef]
- Mustafa, A. Constructed Wetland for Wastewater Treatment and Reuse: A Case Study of Developing Country. Int. J. Environ. Sci. Dev. 2013, 4, 20–24. [Google Scholar] [CrossRef][Green Version]
- Vymazal, J. Emergent plants used in free water surface constructed wetlands: A review. Ecol. Eng. 2013, 61, 582–592. [Google Scholar] [CrossRef]
- Mustafa, H.M.; Hayder, G. Recent studies on applications of aquatic weed plants in phytoremediation of wastewater: A review article. Ain Shams Eng. J. 2020, 12, 355–365. [Google Scholar] [CrossRef]
- Wang, M.; Zhang, D.Q.; Dong, J.; Tan, S.K. Application of constructed wetlands for treating agricultural runoff and agro-industrial wastewater: A review. Hydrobiologia 2018, 805, 1–31. [Google Scholar] [CrossRef]
- Herath, I.; Vithanage, M. Phytoremediation in Constructed Wetlands. In Phytoremediation: Management of Environmental Contaminants; Ansari, A., Gill, S.S., Gill, R., Lanza, G.R., Newman, L., Eds.; Springer International Publishing: Cham, Switzerland, 2015; Volume 2, pp. 243–263. [Google Scholar] [CrossRef]
- Ali, H.H.; Fayed, M.I.A.; Lazim, I. Use of aquatic plants in removing pollutants and treating the wastewater: A review. J. Glob. Innov. Agric. Sci. 2022, 10, 61–70. [Google Scholar] [CrossRef]
- Anning, A.K.; Korsah, P.E.; Addo-Fordjour, P. Phytoremediation of wastewater with Limnocharis flava, Thalia geniculata and Typha latifolia in constructed wetlands. Int. J. Phytoremediat. 2013, 15, 452–464. [Google Scholar] [CrossRef] [PubMed]
- U.S. Environmental Prtection Agency. Climate Change Indicators in the United States, 4th ed.; EPA 430-R-16-004; U.S. Environmental Protection Agency: Washington, DC, USA, 2016. Available online: www.epa.gov/climate-indicators (accessed on 23 October 2022).
- Wang, Q.; Xie, H.J.; Ngo, H.H.; Guo, W.S.; Zhang, J.; Liu, C.; Liang, S.; Hu, Z.; Yang, Z.C.; Zhao, C.C. Microbial abundance and community in subsurface flow constructed wetland microcosms: Role of plant presence. Environ. Sci. Pollut. Res. 2015, 23, 4036–4045. [Google Scholar] [CrossRef]
- Menon, R.; Jackson, C.R.; Holland, M.M. The influence of vegetation on microbial enzyme activity and bacterial community structure in freshwater constructed wetland sediments. Wetlands 2013, 33, 365. [Google Scholar] [CrossRef]
- Dong, C.; Huang, Y.H.; Wang, S.C.; Wang, X.H. Oxygen Supply and Wastewater Treatment in Subsurface-Flow Constructed Wetland Mesocosm: Role of Plant Presence. Pol. J. Environ. Stud. 2016, 25, 573–579. [Google Scholar] [CrossRef]
- Liu, J.G.; Zhang, W.; Qu, P.; Wang, M.X. Cadmium tolerance and accumulation in fi fteen wetland plant species from cadmium-polluted water in constructed wetlands. Front. Environ. Sci. Eng. 2014, 10, 262–269. [Google Scholar] [CrossRef]
- Teuchies, J.; De, J.M.; Meire, P.; Blust, R.; Bervoets, L. Can acid volatile sulfides (AVS) influence metal concentrations in the macrophyte Myriophyllum aquaticum? Environ. Sci. Technol 2012, 46, 9129. [Google Scholar] [CrossRef] [PubMed]
- Huang, J.C.; Passeport, E.; Terry, N. Development of a constructed wetland water treatment system for selenium removal: Use of mesocosms to evaluate design parameters. Environ. Sci. Technol. 2012, 46, 12021. [Google Scholar] [CrossRef] [PubMed]
- Zhang, J.; Wu, H.M.; Hu, Z.; Liang, S.; Fan, J.L. Examination of oxygen release from plants in constructed wetlands in different stages of wetland plant life cycle. Environ. Sci. Pollut. Res. 2014, 21, 9709. [Google Scholar] [CrossRef] [PubMed]
- Lama, G.F.C.; Errico, A.; Pasquino, V.; Mirzaei, S.; Preti, F.; Chirico, G.B. Velocity uncertainty quantification based on Riparian vegetation indices in open channels colonized by Phragmites australis. J. Ecohydraulics 2022, 7, 71–76. [Google Scholar] [CrossRef]
- Karam, F.; Nassif, N.; Mouneimne, A.H.; El Hachem, C.; Moussawi, L. Calibration and validation of MOPECO as sustainable water management tool within South Bekaa Irrigation Scheme in Lebanon. In Proceedings of the AgroEcoInfo Symposium, Organized within the COST (European Cooperation in Science and Technology) Initiative, Volos, Greece, 30 June–2 July 2022. in press. [Google Scholar]
- Allen, R.G.; Pereira, L.S.; Raes, D.; Smith, M. Crop Evapotranspiration: Guidelines for Computing Crop Water Requirements; FAO Irrig. and Drain. Pap., 56; Food and Agriculture Organization of the United Nations: Rome, Italy, 1998; 300p. [Google Scholar]
- U.S. Environmental Protection Agency. Constructed Wetlands Treatment of Municipal Wastewaters; EPA/625/R-99/010; U.S. Environmental Protection Agency: Washington, DC, USA, 2000. Available online: www.epa.gov (accessed on 23 October 2022).
- DES. Monitoring and Sampling Manual: Environmental Protection (Water) Policy; Department of Environment and Science Government: Brisbane, QL, Australia, 2018; 263p. [Google Scholar]
- UN-HABITAT. Constructed Wetlands Manual. UN-HABITAT Water for Asian Cities Programme. Kathmandu, NP. 2008. Available online: www.unhabitat.org (accessed on 23 October 2022).
- Sperling, M.V. Basic Principles of Wastewater Treatment; IWA Publishing: London, UK, 2007. [Google Scholar]
- Singh, A.L. Nitrate and phosphate contamination in water and possible remedial measures. In Environmental Problems and Plant; Essay; Environmental Science, Department of Botany, Banaras Hindu University: Varanasi, India, 2013; pp. 44–51. [Google Scholar]
- Hill, T.; Lewicki, P. STATISTICS: Methods and Applications; StatSoft: Tulsa, OK, USA, 2007. [Google Scholar]
- StatSoft, Inc. Electronic Statistics Textbook; StatSoft: Tulsa, OK, USA, 2011; Available online: http://www.statsoft.com/textbook/ (accessed on 23 October 2022).
- MoE. Ministry of Environment. Lebanese Standards for Wastewater Treatment and Release. In Standards and Limits for Air Pollutants and Liquid Wastes Discharged by Classified Facilities and Waste Water Treatment Plants; Decision Issued by the Ministry of Environment: Decision 8/1 on 30 January 2001; The Ministry of Environment: Beirut, Lebanon, 2001. [Google Scholar]
- FAO. Wastewater Reuse and Sludge Valorisation and Reuse. In Proposition for Lebanese Wastewater Reuse Guidelines; Food and Agricultural Organization of the United Nations (FAO): Rome, Italy, 2010. [Google Scholar]
- FAO. Coping with Water Scarcity—The Role of Agriculture Phase III: Strengthening National Capacities. Lebanon; Food and Agriculture Organization of the United Nations (FAO): Rome, Italy, 2016. [Google Scholar]
- Rosli, N.; Seca, G. Comparative Study of Water Quality at Different Peat Swamp Forest of Batang Igan, Sibu Sarawak. Am. J. Environ. Sci. 2010, 6, 416–421. [Google Scholar] [CrossRef]
- Mihir, P.; Nihar, S.R.; Pankaj, R.K.; Malabika, R.B. Electrical Conductivity of Lake Water as Environmental Monitoring—A Case Study of Rudrasagar Lake. IOSR J. Environ. Sci. Toxicol. Food Technol. 2015, 9, 66–71. [Google Scholar]
- World Health Organisation (WHO). Guidelines for drinking-water quality, volume 2: Health criteria and other supporting information. Sci. Total Environ. 2006, 61, 274. [Google Scholar] [CrossRef]
- Lee, C.; Fletcher, T.D.; Sun, G. Nitrogen removal in constructed wetland systems. Eng. Life Sci. 2009, 9, 11–22. [Google Scholar] [CrossRef]
- Camargo, J.A.; Alonso, A. Ecological and toxicological effects of inorganic nitrogen pollution in aquatic ecosystems: A global assessment. Environ. Int. 2006, 32, 831–849. [Google Scholar] [CrossRef]
- Kadlec, R.H.; Wallace, S. Treatment Wetlands, 2nd ed.; CRC Press: Boca Raton, FL, USA, 2009; p. 1046. [Google Scholar]
- Box, W.; Järvelä, J.; Västilä, K. Flow resistance of floodplain vegetation mixtures for modelling river flows. J. Hydrol. 2021, 601, 126593. [Google Scholar] [CrossRef]
- Diaz, F.J.; O’geen, A.T.; Dahlgren, R.A. Agricultural pollutant removal by constructed wetlands: Implications for water management and design. Agric. Water Manag. 2012, 104, 171–183. [Google Scholar] [CrossRef]
- Bezbaruah, A.N.; Zhang, T.C. Performance of a Constructed Wetland with a Sulfur/Limestone Denitrification Section for Wastewater Nitrogen Removal. Environ. Sci. Technol. 2003, 37, 1690–1697. [Google Scholar] [CrossRef] [PubMed]
- Sierra-Alvarez, R.; Beristain-Cardoso, R.; Salazar, M.; Gómez, J.; Razo-Flores, E.; Field, J.A. Chemolithotrophic denitrification with elemental sulfur for groundwater treatment. Water Res. 2007, 41, 1253–1262. [Google Scholar] [CrossRef] [PubMed]
- Nelson, D.C.; Jørgensen, B.B.; Revsbech, N.P. Growth Pattern and Yield of a Chemoautotrophic Beggiatoa sp. in Oxygen-Sulfide Microgradients. Appl. Environ. Microbiol. 1986, 52, 225–233. [Google Scholar] [CrossRef] [PubMed]
- Sturman, P.J.; Stein, O.R.; Vymazal, J.; Kröpfelová, L. Sulfur Cycling in Constructed Wetlands. In Wastewater Treatment, Plant Dynamics and Management in Constructed and Natural Wetlands; Springer: Dordrecht, The Netherlands, 2008; pp. 329–344. [Google Scholar] [CrossRef]
- Margane, A.; Steinel, A. Proposed National Standard for Treated Domestic Wastewater Reuse for Irrigation. German-Lebanese Technical Cooperation Project Protection of Jeita Spring (Project No. 2008.2162.9); Federal Republic of Germany, Federal Institute for Geosciences (BGR) and Council for Development and Reconstruction (CDR): Beirut, Lebanon, 2011; 42p. [Google Scholar]
- Todd, M.J.; Vellidis, G.; Lowrance, R.R.; Pringle, C.M. High Sediment Oxygen Demand Within an Instream Swamp in Southern Georgia: Implications for Low Dissolved Oxygen Levels in Coastal Blackwater Streams1. JAWRA J. Am. Water Resour. Assoc. 2009, 45, 1493–1507. [Google Scholar] [CrossRef]
- Lu, S.; Zhang, X.; Wang, J.; Pei, L. Impacts of different media on constructed wetlands for rural household sewage treatment. J. Clean Prod. 2016, 127, 325–330. [Google Scholar] [CrossRef]
- Brix, H. Do macrophytes play a role in constructed treatment wetlands? Water Sci. Technol. 1997, 35, 11–17. [Google Scholar] [CrossRef]
- Karathanasis, A.D.; Potter, C.L.; Coyne, M.S. Vegetation effects on fecal bacteria, BOD, and suspended solid removal in constructed wetlands treating domestic wastewater. Ecol. Eng. 2003, 20, 157–169. [Google Scholar] [CrossRef]
- Abi Saab, M.T.; Jammoul, D.; Makhlouf, H.; Fahed, S.; Lebbous, N.; Hajjar, C.; Todorovic, M. Assessing the performance of constructed wetland for water quality management of a Southern Mediterranean River. Water Environ. J. 2018, 32, 508–518. [Google Scholar] [CrossRef]
- Amacha, N.; Karam, F.; Jerdi, M.; Frank, P.; Viala, E.; Hussein, D.; Baydoun, S. Assessment of the efficiency of a pilot constructed wetland on the remediation of water quality—Case Study of Litani River, Lebanon. Environ. Pollut. Clim. Chang. 2017, 1, 119. [Google Scholar] [CrossRef]
- Nivala, J.; Murphy, C.; Freeman, A. Recent Advances in the Application, Design, and Operations & Maintenance of Aerated Treatment Wetlands. Water 2020, 12, 1188. [Google Scholar] [CrossRef]
- Samudro, G.; Mangkoedihardjo, S. Review on bod, cod and bod/cod ratio: A triangle zone for toxic, biodegradable and stable levels. Int. J. Acad. Res. 2010, 2, 235–239. [Google Scholar]
- Karam, F.; Amacha, N.; Jalloul, H.; Haddad, R. Assessment of toxic ion removal by two wetland macrophytes (Phragmites australis and Sparganium erectum) in treating the polluted Litani River waters in Lebanon. In Proceedings of the Mid-Year Research Webinar on Control4Reuse, 14 April, 2021; Control4Reuse, INRAe; Mälardalen University: Västerås, Sweden, 2021; Available online: https://sites.google.com/view/control4reuse/news/webinar-14-april-2021 (accessed on 23 October 2022).






| Parameters | Wetland Influents | Environmental Limit Values for Surface Water Based on MoE Decision 8/1 [28] | Lebanese Wastewater Reuse Guidelines [29] | ||||
|---|---|---|---|---|---|---|---|
| Min | Max | Mean | Water Category I | Water Category II | Water Category III | ||
| Temperature (°C) | 21.0 | 27.5 | 25.1 | 30 | - | - | - |
| EC (µs/m) | 530.0 | 993.0 | 782.5 | - | - | - | - |
| TDS (mg/L) | 318.5 | 595.5 | 469.5 | - | - | - | - |
| DO (mg/L) | 2.0 | 5.6 | 3.9 | - | - | - | - |
| pH | 7.5 | 8.4 | 7.8 | 6–9 | 6–9 | 6–9 | 6–9 |
| Phosphate (mg/L) | 3.5 | 8.2 | 5.8 | 5 | - | - | - |
| Nitrite (mg/L) | NQ * | 0.35 | 0.1 | - | - | - | - |
| Nitrate (mg/L) | NQ * | 44.6 | 14.3 | 90 | 30 | 30 | 30 |
| Sulfate (mg/L) | 20.8 | 46.2 | 35.8 | 1000 | - | - | - |
| BOD5 (mg/L) | 28.0 | 159.5 | 69.4 | 25 | 25 | 100 | 100 |
| COD (mg/L) | 59.0 | 377.5 | 262.1 | 125 | 125 | 250 | 250 |
| Parameters | Wetland Effluents | Environmental Limit Values for Surface Water Based on MoE Decision 8/1 [28] | Lebanese Wastewater Reuse Guidelines [29] | ||||
|---|---|---|---|---|---|---|---|
| Min | Max | Mean | Water Category I | Water Category II | Water Category III | ||
| Temperature (°C) | 24.0 | 28.0 | 26.3 | 30 | - | - | - |
| EC (µs/m) | 561.3 | 1000.0 | 753.3 | - | - | - | - |
| TDS (mg/L) | 335.0 | 671.5 | 467.5 | - | - | - | - |
| DO (mg/L) | 4.0 | 6.9 | 5.3 | - | - | - | - |
| pH | 7.8 | 8.9 | 8.2 | 6–9 | 6–9 | 6–9 | 6–9 |
| Phosphate (mg/L) | 0.6 | 4.5 | 1.9 | 5 | - | - | - |
| Nitrite (mg/L) | 0.0 | 0.3 | 0.04 | - | - | - | - |
| Nitrate (mg/L) | 3.3 | 0.0001 | 0.37 | 90 | 30 | 30 | 30 |
| Sulfate (mg/L) | 15.6 | 181.1 | 57.9 | 1000 | - | - | - |
| BOD5 (mg/L) | 5.4 | 99.8 | 31.7 | 25 | 25 | 100 | 100 |
| COD (mg/L) | 29.0 | 280.0 | 154.7 | 125 | 125 | 250 | 250 |
| Parameter | Number of Samples | Inflow | Outflow | Removal Efficiency (%) * | p Value |
|---|---|---|---|---|---|
| Temperature (°C) | 10 | 25.02 ± 2.68 | 26.29 ± 1.23 | −5.06 | 0.072 |
| EC (µs/m) | 10 | 782.48 ± 127.1 | 753.31 ± 179.1 | 3.73 | 0.407 |
| TDS (mg/L) | 10 | 469.51 ± 75.9 | 467.51 ± 142.6 | 0.43 | 0.952 |
| DO (mg/L) | 10 | 3.96 ± 1.16 | 5.3 ± 1.05 | −33.8 | 0.032 |
| pH | 10 | 7.82 ± 0.28 | 8.22 ± 0.35 | −5.12 | 0.006 |
| Phosphate (mg/L) | 10 | 5.84 ± 1.49 | 1.90 ± 1.19 | 66.9 | 0.000 |
| Nitrite (mg/L) | 10 | 0.08 ± 0.1 | 0.04 ± 0.09 | 40.27 | 0.456 |
| Nitrate (mg/L) | 10 | 14.30± 20.44 | 0.37 ± 1.09 | 97.39 | 0.078 |
| Sulfate (mg/L) | 10 | 35.86 ± 8.26 | 57.99 ± 49.32 | −61.67 | 0.202 |
| BOD (mg/L) | 10 | 69.45 ± 39.5 | 31.71 ± 26.8 | 54.3 | 0.027 |
| COD (mg/L) | 10 | 262.09 ± 130.3 | 154.72 ± 119.5 | 41 | 0.012 |
Disclaimer/Publisher’s Note: The statements, opinions and data contained in all publications are solely those of the individual author(s) and contributor(s) and not of MDPI and/or the editor(s). MDPI and/or the editor(s) disclaim responsibility for any injury to people or property resulting from any ideas, methods, instructions or products referred to in the content. |
© 2022 by the authors. Licensee MDPI, Basel, Switzerland. This article is an open access article distributed under the terms and conditions of the Creative Commons Attribution (CC BY) license (https://creativecommons.org/licenses/by/4.0/).
Share and Cite
Karam, F.; Haddad, R.; Amacha, N.; Charanek, W.; Harmand, J. Assessment of the Impacts of Phyto-Remediation on Water Quality of the Litani River by Means of Two Wetland Plants (Sparganium erectum and Phragmites australis). Water 2023, 15, 4. https://doi.org/10.3390/w15010004
Karam F, Haddad R, Amacha N, Charanek W, Harmand J. Assessment of the Impacts of Phyto-Remediation on Water Quality of the Litani River by Means of Two Wetland Plants (Sparganium erectum and Phragmites australis). Water. 2023; 15(1):4. https://doi.org/10.3390/w15010004
Chicago/Turabian StyleKaram, Fadi, Rachelle Haddad, Nabil Amacha, Wissam Charanek, and Jérôme Harmand. 2023. "Assessment of the Impacts of Phyto-Remediation on Water Quality of the Litani River by Means of Two Wetland Plants (Sparganium erectum and Phragmites australis)" Water 15, no. 1: 4. https://doi.org/10.3390/w15010004
APA StyleKaram, F., Haddad, R., Amacha, N., Charanek, W., & Harmand, J. (2023). Assessment of the Impacts of Phyto-Remediation on Water Quality of the Litani River by Means of Two Wetland Plants (Sparganium erectum and Phragmites australis). Water, 15(1), 4. https://doi.org/10.3390/w15010004

