Next Article in Journal
A Mobile Laboratory Enables Fecal Pollution Source Tracking in Catchments Using Onsite qPCR Assays
Next Article in Special Issue
Root Functional Traits and Water Erosion-Reducing Potential of Two Indigenous C4 Grass Species for Erosion Control of Mudstone Badlands in Taiwan
Previous Article in Journal
Comparison of Muscle Quality of the Yellow Catfish Cultured in In-Pond Raceway Systems and Traditional Ponds
Previous Article in Special Issue
Using Fuzzy Neural Networks to Model Landslide Susceptibility at the Shihmen Reservoir Catchment in Taiwan
 
 
Font Type:
Arial Georgia Verdana
Font Size:
Aa Aa Aa
Line Spacing:
Column Width:
Background:
Article

Effect of Statistically Anisotropic Undrained Shear Strength on the Probability of Slope Failure

1
China Geological Survey Nanjing Center, Nanjing 210016, China
2
School of Earth Sciences and Engineering, Hohai University, Nanjing 211100, China
*
Author to whom correspondence should be addressed.
Water 2022, 14(8), 1225; https://doi.org/10.3390/w14081225
Submission received: 9 March 2022 / Revised: 5 April 2022 / Accepted: 7 April 2022 / Published: 11 April 2022
(This article belongs to the Special Issue Landslides Induced by Surface and Groundwater)

Abstract

:
Due to large-scale geological deposition processes, slope structures are often stratified, which means that the spatial distribution of the parameters involved in slope reliability evaluation is statistically anisotropic. This paper studies the effect of the statistical anisotropy of undrained shear strength on the probability of slope failure (pf) based on the Monte Carlo simulation. The results show that for the horizontally layered slope, the larger the horizontal correlation scale of undrained shear strength (λx) is, the larger pf is, especially when λx is smaller than the slope length; for the vertically layered slope, the larger the vertical correlation scale (λy) is, the smaller pf is, especially when λy is smaller than the slope height. Additionally, the mechanism of the above results is discussed by analyzing the displacement distribution at different correlation scales. The findings indicate that in the reliability evaluation of undrained slopes in stratified structures, either underestimation of λx or overestimation of λy leads to an unconservative estimate of pf, resulting in an overestimation of the slope stability.

1. Introduction

Due to complex geological, environmental and physical effects, the parameters involved in slope stability assessments show spatial variability at multiple scales. Even in the seemingly homogeneous site for laboratory-scale sampling and measurement, the saturated hydraulic conductivity, shear strength and other parameter values of rock and soil also show great spatial variability [1,2,3]. Spatial variability is an inherent property of rock and soil materials.
In recent decades, the spatial variability of rock and soil parameters has been shown by previous studies to be a factor that cannot be ignored in evaluating slope reliability. For example, Cho [4] emphasized the importance of the spatial variability of soil mechanics parameters in the evaluation of failure probability. Ji et al. [5] found that ignoring the spatial variability of shear strength parameters would seriously overestimate the failure probability of slopes. Griffiths et al. [6] and Jiang et al. [7] indicated that when the coefficient of variation of the shear strength parameter is large and the factor of safety calculated by the mean of the parameter is close to 1, ignoring the spatial variability of the shear strength parameters could lead to an unconservative estimate of the probability of slope failure. Cai et al. [8] indicated that it is important to describe the permeability coefficient and pore water distribution in slope stability analysis using cross-correlation analysis between the factor of safety and hydraulic parameters of an infinite slope. Qi and Li [9] studied the typical failure mechanism of the critical slip surface of a heterogeneous slope and the results show that local failure may occur in a statistically isotropic slope, which is not observed in the deterministic slope stability analysis. These studies all used probabilistic statistics methods, which allows us to describe heterogeneity of geologic formations quantitatively. Other probabilistic statistical methods, such as machine learning and artificial neural networks, also appear widely in the application of geosciences [10,11,12].
Most of the aforementioned studies focused on statistically isotropic parameters. Due to large-scale geological deposition processes, slope structures are often stratified, which means that the spatial distribution of the parameters is statistically anisotropic. The statistical anisotropy of the parameters is mainly controlled by the continuity of the formation. The more continuous the formation is along the layer direction, the more obvious the statistical anisotropy of the parameters [13]. Ye et al. [14] conducted a hierarchical geostatistical analysis to examine the large-scale geologic structure for the entire field site and then investigated small-scale features within different layers. The ratio of horizontal to vertical spreading at varying moisture contents suggests the statistical anisotropy in effective unsaturated hydraulic conductivity, confirming existing stochastic theories. In addition, the statistical anisotropy of geotechnical materials can be obtained using remote sensing techniques [15,16,17,18,19,20,21].
Therefore, it is necessary to study the effect of statistically anisotropic parameters on the probability of slope failure. In this paper, the effect of statistically anisotropic undrained shear strength on the probability of slope failure is studied. The undrained shear strength corresponds to the situation in which the geotechnical materials cannot be drained under saturated conditions. For example, the amount of infiltration into the slope during heavy rainfall is very high and it cannot be discharged in a short time. At this time, the stability of the slope is mainly determined by the undrained shear strength of the soil.
An appropriate method for calculating the probability of failure of a heterogeneous slope is the Monte Carlo simulation (MCS). MCS has been widely used in slope reliability analysis [22,23,24,25,26,27]. The obvious advantage of an MCS is that it increases the accuracy and reliability of the evaluation results through numerous repeated iterations. This operation can overcome the impact of data collection and human factor errors [28]. Therefore, MCS better reflects the real phenomenon traditional reliability analysis methods. In particular, when using the finite element strength reduction method to calculate the factor of safety of slope, there is no explicit analytical solution between the geotechnical parameters and the factor of safety due to the complex non-linear relationship. Therefore, it is difficult to calculate the probability of slope failure using traditional reliability analysis methods and the use of MCS can bypass this problem.
This paper is organized as follows. First, the method for characterizing the heterogeneity of parameters is introduced and the characteristics of the distribution of statistically anisotropic undrained shear strength are illustrated. Then, the effect of the different horizontal and vertical correlation scales of undrained shear strength on the probability of slope failure is investigated by the Monte Carlo simulation. Finally, based on the analysis of the slope displacement of different correlation scales, the mechanism of the effect of the correlation scales on the probability of failure is discussed.

2. Methodology

2.1. Stochastic Conceptualization of Heterogeneity

Random field theory has become popular in recent years to describe parameter heterogeneity [13,29,30]. Random field theory assumes that the parameters of each position involved in the slope stability assessment (corresponding to each element) are random variables and the whole slope becomes an ensemble of these random variables, namely, a random field. This means that there are infinite possibilities of the distributions of parameters (realizations). As we take the undrained shear strength (cu) as a random field, it can be described by a probability density function with a specific mean, variance and autocorrelation function. The autocorrelation function represents the spatial structure of soil properties and plays a significant role in random field analysis. In practice, geotechnical materials are sampled to obtain their mechanical and hydraulic parameters. Statistical and variogram analysis of the parameter data gives the mean, variance and correlation scales under the stochastic conceptualization. In this study, to avoid negative parameter values during evaluation, an exponential 2D autocorrelation function is adopted with different correlation scales in the horizontal and vertical directions. We assume that the slope has n random variables and i and j = 1,2..., n; then, the autocorrelation function can be expressed as:
ρ i j = exp [ 2 ( | x i x j | λ x + | y i y j | λ y ) ]
where ρij is the autocorrelation coefficient between cu at location (xi, yi) and at location (xj, yj) and λx and λy are the horizontal and vertical correlation scales, respectively. Physically, the correlation scale describes the average dimensions (e.g., length and thickness) of heterogeneity (e.g., layers or stratifications) within the domain [13].
When λx is equal to λy in a random field, it is called a statistical isotropic random field. In Figure 1, λx is equal to λy, increasing successively to 0.5 m, 2 m and 5 m, respectively. This parameter field corresponds to the condition that the slope is the accumulation of a large number of spherical geological bodies (such as gravel beds or sandy soil beds), where the average gravel or sand particle radius is approximately equal to the correlation scale λ. Certainly, each globular body can be made up of different shapes and properties, as well as the density of their distribution. The realizations are generated by a spectral method [31].
Statistical anisotropic random fields refer to the fact that correlation scales are not equal in each direction (i.e., λx is not equal to λy). Statistical anisotropy is a normal and inevitable feature of heterogeneous geological structures because of the layered distribution caused by large-scale geological sedimentary processes. Figure 2 displays three different realizations of statistical anisotropic random fields where λy is equal to 0.5 m and λx is equal to 2 m, 5 m and 25 m. The random seeds, means and variances of these three realizations are the same as those in Figure 1. Compared with the statistical isotropic parameter field in Figure 1, the distribution of their high and low values is the same, but the strong zone and weak zone in Figure 2 have better horizontal extensiveness. With the increase in λx, strong and weak zones are increasingly connected in the horizontal direction. Some geological tectonic movements (e.g., folds) may cause the strata to rotate or even stand upright. Therefore, vertical layered slopes are also a common geological phenomenon [32,33]. It can correspond to the statistical anisotropy random field in the vertical direction shown in Figure 3, where λx is equal to 0.5 m and λy is equal to 2 m, 5 m and 25 m. The random seeds are different as before, but the means and variances are the same as before. As shown in Figure 3, similar to the anisotropic random field in the horizontal direction, the strong zone and weak zone are increasingly connected in the vertical direction with increasing λy.

2.2. Monte Carlo Simulation and Probability of Failure

In this paper, the Monte Carlo simulation (MCS) is adopted to study the effect of the statistical anisotropy of undrained shear strength on pf. With the given mean, variance and correlation scales, numerous realizations of the spatial distributions of undrained shear strength can be generated using a spectral method [31].
A synthetic slope model for MCS is created, which is discretized into 1520 square elements with the side equal to 0.5 m (Figure 1), height H = 10 m and slope inclination β = 26.6°. The left-side and right-side boundaries are assigned no horizontal displacement conditions and the bottom boundary is assigned no displacement conditions. The soils are assumed to follow the Mohr–Coulomb constitutive models. Additionally, the undrained friction angle φu = 0 and the unit weight γ = 20 kN/m3. The mean of cu is 34 kN/m2, according to Griffiths and Fenton [22] and the standard deviation of cu is 17. The slope is only subjected to gravity loads. Once these parameters are set up, the corresponding factor of safety for the slope can be evaluated based on the finite element strength reduction method [34]. For example, the factor of safety of Figure 1a as the input cu is 1.05.
Subsequently, pf can be calculated according to the following formula:
p f = N F S < 1 N r
where Nr is the number of realizations generated during MCS; in this study, Nr = 500. NFS<1 is the number of times when the factor of safety is less than 1. When the mean, variance and correlation scales of cu were obtained, 500 realizations could be generated by using the random field generator mentioned above. For example, when λx = 0.5 m and λy = 0.5 m, the pf evaluated by MCS was 0.470.

3. Results

In this section, the behaviors of the probability of failure (pf) with the change in correlation scales in different directions are investigated. In this paper, λx and λy are 0.5, 1, 2, 5, 10, 25, 50 and 100 m, respectively. That is, the factors of safety of 32,000 realizations need to be evaluated, which requires considerable computing.
First, the effect of the correlation scale (Λ = λx = λy) on pf with a statistically isotropic cu was discussed. Figure 4 shows the relationship between pf and correlation scale Λ. When Λ is less than 1 m, pf increases with increasing Λ (e.g., Λ = 0.5 m, pf = 0.470; Λ = 1 m, pf = 0.639). Then, when Λ > 1 m, pf gradually stabilizes to 0.651. It can also be concluded from Figure 1 that when Λ > 1 m, the influence of correlation scales on the distribution of cu is gradually reduced so that pf is eventually constant, which is consistent with the conclusion by Griffiths and Fenton [22].
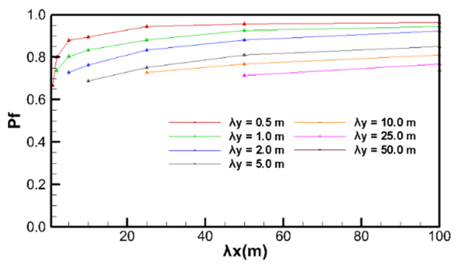
Then, the results of pf with the statistically anisotropic (λx > λy) cu are discussed. Figure 5 shows the change in pf with different λy as λx increases. It appears that with increasing λx, pf has a gradually increasing trend. When λx is less than the overall length of the slope (the slope length in this study is 20 m), pf increases rapidly. In the case of λy = 1 m, when λx = 0.5 m, pf = 0.639 and when λx = 10 m, pf increases to 0.833, increasing by 0.194. When λx is larger than the slope length, the increase in pf becomes less obvious. In the case of λy = 1 m, when λx = 25 m, pf = 0.882 and when λx = 50 m, pf only increases by 0.044 to 0.926. Moreover, for different λy (which means different layer thicknesses), the pattern, i.e., the larger λx is, the higher pf is, is the same.
Figure 6 shows the relationship between pf and λy with different λx, where λy is greater than λx. Contrary to the pattern of λx on pf, with the increase in λy, pf decreases under the same λx. When λy was less than the slope height (H = 10 m), pf decreased rapidly and when λy was greater than the slope height, pf decreased slowly.
In addition, compared with the condition of statistically isotropic cu, when cu is statistically anisotropic, the variation of λ has a significant effect on the stability of the slope, especially when λx is smaller than the slope length and λy is smaller than the slope height.
According to the above results, it can be easily concluded that in the reliability evaluation of undrained slopes in stratified structures, either the underestimation of λx or the overestimation of λy leads to an unconservative estimate of pf, resulting in an overestimation of the slope stability. This is a more detailed result than previous studies which only considered statistical isotropy and concluded that ignoring the spatial variability of the shear strength parameters could lead to an unconservative estimate of the probability of slope failure.
To ensure that the results of MCS with different correlation scales are representative, the mean of pf during MCS is examined. Figure 7 shows that the mean of pf changes with the increase in the number of realizations for four combinations of correlation scales (λx = 25 m, λy = 1 m; λx = 1 m, λy =25 m; λx = 10 m, λy = 2 m; λx = 2 m, λy =10 m). It is accepted that within 200 realizations, the fluctuation of the mean value of pf is large and after approximately 300 realizations, the mean value of pf becomes stable.

4. Mechanism Analysis

According to the results in the previous section, the longer the horizontal correlation scale is, the higher the probability of failure and the longer the vertical correlation scale is, the lower the probability of failure. The mechanism of this pattern is now investigated based on the displacement distribution of horizontal and vertical layered slopes under gravity.
Figure 8a is the contour map of displacement (u) corresponding to the parameters in Figure 2a (λx = 2 m, λy = 0.5 m), which has a FS of 1.03 and the displacement contour in Figure 8b corresponds to Figure 2b (λx = 10 m, λy = 0.5 m) with a FS of 0.98. The random seeds of these two realizations are the same; again, the distributions of the strong zone and weak zone are the same, but the degree of connectivity is different. Since the mean and standard deviation of cu of these two realizations are the same, the magnitude of their displacement is similar in the range. However, under these two sets of correlation scales, pf calculated by MCS is quite different, when λx = 2 m and λy = 0.5 m, pf is 0.788, when λx = 10 m and λy = 0.5 m, pf is 0.896.
Figure 8 shows that the contour line of the slope displacement distribution is not smooth locally, which is caused by the heterogeneity of the parameter and the slope displacement at the same position is larger when λx is larger. Comparison of Figure 8a with Figure 8b shows that the area where the slope is significantly displaced becomes longer in the horizontal direction since the weak zone is more connected in the horizontal direction. For example, when λx = 2 m, λy = 0.5 m, near y = 8 m, the area of maximum displacement extends no more than 5 m in the horizontal direction (Figure 8a), while when λx = 10 m, λy = 0.5 m, at the same elevation, the maximum displacement width exceeds 5 m (Figure 8b). On the other hand, the yellow area in Figure 8a extends longer in the sliding direction than the red area in Figure 8b. It is suggested that a more connected strong zone prevents the development of local displacements as a wall.
However, as the slope is only subject to gravity and the sliding direction is pointing out of the slope, the more connected horizontal weak zone makes the displacement development more unconstrained when λx is greater than λy, resulting in greater slope displacement and, consequently, greater pf.
The displacement contour for the case where λx is less than λy is shown in Figure 9, where Figure 9a corresponds to the parameters in Figure 3a (λx = 0.5 m, λy = 2.0 m), which has a FS of 1.04 and Figure 9b corresponds to Figure 3b (λx = 0.5 m, λy = 10.0 m) with a FS of 1.07.
As can be seen in Figure 9, the magnitude of displacement is smaller when λx is smaller than λy, ranging from 0.01 m to 0.11 m, compared to the case where λx is greater than λy. Additionally, the contour line of the slope displacement distribution is also not smooth locally because of spatial variability of the parameter. Moreover, in the case of 9a, a discontinuity of the displacement distribution occurs at X = 9 m and Y = 10 m due to the existence of a strong zone such as an anti-slip pile. Additionally, as λy becomes larger, the blocking effect of the strong zone becomes more obvious, such that the red area in Figure 9b is smaller than the red area in Figure 9a and a new displacement discontinuity appears near X = 6 m, Y = 23 m. Therefore, in the case where λx is less than λy, when λy is greater, the strong zone, such as an anti-slip pile, is more continuous, providing more anti-slip action and increasing the stability of the slope, the displacement decreases and pf is consequently smaller.
As a summary, an inaccurate assessment of the spatial correlation scales of parameters in slope stability analysis can increase the uncertainty in the calculation of pf and local displacement.

5. Discussion

The accurate description of parameter heterogeneity affects the uncertainty of the slope reliability evaluation. Additionally, the correlation scales reflect the spatial structure of the strata in the slope as an important indicator of the random field theory that quantitatively describes the heterogeneity of the parameters. Due to geological processes, the spatial structure of geotechnical materials is mostly stratified, that is, the correlation scales are not uniform in different directions, also known as statistical anisotropy. However, the effect of correlation scales on the reliability of heterogeneous slopes has rarely been reported in previous studies, which is the reason why this paper investigates the effect of statistical anisotropy of cu on slope reliability.
According to the results of this study, inaccurate statistical anisotropy does lead to significant uncertainty in the slope reliability evaluation, especially underestimating the horizontal correlation scale, which can underestimate the probability of slope failure. Therefore, in practical work on slope reliability evaluation, when the strata are shown to be horizontally stratified through field survey data, the value of cu input to the calculation model needs to be taken very carefully and the use of more complex and detailed geometric models is recommended, especially not to simplify the parameter distribution to homogeneous.
Although this study is limited to synthetic numerical models, it does provide insight into the effect of statistical anisotropy of cu on slope reliability evaluation and demonstrates the importance of the accurate description of the correlation scale for assessment of the probability of failure.
Furthermore, it should be noted that while our discussions focus on the statistical anisotropy of cu, the same stochastic tools can be applied to the analysis of spatial variability of any other parameters and boundary conditions. This refinement is left to future studies. On the other hand, in order to highlight the effect of statistical anisotropy on slope stability, this study conducted a synthetic numerical experiment using unconditional Monte Carlo simulations. If sampling data are available, conditional MCS, which creates realizations that preserve measurements of the primary information at the sampling locations, can be performed to further reduce uncertainty in the slope reliability evaluation and lead to a more accurate probability of failure.

6. Conclusions

This paper introduces the stochastic conceptualization of heterogeneity, which is that the spatial distribution of the parameters can be described with mean, variance and correlation scales. The correlation scales characterize the spatial structure of the strata and when λx is equal to λy, it is called statistical isotropy; otherwise, it is called statistical anisotropy.
Additionally, the effect of statistical anisotropy of undrained shear strength on pf is investigated based on the Monte Carlo simulation. The results show that λx and λy of cu have significant effects on pf. On the one hand, when λx is greater than λy, the larger λx is, the larger pf is, especially when λx is smaller than the slope length, pf increases more significantly. On the other hand, when λy is greater than λx, the larger λy is, the smaller pf is, especially when λy is smaller than the slope height, pf decreases more significantly.
Then, we conduct the displacement analysis of slopes to study the mechanism of the effect of statistical anisotropy on pf. It can be concluded that when λx is greater than λy, the weak zone has a more important influence than the strong zone on slope stability, that is, with λx increasing, the more connected horizontal weak zone makes the displacement development more unconstrained resulting in greater slope displacement and, consequently, greater pf. When λy is greater than λx, the strong zone has a more important influence, that is, with λy increasing, the strong zone, such as an anti-slip pile, is more continuous, providing more anti-slip action and increasing the stability of the slope, the displacement decreases and pf is consequently smaller.
Lastly, it is crucial to accurately estimate correlation scales for the slope stability evaluation, as either the underestimation of λx or the overestimation of λy will result in an underestimation of pf. Therefore, when dealing with horizontally stratified slopes, accurate input parameters and detailed geometric models are recommended.

Author Contributions

Conceptualization, C.Y. and Y.L.; methodology, X.H.; software, Y.L.; validation, F.Z. and M.D.; data curation, Z.L.; writing—original draft preparation, Y.L.; writing—review and editing, X.H.; funding acquisition, W.G. All authors have read and agreed to the published version of the manuscript.

Funding

This research was funded by the Fundamental Research Funds for the Central Universities, grant number 2019B60414.

Institutional Review Board Statement

Not applicable.

Informed Consent Statement

Not applicable.

Data Availability Statement

The data that support the findings of this study are available from the corresponding author upon request.

Conflicts of Interest

The authors declare no conflict of interest.

References

  1. Nielsen, D.R.; Biggar, J.W.; Erh, K.T. Spatial Variability of Field-measured Soil-water Characteristics. Hilgardia 1985, 42, 215–260. [Google Scholar] [CrossRef] [Green Version]
  2. Lacasse, S.; Nadim, F. Uncertainties in characterising soil properties. Publ.-Nor. Geotek. Inst. 1997, 201, 49–75. [Google Scholar]
  3. Rackwitz, R. Reviewing probabilistic soils modelling. Comput. Geotech. 2000, 26, 199–223. [Google Scholar] [CrossRef]
  4. Cho, S.E. Effects of spatial variability of soil properties on slope stability. Eng. Geol. 2007, 92, 97–109. [Google Scholar] [CrossRef]
  5. Ji, J.; Liao, H.J.; Low, B.K. Modeling 2-D spatial variation in slope reliability analysis using interpolated autocorrelations. Comput. Geotech. 2012, 40, 135–146. [Google Scholar] [CrossRef]
  6. Griffiths, D.V.; Huang, J.; Fenton, G.A. Influence of spatial variability on slope reliability using 2-D random fields. J. Geotech. Geoenvironmental Eng. 2009, 135, 1367–1378. [Google Scholar] [CrossRef] [Green Version]
  7. Jiang, S.H.; Li, D.Q.; Zhang, L.M.; Zhou, C.B. Slope reliability analysis considering spatially variable shear strength parameters using a non-intrusive stochastic finite element method. Eng. Geol. 2014, 168, 120–128. [Google Scholar] [CrossRef]
  8. Cai, J.S.; Yeh, T.C.J.; Yan, E.C.; Hao, Y.H.; Huang, S.Y.; Wen, J.C. Uncertainty of rainfall-induced landslides considering spatial variability of parameters. Comput. Geotech. 2017, 87, 149–162. [Google Scholar] [CrossRef] [Green Version]
  9. Qi, X.H.; Li, D.Q. Effect of spatial variability of shear strength parameters on critical slip surfaces of slopes. Eng. Geol. 2018, 239, 41–49. [Google Scholar] [CrossRef]
  10. Lin, S.; Zheng, H.; Han, C.; Han, B.; Li, W. Evaluation and prediction of slope stability using machine learning approaches. Front. Struct. Civ. Eng. 2021, 15, 821–833. [Google Scholar] [CrossRef]
  11. Sadeghifar, T.; Lama, G.F.C.; Sihag, P.; Bayram, A.; Kisi, O. Wave height predictions in complex sea flows through soft computing models: Case study of Persian gulf. Ocean Eng. 2022, 245, 110467. [Google Scholar] [CrossRef]
  12. Novati, G.; de Laroussilhe, H.L.; Koumoutsakos, P. Automating turbulence modelling by multi-agent reinforcement learning. Nat. Mach. Intell. 2021, 3, 87–96. [Google Scholar] [CrossRef]
  13. Yeh, T.C.J.; Khaleel, R.; Carroll, K.C. Flow through Heterogeneous Geological Media; Cambridge University Press: New York, NY, USA, 2015; pp. 109–135. [Google Scholar]
  14. Ye, M.; Khaleel, R.; Yeh, T.C.J. Stochastic analysis of moisture plume dynamics of a field injection experiment. Water Resour. Res. 2005, 41, 1–13. [Google Scholar] [CrossRef] [Green Version]
  15. McGlade, J.; Wallace, L.; Reinke, K.; Jones, S. The Potential of Low-Cost 3D Imaging Technologies for Forestry Applications: Setting a Research Agenda for Low-Cost Remote Sensing Inventory Tasks. Forests 2022, 13, 204. [Google Scholar] [CrossRef]
  16. Guimarães, N.; Pádua, L.; Marques, P.; Silva, N.; Peres, E.; Sousa, J.J. Forestry remote sensing from unmanned aerial vehicles: A review focusing on the data, processing and potentialities. Remote Sens. 2020, 12, 1046. [Google Scholar] [CrossRef] [Green Version]
  17. Lama, G.F.C.; Sadeghifar, T.; Azad, M.T.; Sihag, P.; Kisi, O. On the Indirect Estimation of Wind Wave Heights over the Southern Coasts of Caspian Sea: A Comparative Analysis. Water 2022, 14, 843. [Google Scholar] [CrossRef]
  18. Gale, M.G.; Cary, G.J.; Van Dijk, A.I.J.M.; Yebra, M. Forest fire fuel through the lens of remote sensing: Review of approaches, challenges and future directions in the remote sensing of biotic determinants of fire behaviour. Remote Sens. Environ. 2021, 255, 112282. [Google Scholar] [CrossRef]
  19. He, J.; Barton, I. Hyperspectral remote sensing for detecting geotechnical problems at ray mine. Eng. Geol. 2021, 292, 106261. [Google Scholar] [CrossRef]
  20. Lama, G.F.C.; Giovannini, M.R.M.; Errico, A.; Mirzaei, S.; Padulano, R.; Chirico, G.B.; Preti, F. Hydraulic efficiency of green-blue flood control scenarios for vegetated rivers: 1D and 2D unsteady simulations. Water 2021, 13, 2620. [Google Scholar] [CrossRef]
  21. Godone, D.; Allasia, P.; Borrelli, L.; Gullà, G. UAV and structure from motion approach to monitor the maierato landslide evolution. Remote Sens. 2020, 12, 1039. [Google Scholar] [CrossRef] [Green Version]
  22. Griffiths, D.V.; Fenton, G.A. Probabilistic Slope Stability Analysis by Finite Elements. J. Geotech. Geoenvironmental Eng. 2004, 23, 1390–1392. [Google Scholar] [CrossRef] [Green Version]
  23. Cai, J.S.; Yeh, T.C.J.; Yan, E.C.; Tang, R.X.; Wen, J.C.; Huang, S.Y. An adaptive sampling approach to reduce uncertainty in slope stability analysis. Landslides 2018, 15, 1193–1204. [Google Scholar] [CrossRef]
  24. Zhu, D.; Griffiths, D.V.; Fenton, G.A. Probabilistic stability analyses of layered excavated slopes. Geotech. Lett. 2019, 9, 161–164. [Google Scholar] [CrossRef]
  25. Cai, J.S.; Yeh, T.C.J.; Yan, E.C.; Tang, R.X.; Hao, Y.H. Design of borehole deployments for slope stability analysis based on a probabilistic approach. Comput. Geotech. 2021, 133, 103909. [Google Scholar] [CrossRef]
  26. Wang, Y.L.; Yeh, T.C.J.; Xu, D.; Li, K.; Wen, J.C.; Huang, S.Y.; Wang, W.; Hao, Y. Stochastic analysis of oscillatory hydraulic tomography. J. Hydrol. 2021, 596, 126105. [Google Scholar] [CrossRef]
  27. Li, D.; Chen, Y.; Lu, W.; Zhou, C. Stochastic response surface method for reliability analysis of rock slopes involving correlated non-normal variables. Comput. Geotech. 2011, 38, 58–68. [Google Scholar] [CrossRef]
  28. Lin, S.S.; Shen, S.L.; Zhou, A.; Xu, Y.S. Approach based on TOPSIS and Monte Carlo simulation methods to evaluate lake eutrophication levels. Water Res. 2020, 187, 116437. [Google Scholar] [CrossRef]
  29. Sun, R.; Yeh, T.C.J.; Mao, D.; Jin, M.; Lu, W.; Hao, Y. A temporal sampling strategy for hydraulic tomography analysis. Water Resour. Res. 2013, 49, 3881–3896. [Google Scholar] [CrossRef]
  30. Gao, X.; Yan, E.C.; Yeh, T.C.J.; Wang, Y.; Liang, Y.; Hao, Y. Reliability analysis of hydrologic containment of underground storage of liquefied petroleum gas. Tunn. Undergr. Sp. Technol. 2018, 79, 12–26. [Google Scholar] [CrossRef]
  31. Gutjahr, A.L. Fast fourier transforms for random field generation. In New Mexico Tech Project Report 4-R58-2690R; New Mexico Institute of Mining and Technology: Socorro, NM, USA, 1989; Volume 29, pp. 2385–2397. [Google Scholar]
  32. Dong, M.; Zhang, F.; Hu, M.; Liu, C. Study on the Influence of Anchorage Angle on the Anchorage Effect of Soft-Hard Interbedded Toppling Deformed Rock Mass. KSCE J. Civ. Eng. 2020, 24, 2382–2392. [Google Scholar] [CrossRef]
  33. Dong, M.; Zhang, F.; Lv, J.; Fei, Y.; Li, Z. Study of Stability Influencing Factors of Excavated Anti-Dip Rock Slope. KSCE J. Civ. Eng. 2020, 24, 2293–2303. [Google Scholar] [CrossRef]
  34. Griffiths, D.V.; Lane, P.A. Slope stability analysis by finite elements. Geotechnique 1999, 49, 387–403. [Google Scholar] [CrossRef]
Figure 1. Numerically generated statistically isotropic undrained shear strength fields: (a) λx = λy = 0.5 m, (b) λx = λy = 2 m and (c) λx = λy = 5 m.
Figure 1. Numerically generated statistically isotropic undrained shear strength fields: (a) λx = λy = 0.5 m, (b) λx = λy = 2 m and (c) λx = λy = 5 m.
Water 14 01225 g001
Figure 2. Numerically generated statistically anisotropic undrained shear strength fields (λx > λy): (a) λx = 2 m, λy = 0.5 m, (b) λx = 5 m, λy = 0.5 m, (c) λx = 25 m and λy = 0.5 m.
Figure 2. Numerically generated statistically anisotropic undrained shear strength fields (λx > λy): (a) λx = 2 m, λy = 0.5 m, (b) λx = 5 m, λy = 0.5 m, (c) λx = 25 m and λy = 0.5 m.
Water 14 01225 g002
Figure 3. Numerically generated statistically anisotropic undrained shear strength fields (λx < λy): (a) λx = 0.5 m, λy = 2 m, (b) λx = 0.5 m, λy = 5 m and (c) λx = 0.5 m and λy = 25 m.
Figure 3. Numerically generated statistically anisotropic undrained shear strength fields (λx < λy): (a) λx = 0.5 m, λy = 2 m, (b) λx = 0.5 m, λy = 5 m and (c) λx = 0.5 m and λy = 25 m.
Water 14 01225 g003
Figure 4. The change in pf with different correlation scales (Λ = λx = λy).
Figure 4. The change in pf with different correlation scales (Λ = λx = λy).
Water 14 01225 g004
Figure 5. The change in pf with different correlation scales (Λ = λx = λy).
Figure 5. The change in pf with different correlation scales (Λ = λx = λy).
Water 14 01225 g005
Figure 6. The change in pf with different correlation scales (Λ = λx = λy).
Figure 6. The change in pf with different correlation scales (Λ = λx = λy).
Water 14 01225 g006
Figure 7. The change in pf with different correlation scales (Λ = λx = λy).
Figure 7. The change in pf with different correlation scales (Λ = λx = λy).
Water 14 01225 g007
Figure 8. The contour map of the displacement of horizontal layered slopes with different λx: (a) λx = 2 m and (b) λx = 10 m.
Figure 8. The contour map of the displacement of horizontal layered slopes with different λx: (a) λx = 2 m and (b) λx = 10 m.
Water 14 01225 g008
Figure 9. The contour map of the displacement of vertical layered slopes with different λy: (a) λy = 2 m and (b) λy = 10 m.
Figure 9. The contour map of the displacement of vertical layered slopes with different λy: (a) λy = 2 m and (b) λy = 10 m.
Water 14 01225 g009
Publisher’s Note: MDPI stays neutral with regard to jurisdictional claims in published maps and institutional affiliations.

Share and Cite

MDPI and ACS Style

Yu, C.; Li, Y.; Ge, W.; Zhang, F.; Hou, X.; Li, Z.; Dong, M. Effect of Statistically Anisotropic Undrained Shear Strength on the Probability of Slope Failure. Water 2022, 14, 1225. https://doi.org/10.3390/w14081225

AMA Style

Yu C, Li Y, Ge W, Zhang F, Hou X, Li Z, Dong M. Effect of Statistically Anisotropic Undrained Shear Strength on the Probability of Slope Failure. Water. 2022; 14(8):1225. https://doi.org/10.3390/w14081225

Chicago/Turabian Style

Yu, Cheng, Yukun Li, Weiya Ge, Faming Zhang, Xiaolan Hou, Zinan Li, and Menglong Dong. 2022. "Effect of Statistically Anisotropic Undrained Shear Strength on the Probability of Slope Failure" Water 14, no. 8: 1225. https://doi.org/10.3390/w14081225

APA Style

Yu, C., Li, Y., Ge, W., Zhang, F., Hou, X., Li, Z., & Dong, M. (2022). Effect of Statistically Anisotropic Undrained Shear Strength on the Probability of Slope Failure. Water, 14(8), 1225. https://doi.org/10.3390/w14081225

Note that from the first issue of 2016, this journal uses article numbers instead of page numbers. See further details here.

Article Metrics

Back to TopTop