Identification of Rainfall Thresholds Likely to Trigger Flood Damages across a Mediterranean Region, Based on Insurance Data and Rainfall Observations
Abstract
1. Introduction
2. Materials and Methods
2.1. Study Area
2.2. Data Spatial Analysis and Sources
2.3. Rainfall Events
2.4. Statistical Methods
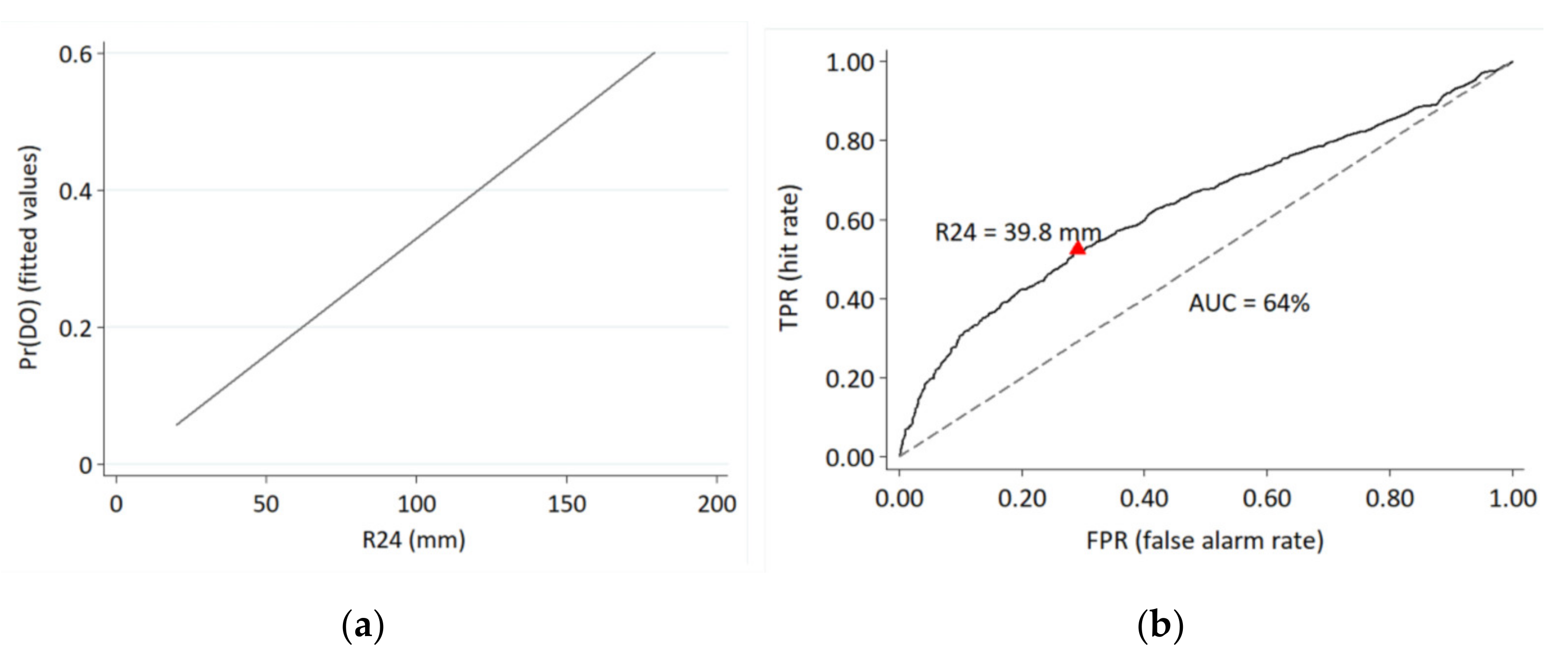
2.4.1. Analysis for the AMA as a Whole
2.4.2. Analysis at the Municipality Level
3. Results
3.1. Overview of the Study Area
3.2. Optimal R24 Thresholds per Municipality
4. Discussion
5. Conclusions
Author Contributions
Funding
Data Availability Statement
Acknowledgments
Conflicts of Interest
References
- Petrucci, O.; Papagiannaki, K.; Aceto, L.; Boissier, L.; Kotroni, V.; Grimalt, M.; Llasat, M.C.; Llasat-Botija, M.; Rosselló, J.; Pasqua, A.A.; et al. Meff: The database of mediterranean flood fatalities (1980 to 2015). J. Flood Risk Manag. 2018, 12, e12461. [Google Scholar] [CrossRef]
- Petrucci, O.; Aceto, L.; Bianchi, C.; Bigot, V.; Brázdil, R.; Pereira, S.; Kahraman, A.; Kılıç, Ö.; Kotroni, V.; Llasat, M.C.; et al. Flood fatalities in Europe, 1980–2018: Variability, features, and lessons to learn. Water 2019, 11, 1682. [Google Scholar] [CrossRef]
- MunichRe. Risks from Floods, Storm Surges and Flash Floods. Underestimated Natural Hazard. Available online: https://www.munichre.com/en/risks/natural-disasters-losses-are-trending-upwards/floods-and-flash-floods-underestimated-natural-hazards.html (accessed on 31 December 2021).
- European Environmental Agency. Economic Losses from Climate-Related Extremes in Europe. Available online: https://www.eea.europa.eu/data-and-maps/indicators/direct-losses-from-weather-disasters-4/assessment (accessed on 31 December 2021).
- Hoeppe, P. Trends in weather related disasters—Consequences for insurers and society. Weather. Clim. Extrem. 2016, 11, 70–79. [Google Scholar] [CrossRef]
- UNDRR. Global Assessment Report on Disaster Risk Reduction. 2019. Available online: https://gar.unisdr.org (accessed on 31 December 2021).
- Moftakhari, H.R.; AghaKouchak, A.; Sanders, B.F.; Matthew, R.A. Cumulative hazard: The case of nuisance flooding. Earth’s Future 2017, 5, 214–223. [Google Scholar] [CrossRef]
- Paprotny, D.; Sebastian, A.; Morales-Nápoles, O.; Jonkman, S.N. Trends in flood losses in europe over the past 150 years. Nat. Commun. 2018, 9, 1985. [Google Scholar] [CrossRef]
- Papagiannaki, K.; Lagouvardos, K.; Kotroni, V. A database of high-impact weather events in greece: A descriptive impact analysis for the period 2001–2011. Nat. Hazards Earth Syst. Sci. 2013, 13, 727–736. [Google Scholar] [CrossRef]
- Papagiannaki, K.; Lagouvardos, K.; Kotroni, V.; Bezes, A. Flash flood occurrence and relation to the rainfall hazard in a highly urbanized area. Nat. Hazards Earth Syst. Sci. 2015, 15, 1859–1871. [Google Scholar] [CrossRef]
- Faccini, F.; Luino, F.; Paliaga, G.; Roccati, A.; Turconi, L. Flash flood events along the west mediterranean coasts: Inundations of urbanized areas conditioned by anthropic impacts. Land 2021, 10, 620. [Google Scholar] [CrossRef]
- Cortès, M.; Turco, M.; Llasat-Botija, M.; Llasat, M.C. The relationship between precipitation and insurance data for floods in a Mediterranean region (Northeast Spain). Nat. Hazards Earth Syst. Sci. 2018, 18, 857–868. [Google Scholar] [CrossRef]
- Blumenthal, B.; Nyberg, L. The impact of intense rainfall on insurance losses in two Swedish cities. J. Flood Risk Manag. 2019, 12, e12504. [Google Scholar] [CrossRef]
- Spekkers, M.H.; Clemens, F.H.L.R.; ten Veldhuis, J.A.E. On the occurrence of rainstorm damage based on home insurance and weather data. Nat. Hazards Earth Syst. Sci. 2015, 15, 261–272. [Google Scholar] [CrossRef]
- Papagiannaki, K.; Kotroni, V.; Lagouvardos, K.; Ruin, I.; Bezes, A. Urban area response to flash flood–triggering rainfall, featuring human behavioral factors: The case of 22 October 2015 in Attica, Greece. Weather. Clim. Soc. 2017, 9, 621–638. [Google Scholar] [CrossRef]
- Bernet, D.B.; Trefalt, S.; Martius, O.; Weingartner, R.; Mosimann, M.; Röthlisberger, V.; Zischg, A.P. Characterizing precipitation events leading to surface water flood damage over large regions of complex terrain. Environ. Res. Lett. 2019, 14, 064010. [Google Scholar] [CrossRef]
- Barbería, L.; Amaro, J.; Aran, M.; Llasat, M.C. The role of different factors related to social impact of heavy rain events: Considerations about the intensity thresholds in densely populated areas. Nat. Hazards Earth Syst. Sci. 2014, 14, 1843–1852. [Google Scholar] [CrossRef][Green Version]
- Tian, X.; ten Veldhuis, M.C.; Schleiss, M.; Bouwens, C.; van de Giesen, N. Critical rainfall thresholds for urban pluvial flooding inferred from citizen observations. Sci. Total Environ. 2019, 689, 258–268. [Google Scholar] [CrossRef] [PubMed]
- André, C.; Monfort, D.; Bouzit, M.; Vinchon, C. Contribution of insurance data to cost assessment of coastal flood damage to residential buildings: Insights gained from Johanna (2008) and Xynthia (2010) storm events. Nat. Hazards Earth Syst. Sci. 2013, 13, 2003–2012. [Google Scholar] [CrossRef]
- Spekkers, M.H.; Kok, M.; Clemens, F.H.L.R.; ten Veldhuis, J.A.E. Decision-tree analysis of factors influencing rainfall-related building structure and content damage. Nat. Hazards Earth Syst. Sci. 2014, 14, 2531–2547. [Google Scholar] [CrossRef]
- Torgersen, G.; Bjerkholt, J.T.; Kvaal, K.; Lindholm, O.G. Correlation between extreme rainfall and insurance claims due to urban flooding—Case study Fredrikstad, Norway. J. Urban Environ. Eng. 2015, 9, 127–138. [Google Scholar] [CrossRef]
- Leal, M.; Fragoso, M.; Lopes, S.; Reis, E. Material damage caused by high-magnitude rainfall based on insurance data: Comparing two flooding events in the Lisbon metropolitan area and Madeira Island, Portugal. Int. J. Disaster Risk Reduct. 2020, 51, 101806. [Google Scholar] [CrossRef]
- Prahl, B.F.; Rybski, D.; Boettle, M.; Kropp, J.P. Damage functions for climate-related hazards: Unification and uncertainty analysis. Nat. Hazards Earth Syst. Sci. 2016, 16, 1189–1203. [Google Scholar] [CrossRef]
- Prahl, B.F.; Rybski, D.; Burghoff, O.; Kropp, J.P. Comparison of storm damage functions and their performance. Nat. Hazards Earth Syst. Sci. 2015, 15, 769–788. [Google Scholar] [CrossRef]
- Moncoulon, D.; Labat, D.; Ardon, J.; Leblois, E.; Onfroy, T.; Poulard, C.; Aji, S.; Rémy, A.; Quantin, A. Analysis of the French insurance market exposure to floods: A stochastic model combining river overflow and surface runoff. Nat. Hazards Earth Syst. Sci. 2014, 14, 2469–2485. [Google Scholar] [CrossRef]
- Zhou, Q.; Panduro, T.E.; Thorsen, B.J.; Arnbjerg Nielsen, K. Verification of flood damage modelling using insurance data. Water Sci. Technol. 2013, 68, 425–432. [Google Scholar] [CrossRef] [PubMed]
- Menon, V.; Kolathayar, S. Review on Landslide Early Warning System: A Brief History, Evolution, and Controlling Parameters. In Civil Engineering for Disaster Risk Reduction; Kolathayar, S., Pal, I., Chian, S.C., Mondal, A., Eds.; Springer: Singapore, 2022; pp. 129–145. [Google Scholar]
- Chikalamo, E.E.; Mavrouli, O.C.; Ettema, J.; van Westen, C.J.; Muntohar, A.S.; Mustofa, A. Satellite-derived rainfall thresholds for landslide early warning in Bogowonto Catchment, Central Java, Indonesia. Int. J. Appl. Earth Obs. Geoinf. 2020, 89, 102093. [Google Scholar] [CrossRef]
- De Luca, D.L.; Versace, P. Diversity of rainfall thresholds for early warning of hydrogeological disasters. Adv. Geosci. 2017, 44, 53–60. [Google Scholar] [CrossRef]
- Santos, M.; Fragoso, M. Precipitation thresholds for triggering floods in the Corgo Basin, Portugal. Water 2016, 8, 376. [Google Scholar] [CrossRef]
- Alfieri, L.; Thielen, J. A European precipitation index for extreme rain-storm and flash flood early warning. Meteorol. Appl. 2015, 22, 3–13. [Google Scholar] [CrossRef]
- Ávila, A.D.; Carvajal, Y.E.; Justino, F. Representative rainfall thresholds for flash floods in the Cali river Watershed, Colombia. Nat. Hazards Earth Syst. Sci. Discuss. 2015, 3, 4095–4119. [Google Scholar]
- Lagouvardos, K.; Kotroni, V.; Dobricic, S.; Nickovic, S.; Kallos, G. On the storm of 21–22 October 1994 over Greece: Observations and model results. J. Geophys. Res. 1996, 101, 26217–26226. [Google Scholar] [CrossRef]
- Kotroni, V.; Lagouvardos, K.; Kallos, G.; Ziakopoulos, D. Severe flooding over central and southern Greece associated with pre-cold frontal orographic lifting. Q. J. R. Meteorol. Soc. 1999, 125, 967–991. [Google Scholar] [CrossRef]
- Diakakis, M.; Foumelis, M.; Gouliotis, L.; Lekkas, E. Preliminary Flood Hazard and Risk Assessment in Western Athens Metropolitan Area. In Advances in the Research of Aquatic Environment; Environmental Earth Sciences; Lambrakis, N., Stournaras, G., Katsanou, K., Eds.; Springer: Berlin/Heidelberg, Germany, 2011. [Google Scholar] [CrossRef]
- Postance, B.; Hillier, J.; Dijkstra, T.; Dixon, N. Comparing threshold definition techniques for rainfall-induced landslides: A national assessment using radar rainfall. Earth Surf. Process. Landf. 2018, 43, 553–560. [Google Scholar] [CrossRef]
- Hellenic Statistical Authority, Census 2011. Available online: https://www.statistics.gr/en/2011-census-pop-hous (accessed on 31 December 2021).
- Lagouvardos, K.; Kotroni, V.; Bezes, A.; Koletsis, I.; Kopania, T.; Lykoudis, S.; Mazarakis, N.; Papagiannaki, K.; Vougioukas, S. The automatic weather stations noann network of the national observatory of Athens: Operation and database. Geosci. Data J. 2017, 4, 4–16. [Google Scholar] [CrossRef]
- Baesens, B.; Van Gestel, T.; Viaene, S.; Stepanova, M.; Suykens, J.; Vanthienen, J. Benchmarking state-of-the-art classification algorithms for credit scoring. J. Oper. Res. Soc. 2003, 54, 627–635. [Google Scholar] [CrossRef]
- Medlock, C.; Oppenheim, A. Optimal ROC Curves from Score Variable Threshold Tests. In Proceedings of the ΙΕΕΕ International Conference on Acoustics, Speech and Signal Processing (ΙΕΕΕ ICASSP 2019), Brighton, UK, 12–17 May 2019. [Google Scholar] [CrossRef]
- England, W.L. An exponential model used for optimal threshold selection on roc curves. Med. Decis. Making 1988, 8, 120–131. [Google Scholar] [CrossRef] [PubMed]
- Arlot, S.; Celisse, A. A survey of cross-validation procedures for model selection. Stat. Surv. 2010, 4, 40–79. [Google Scholar] [CrossRef]
- Luque-Fernandez, M.A.Q.; Redondo-Sanchez, D.; Maringe, C. Cross-Validated Area Under the Curve. GitHub Repository. 2019. Available online: https://github.com/migariane/cvauroc (accessed on 31 December 2021).
- Allison, P.D. Measures of Fit for Logistic Regression. In Proceedings of the SAS Global Forum, Washington, DC, USA, 23–26 March 2014; Paper 1485. Available online: https://support.sas.com/resources/papers/proceedings14/1485-2014.pdf (accessed on 31 December 2021).
- Thiese, M.S.; Ronna, B.; Ott, U. P Value interpretations and considerations. J. Thorac. Dis. 2016, 8, E928–E931. [Google Scholar] [CrossRef] [PubMed]
- Kotroni, V.; Lagouvardos, K. Evaluation of MM5 high-resolution real-time forecasts over the urban area of Athens, Greece. J. Appl. Meteorol. 2004, 43, 1666–1678. [Google Scholar] [CrossRef]
- Kotroni, V.; Lagouvardos, K. Precipitation forecast skill of different convective parameterization and microphysical schemes: Application for the cold season over Greece. Geophys. Res. Lett. 2001, 28, 1977–1980. [Google Scholar] [CrossRef]
- Arnaud, P.; Lavabre, J.; Fouchier, C.; Diss, S.; Javelle, P. Sensitivity of hydrological models to uncertainty of rainfall input. Hydrol. Sci. J. 2011, 56, 397–410. [Google Scholar] [CrossRef]
- Maier, R.; Krebs, G.; Pichler, M.; Muschalla, D.; Gruber, G. Spatial rainfall variability in urban environments—High-density precipitation measurements on a city-scale. Water 2020, 12, 1157. [Google Scholar] [CrossRef]
- Segoni, S.; Battistini, A.; Rossi, G.; Rosi, A.; Lagomarsino, D.; Catani, F.; Moretti, S.; Casagli, N. Technical note: An operational landslide early warning system at regional scale based on space–time-variable rainfall thresholds. Nat. Hazards Earth Syst. Sci. 2015, 15, 853–861. [Google Scholar] [CrossRef]
- Lee, W.Y.; Park, S.K.; Sung, H.H. The optimal rainfall thresholds and probabilistic rainfall conditions for a landslide early warning system for Chuncheon, Republic of Korea. Landslides 2021, 18, 1721–1739. [Google Scholar] [CrossRef]
- Kotroni, V.; Lagouvardos, K.; Bezes, A.; Dafis, S.; Galanaki, E.; Giannaros, C.; Giannaros, T.; Karagiannidis, A.; Koletsis, I.; Kopania, T.; et al. Storm naming in the eastern mediterranean: Procedures, events review and impact on the citizens risk perception and readiness. Atmosphere 2021, 12, 1537. [Google Scholar] [CrossRef]
- Jauernic, S.T.; van den Broeke, M.S. Tornado warning response and perceptions among undergraduates in Nebraska. Weather Clim. Soc. 2017, 9, 125–139. [Google Scholar] [CrossRef]
- Lim, J.R.; Liu, B.F.; Egnoto, M. Cry wolf effect? Evaluating the impact of false alarms on public responses to tornado alerts in the Southeastern United States. Weather Clim. Soc. 2019, 11, 549–563. [Google Scholar] [CrossRef]
- Verbakel, J.Y.; Steyerberg, E.W.; Uno, H.; de Cock, B.; Wynants, L.; Collins, G.S.; van Calster, B. Roc curves for clinical prediction models part 1. Roc plots showed no added value above the auc when evaluating the performance of clinical prediction models. J. Clin. Epidemiol. 2020, 126, 207–216. [Google Scholar] [CrossRef]
- Young, A.; Bhattacharya, B.; Zevenbergen, C. A rainfall threshold-based approach to early warnings in urban data-scarce regions: A case study of pluvial flooding in Alexandria, Egypt. J. Flood Risk Manag. 2021, 14, e12702. [Google Scholar] [CrossRef]





| Variable | b | SE | p Value | 95% Conf. Interval | |
|---|---|---|---|---|---|
| R24 1 | 3.03 | 0.18 | 0.000 | 2.68 | 3.39 |
| Population 1 | 1.51 | 0.11 | 0.000 | 1.29 | 1.72 |
| Intercept | −12.87 | 0.54 | 0.000 | −13.93 | −11.80 |
| N = 8726 | |||||
| LR chi2(5) = 498.85 | |||||
| Prob > chi2 = 0.000 | |||||
| Pseudo R2 = 0.08 | |||||
| ROC–AUC Metrics | ||
|---|---|---|
| Cross-validated (cv) mean AUC | 0.64 | |
| cvSD AUC | 0.02 | |
| Bootstrap bias corrected 95% CI | 0.62 | 0.66 |
| k-folds | 8 | |
| Mean | SD | Min | Max | |
|---|---|---|---|---|
| R24–DO pairs 1 | 147.9 | 474.1 | 7 | 3695 |
| Damage occurrences (i.e., DO = 1) | 17.5 | 34.7 | 0 | 266 |
| % damage | 16.7 | 8.7 | 0 | 43 |
| PCs | 4.8 | 11.6 | 1 | 90 |
| Mean | SD | Min | Max | |
|---|---|---|---|---|
| R24–DO pairs | 275 | 673 | 46 | 3695 |
| Damage occurrences (i.e., DO = 1) | 31 | 48 | 7 | 266 |
| Logistic regression results | ||||
| R24 coefficient | 4.16 | 1.69 | 2.01 | 10.21 |
| R24 p-value | 0.02 | 0.02 | 0.00 | 0.05 |
| ROC–AUC results 1 | ||||
| AUC (0 to 1) | 0.68 | 0.07 | 0.60 | 0.85 |
| AUC SE | 0.07 | 0.03 | 0.02 | 0.13 |
| LCI | 0.54 | 0.09 | 0.38 | 0.75 |
| HCI | 0.82 | 0.08 | 0.68 | 1.00 |
| R24 opt. (mm) 2 | 40.4 | 10.6 | 30.4 | 78.0 |
| TPR (hit rate, %) | 68.7 | 15.7 | 50.0 | 100.0 |
| FPR (false alarm rate, %) | 32.5 | 14.4 | 3.0 | 59.0 |
| Correctly classified (%) | 67.9 | 11.4 | 51.0 | 92.0 |
| Flood Damage Risk Classification | Confidence Classification | |||
|---|---|---|---|---|
| Class | R24 opt. (mm) | Corresponding Percentile | AUC (%) | Corresponding Percentile |
| 1—low | >56 | 90th | 60–70 | Minimum–68th |
| 2—moderate | 42–56 | 75th–90th | 70–80 | 68th–93th |
| 3—high | 30–42 | Minimum–75th | >80 | >93th |
| R24 (mm) | TPR (Hit Rate) % | FPR (False Alarm Rate) % | Correctly Classified % |
|---|---|---|---|
| 35.0 | 60.2 | 40.3 | 59.7 |
| 41.8 1 | 50.4 | 25.7 | 72.6 |
| 50.4 | 40.2 | 16.5 | 80.4 |
Publisher’s Note: MDPI stays neutral with regard to jurisdictional claims in published maps and institutional affiliations. |
© 2022 by the authors. Licensee MDPI, Basel, Switzerland. This article is an open access article distributed under the terms and conditions of the Creative Commons Attribution (CC BY) license (https://creativecommons.org/licenses/by/4.0/).
Share and Cite
Papagiannaki, K.; Kotroni, V.; Lagouvardos, K.; Bezes, A.; Vafeiadis, V.; Messini, I.; Kroustallis, E.; Totos, I. Identification of Rainfall Thresholds Likely to Trigger Flood Damages across a Mediterranean Region, Based on Insurance Data and Rainfall Observations. Water 2022, 14, 994. https://doi.org/10.3390/w14060994
Papagiannaki K, Kotroni V, Lagouvardos K, Bezes A, Vafeiadis V, Messini I, Kroustallis E, Totos I. Identification of Rainfall Thresholds Likely to Trigger Flood Damages across a Mediterranean Region, Based on Insurance Data and Rainfall Observations. Water. 2022; 14(6):994. https://doi.org/10.3390/w14060994
Chicago/Turabian StylePapagiannaki, Katerina, Vassiliki Kotroni, Kostas Lagouvardos, Antonis Bezes, Vasileios Vafeiadis, Ioanna Messini, Efstathios Kroustallis, and Ioannis Totos. 2022. "Identification of Rainfall Thresholds Likely to Trigger Flood Damages across a Mediterranean Region, Based on Insurance Data and Rainfall Observations" Water 14, no. 6: 994. https://doi.org/10.3390/w14060994
APA StylePapagiannaki, K., Kotroni, V., Lagouvardos, K., Bezes, A., Vafeiadis, V., Messini, I., Kroustallis, E., & Totos, I. (2022). Identification of Rainfall Thresholds Likely to Trigger Flood Damages across a Mediterranean Region, Based on Insurance Data and Rainfall Observations. Water, 14(6), 994. https://doi.org/10.3390/w14060994

