Next Article in Journal
Physical Experimentation and 2D-CFD Parametric Study of Flow through Transverse Bottom Racks
Previous Article in Journal
Soil Water Use Strategies of Dominant Tree Species Based on Stable Isotopes in Subtropical Regions, Central China
 
 
Font Type:
Arial Georgia Verdana
Font Size:
Aa Aa Aa
Line Spacing:
Column Width:
Background:
Article

Determination of the Habitat Preferences of Dominant Epilithic Diatoms Using Statistical Models: A Case Study in the Han River, South Korea

1
Department of Water Environment Research, National Institute of Environmental Research, Incheon 22689, Korea
2
Department of Information & Statistics, Chungbuk National University, Chungbuk 28644, Korea
*
Author to whom correspondence should be addressed.
Water 2022, 14(6), 956; https://doi.org/10.3390/w14060956
Submission received: 14 February 2022 / Revised: 10 March 2022 / Accepted: 15 March 2022 / Published: 18 March 2022
(This article belongs to the Section Biodiversity and Functionality of Aquatic Ecosystems)

Abstract

:
Diatoms have traditionally been used to assess water quality; however, current research suggests that physical factors, such as habitat and landscape, may be linked to the organization of diatom assemblages in streams. The aim of this study was to determine the environmental factors affecting the physiological and ecological changes of epilithic diatoms. To this end, the dominant diatom species were used, and a strategy based on epilithic diatom habitat characteristics was investigated for river restoration. The classification and regression tree (CART) and weighted averaging (WA) regression models were used to determine the habitat preference of epilithic diatoms and physicochemical environmental factors. The 35 environmental variables and six epilithic diatom species that were dominant at 58 sites along the Han River in South Korea were used. The species abundance and composition of adherent diatoms were affected by nutrient concentration and a variety of physicochemical environmental factors. These results suggest that when evaluating water quality, various factors that affect the abundance of epilithic diatoms should be considered. Research on the autecological characteristics and environmental preferences of indicator diatom species could help establish river restoration policies and quantitative evaluation criteria for biological assessments.

1. Introduction

Rivers and streams have complex ecosystem structures with a variety of environmental variables that make it impractical to assess all potentially important variables that influence various environmental conditions [1]. Diatoms are sensitive to nutrient and organic matter concentrations and integrate long-term water quality with environmental variables [2,3]. Diatoms have traditionally been used to assess water quality; however, current research suggests that physical factors, such as habitat and landscape, may be linked to the organization of diatom assemblages in streams [4,5,6,7].
When the water becomes nutrient-saturated owing to the domination of similar eutrophic species, small differences in diatom composition and structure are influenced more by physical factors rather than nutrients [8]. The degree to which species composition resembles that of the reference can be used as an indicator of biological circumstances, while deviations from the reference can more clearly explain the consequences of anthropogenic activity [9]. The impact of nutrients and numerous environmental elements should be considered when evaluating aquatic ecological health as a whole. It is also vital to conduct research on water quality evaluation and river restoration technologies by employing diatom species that reflect the features of the region.
The biological assessment of water quality is critical for an overall perception of ecosystem integrity, which includes aquatic ecosystem habitat conditions [10]. Bioindicators represent the impact of non-measurable environmental variables. Recently, epilithic diatom monitoring was used to assess biological water quality [11]. The interactions between diatoms and environmental variables in streams are complicated, frequently including multiple variables that function in a hierarchical manner [12]. Diatom autecology can benefit from explicitly incorporating interactions between variables. The current state of diatom autecology knowledge is insufficient and based on research that has not been explicitly targeted to assess common species’ environmental requirements. As a result, environmental preference lists for common species are frequently imprecise and inconsistent, and autecological information on common species is often unavailable in many places.
Classification and regression trees (CART) are effective for analyzing complex ecological data. A CART has the following characteristics: (1) the ability to utilize different types of response variables; (2) the ability for interactive exploration, description, and prediction; (3) invariance to transformations of explanatory variables; (4) simple graphical interpretation of complex results involving interactions; (5) model selection by cross-validation; and (6) procedures for dealing with missing values [13]. Owing to its ability to handle both continuous and discrete variables, its inherent ability to model interactions among predictors, and its hierarchical structure, CART is appealing to many exploratory environmental and ecological studies. Regression trees (RT) and classification trees (CT) are useful for visualizing data structures and interactions [13,14]. A CART is well-suited for the relative abundance data of diatom species, as these frequently contain a large number of zero values [15].
CART techniques are increasingly being utilized to investigate species–environmental interactions in plants and animals [13,16,17]. Diatom autecology has been quantitatively evaluated using a weighted averaged regression model [18,19]. When a species is rare and has small ecological amplitude, and the distribution of the environmental variables among the sites is fairly homogeneous over the entire range of occurrence of the species, weighted averaging (WA) is just as effective as regression methods for estimating optima [20].
The WA regression model remains a simple and useful tool used to reveal structures in data tables by rearranging species and sites based on an exploratory variable. WA has been proposed as a biotic index for vascular plants, algae, and faunal communities in streams and rivers [21]. The WA regression model quantifies diatom autecology and, in many cases, expands our understanding of diatom species preferences. However, WA modeling assumes that the variable of interest is the only variable that influences species distribution. The significance of other environmental variables is implicitly accounted for in the calculation of the optimum WA. Conversely, WA cannot explicitly depict interactions between environmental variables. As a result, each environmental variable must be interpreted individually.
In Korea, the Trophic Diatom Index (TDI) [22] is used to assess water quality. However, as each epilithic diatom species reacts differently under different environmental conditions, it is necessary to establish a method that can be used as an indicator of water quality evaluation by analyzing the habitat preferences of epilithic diatoms. Therefore, it is necessary to develop biological indicators and evaluation methods that are appropriate for domestic conditions and reflect the effects of various environmental factors. The CART and WA were used in this study to determine the quantitative parameters of epilithic diatom habitat preference based on physicochemical environmental factors. Most previous studies have focused on the epilithic diatom community. However, as diatoms respond to complex environmental variables in a sensitive manner, habitat preferences for diatom organisms should be qualitatively indicated. In particular, the dominant species is a species that has been well adapted to the region’s environmental conditions and defines the representative characteristics that characterize the group. Dominant species are those that appear at the highest density and frequency and are used for ecological river restoration as reflected in river planning, design, construction, maintenance, and monitoring through the characterization of the river environment [23].
The goal of this study was to use CART and WA to determine the physicochemical environmental factors that influence the dominant diatom species as well as to determine the preferred habitat for each species. The results of this study can be used to evaluate and predict changes in the water environment.

2. Material and Methods

2.1. Study Area

The Han River is a major river in South Korea, formed by the confluence of the two major branches of the river, the Namhan River (South Han River) and the Bukhan River (North Han River). The river flows through Seoul before merging with the Imjin River just before it enters the Yellow Sea. The total length of the Han River (including its tributaries, the Namhan and Bukhan rivers) is approximately 494 km, with a catchment area of 25,953 km2. Figure 1 depicts the 58 monitoring sites in South Korea used to collect epilithic diatom samples and assess 35 environmental variables.
We chose 58 sites along the Han River in South Korea and classified them into four groups based on the land use of riverside areas within 500 m of the stream bank (A: urban area; B: agricultural area (mixed area of urban and agricultural use); C: green area (well-reserved area with minimal human activity); D: reference site), as shown in Table 1. The reference condition (group D) was composed of sites that experts considered to be a good riparian environment. The WFD (The European Water Framework Directive) defined reference condition sites as those with none or minimal human impact [24]; this definition was made using previous knowledge, expert judgments, and collected information [25]. Reference sites are usually selected from the sampling sites [26] and are mostly defined by their diatom community structure [11].

2.2. Data

Composition of Dominant Species

The physicochemical variables and epilithic diatom data for the 58 monitored sites (A, 17 sites; B, 14 sites; C, 10 sites; D, 17 sites) from 2008 to 2010 were obtained from the Korea Ministry of Environment and the Korea Meteorological Administration. The Korea Ministry of Environment and the Korea Meteorological Administration provided data on 337 samples from 58 monitoring sites in the Han River, as well as six epilithic diatoms (Table 2). In the aforementioned samples, 361 diatom species were identified. Among the 361 species identified, six dominant species (Achnanthes minutissima, A. convergens, Nitzschia inconspicua, N. fonticola, N. amphibia, and N. palea) were used.
In this study, the top five species (A. minutissima, A. convergens, N. amphibia, N. fonticola, and N. inconspicua) and N. palea, which are widely used as indicators of water pollution as polluting species, were also chosen.
Data analysis was performed on 307 out of 337 samples and included six dominant species and 35 environmental variables. The analysis did not include 18 samples with no occurrence and 12 samples with outliers. The following variables listed in Table 3 were considered in this study: altitude, sunshine duration, silt–sand, gravel, bedrock, riffle, run, swamp, canopy, vegetation cover, herb, shrub, urban, forestry, agricultural land, river width, depth of water, water temperature, dissolved oxygen (DO), pH, conductivity, turbidity, chlorophyll a, biochemical oxygen demand (BOD), chemical oxygen demand (COD), suspended solids (SS), T-N, T-P, DTN, DTP, NH3-N, NO3-N, PO4-P, fecal coliforms, and total coliforms.

2.3. Data Analysis

The CART and WA models were used to qualitatively infer environmental parameters affecting dominant diatom species and current environmental conditions that reflected the physiological and ecological aspects of each species in this study. CART analysis can help quantify the environmental conditions that influence the appearance of each species. As a result, research into the development of a water quality evaluation method and ecological river restoration technique based on the environmental sensitivity of the dominant species showing a high frequency of occurrence in a specific area, as opposed to the existing community-oriented evaluation method, is required. WA techniques allow for a quantitative assessment of diatom autecology and, in many cases, expand our understanding of diatom species preferences.

2.3.1. CART

CART can be used to visually aid interpretation, reveal data structures, and display interactions. CART is a binary recursive partitioning method that produces a tree-based model class. Owing to its ability to handle both continuous and discrete variables, its inherent ability to model interactions among predictors, and its hierarchical structure, the method is appealing to many exploratory environmental and ecological studies [13,14,15].
CART analysis was used to determine the habitat preferences of the dominant diatom species. CART analysis recursively divides observations in a matched data set into progressively smaller groups, using a categorical (for a classification tree (CT)) or continuous (for a regression tree (RT)) dependent (response) variable and one or more independent (explanatory) variables. Each partition consists of two binary splits. The splits of each explanatory variable were examined during each recursion, and the split that maximized the homogeneity of the two resulting groups with respect to the dependent variable was chosen. The RT and CT analyses were performed using the R package rpart [27,28].
CT analysis was used to classify the presence or absence of the six dominant diatom species, and RT analysis was used to calculate the average dominant rate relative to the total epilithic diatoms. Cross-validation was utilized to obtain accurate estimations of prediction errors for CT and RT tree sizes as well as to determine when to stop splitting the data [29]. Cross-validation divides the original dataset into separate, mutually exclusive datasets, resulting in numerous splits [19].

2.3.2. Optimal Conditions of Dominant Species: Using WA Regression and Calibration

The WA regression model is used for the same purpose as regression analysis based on a Gaussian model and is utilized in various fields of ecology. The WA is used to estimate the optimal point of a species using environmental variables. The abundance of each algal species and the environmental conditions at each site are inextricably linked.
Environmental conditions may take precedence in a causal relationship because diverse environmental variables might alter the habitat conditions and abundance of algal species. However, the amount of generation may change the ambient conditions based on the biological properties of the algae. As a result, the analysis should be conducted using a model that reflects the interactive link between abundance and environment, such as the WA regression model.
The WA model calculates the optimal condition value (called optima) for each species as the weighted average of the occurrence of each species for one environmental variable, which results in the calculation of a new environmental variable value. As the newly calculated value of the environmental variable reflects the amount of species generation, regression and calibration can be performed using the existing environmental variable value and each other as the dependent and explanatory variables, respectively. The WA is used to estimate the optimal point of a species using environmental variables. If a species follows a unimodal or Gaussian form, depending on the environmental variables, the species will be concentrated at the peak of this form.
The WA of the k-th species to which the environmental variable x is weighted, which is referred to as the optimal environmental condition for each species, is calculated as follows (Equation (1)):
μ ¯ = i = 1 n y i k x i y   + k ,             y + k = i = 1 n y i k  
where y i k is the abundance of the k-th species in the i-th region and x i is the environmental variable of the i-th region.
The WA tolerance ( T i ) value of each species in Equation (2) is obtained by weighting the abundance of each algal species in all regions and calculating the standard deviation of the WA.
T i = i = 1 n ( x i μ ¯ k ) 2 y i k i = 1 n y i k
Using the optimal point of the species calculated in Equation (1), the WA regression method can be used to estimate the environmental value of each site. If the species is closely related to the environmental variable, the optimal point of the species will naturally represent environmental variables. The WA is calculated using all species and is weighted for each site, according to Equation (3):
x ˜ i = k = 1 m y i k μ ¯ k y i + , y i + = k = 1 m y i k  

3. Results

3.1. Habitat Preference in Epilithic Diatoms Using CART Analysis

3.1.1. CT

CT was used to determine the presence or absence (binary: 1 or 0) of six dominant epilithic diatom species and the existence probability of six species in Table 4. A. minutissima was more abundant than the other taxa, while N. inconspicua was less abundant.
As is shown in Figure 2a, the first split (total 307 sites) was separated from the second (CP < 2.5, 159 sites) and seventh nodes (CP ≥ 2.5, 148 sites) in the CT change point for A. minutissima. The second node was split into the third (COD ≥ 3.25, 90 sites) and sixth (COD < 3.25, 69 sites) nodes and the third node was split into the fourth (Chl_a < 3.595, 58 sites) and fifth (Chl_a ≥ 3.595, 32 sites) nodes. The existence probabilities of A. minutissima in the fourth, fifth, and sixth nodes were 0.293 (58 sites), 0.75 (32 sites), and 0.826 (69 sites), respectively. The seventh node was separated from the eighth (DO ≥ 16.86, 8 sites) and ninth nodes (DO < 16.86, 140 sites), and the existence probabilities in the eighth and ninth nodes were 0.125 and 0.936, respectively.
In the presence of A. minutissima, the ninth node (CP ≥ 2.5 and DO < 16.86, 140 sites) had the highest value, while the fourth node (58 sites) had the lowest value. Based on these results, the probability of A. minutissima surviving in the CP ≥ 2.5 and DO < 16.86 conditions is high. Conversely, low levels of A. minutissima were found under the CP < 2.5, COD ≥ 3.25, and Chl_a < 3.595 conditions. There was a 0.749 chance of discovering A. minutissima in all 307 sites, with a 15.3% chance of misclassification.
As is shown in Figure 2b, the first split of A. convergens (307 sites) was separated from the second (DTN < 4.218, 59 sites) and third (DTN < 4.218, 248 sites) nodes. The chances of finding A. convergens in the second and third nodes were 0.203 (59 sites) and 0.669 (248 sites), respectively. Based on these results, a high presence of A. convergens is expected under the DTN < 4.218 condition. The third node was separated from the fourth (pH ≥ 7.175) and fifth (pH < 7.175) nodes. The fifth node was separated from the sixth (run ≥ 7.5) and seventh (run < 7.5) nodes. The probability of finding A. convergens in all 307 sites was 0.580, with a misclassification rate of 25.1%.
As is shown in Figure 2c, the first split (total 307 sites) of N. inconspicua was separated from the second (AT ≥ 90.5, 126 sites) and third (AT < 90.5, 181 sites) nodes. The fourth (CP < 7.5, 115 sites) and fifth (CP ≥ 7.5, 66 sites) nodes were separated from the third node. Nitzschia inconspicua had a 0.0635, 0.226, and 0.727 probability of being present in the first, fourth, and fifth nodes, respectively. Based on these results, the presence of N. inconspicua is expected to be high under the AT < 90.5 and CP ≥ 7.5 conditions and low under the AT 90.5 condition. N. inconspicua was found in 0.267 of the 307 sites, with a 16.9% misclassification rate.
As is shown in Figure 2d, the first split (307 sites) of N. fonticola was distinguished from the second (AT ≥ 134.5, 77 sites) and third nodes (AT < 134.5, 230 sites). The presence probability of N. fonticola in the second and third nodes was 0.234 and 0.591, respectively. Based on these results, the presence of N. fonticola is expected to be high under the AT < 134.5 condition and low under the AT ≥ 134.5 condition. The third node (PO4-P 0.185) was separated from the fourth and fifth nodes (PO4-P = 0.185). The existence probability of N. fonticola at all 307 sites was 0.502, with a 29.6% misclassification rate.
As is shown in Figure 2e, the first split (307 sites) of N. amphibia was separated from the second (Cdv < 120.5, 102 sites) and third nodes (Cdv ≥ 120.5, 205 sites). The probability of finding N. amphibia in the second and third nodes was 0.343 and 0.780, respectively. Based on these results, the presence of N. amphibia is expected to be high under the Cdv < 120.5 condition and low under the CDV ≥ 120.5 condition. The probability of the existence of N. amphibia at all 307 sites was 0.635, and the misclassification rate was 26.1%.
As is shown in Figure 2f, the first split (307 sites) of N. palea was separated from the second (Cdv < 172.5, 129 sites) and third nodes (Cdv ≥ 172.5, 178 sites). The chances of finding N. palea in the second and third nodes were 0.372 and 0.831, respectively. Based on these results, the presence of N. palea is expected to be high under the Cdv ≥ 172.5 condition and low under the Cdv < 172.5 condition. The probability of finding N. palea in all 307 sites was 0.638, with a misclassification rate of 25.4%.

3.1.2. RT

The change points identified by RT consider hierarchical relationships between environmental variables and thus may provide more accurate information on where diatom species abundances shift along environmental gradients [15].
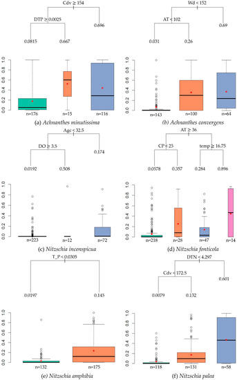
The relative abundances of A. minutissima, A. convergens, N. inconspicua, N. fonticola, N. amphibia, and N. palea were 27.0%, 20.4%, 6.2%, 24.4%, 8.4%, and 13.6%, respectively.
As is shown in Figure 3a, the first split of A. minutissima (307 sites) was separated from the third (Cdv ≥ 154 and DTP ≥ 0.0025, 176 sites), fourth (Cdv ≥ 54 and DTP < 0.0025, 15 sites), and fifth (Cdv < 154, 116 sites) nodes. A. minutissima had the lowest relative abundance of 0.0815 with 176 sites in the third node and the highest relative abundance of 0.696 with 116 sites in the fifth node. Based on these results, A. minutissima will have high relative abundance under the Cdv 154 condition. However, a box plot of the fifth node (Cdv < 154, 116 sites) showed a large gap between the 25th and 75th percentiles as well as a deviation from the relative abundance of A. minutissima with a high mean. Based on these results, a relative abundance of 0.667 in the fourth node (Cdv ≥ 154 and DTP < 0.0025) can be considered a good condition.
As is shown in Figure 3b, the first split of A. convergens (307 sites) was separated from the second (Wd < 152, 243 sites) and fifth (Wd ≥ 152, 64 sites) nodes. The second node was separated from the third (AT < 102, 143 sites) and fourth (AT ≥ 102, 100 sites) nodes. The relative abundance of A. convergens was 0.031 in the third node and 0.69 in the fifth node. Based on these results, A. convergens is expected to have high relative abundance under the Wd < 152 condition. The relative abundance of A. convergens at all 307 sites was 0.204.
As is shown in Figure 3c, the first split (307 sites) of N. inconspicua was separated from the second (Agc < 32.5, 235 sites) and fifth nodes (Agc ≥ 32.5, 72 sites). The second node was separated from the third (DO < 3.5, 223 sites) and fourth (DO ≥ 3.5, 12 sites) nodes. The relative abundance of N. inconspicua was 0.0192 in the third node (Agc < 32.5 and DO ≥ 3.5) and 0.508 in the fourth node. However, the relative abundance in the fourth node (12 sites) did not have a robust mean with one outlier. Therefore, N. inconspicua is expected to have high relative abundance in the fifth node under the Agc ≥ 32.5 condition. N. inconspicua had a relative abundance of 0.062 across all 307 sites.
As is shown in Figure 3d, the first split (307 sites) of N. fonticola was separated from the second (AT ≥ 36, 246 sites) and fifth nodes (AT < 36, 61 sites). The second node was separated from the third (CP < 25, 218 sites) and fourth (CP ≥ 25, 28 sites) nodes. The fifth node was then separated from the sixth (temp <16.75, 47 sites) and seventh (temp 16.75, 14 sites) nodes. The sample size of this species was small; however, the average abundance was lowest at the third node (0.0578) and highest at the seventh node (0.896). N. fonticola is expected to have high relative abundance in the seventh node under the AT < 36 and temp <16.75 conditions. Furthermore, the lowest relative abundance was found in the third node, with AT ≥ 36 and CP < 25. N. fonticola had a relative abundance of 0.244 across all 307 sites.
As is shown in Figure 3e, the first split (307 sites) of N. amphibia was separated from the second (T_ P < 0.0305, 132 sites) and third nodes (T_P ≥ 0.0305, 175 sites). N. amphibia had the lowest and highest relative abundance in the second (0.0197) and third (0.145) nodes, respectively. Based on these results, the presence of N. amphibia is expected to be high under the T_P ≥ 0.0305 condition. N. amphibia was found in 0.084 of 307 sites.
As is shown in Figure 3f, the first split (307 sites) of N. palea was separated from the second (DTN < 4.297, 249 sites) and fifth (DTN ≥ 4.297, 58 sites) nodes, and the third (Cdv < 172.5, 118 sites) and fourth (Cdv ≥ 172.5, 131 sites) nodes were separated from the second node. N. palea had the lowest relative abundance (0.0079) with 118 sites in the third node and a relative abundance of 0.601 with 58 sites in the fifth node. Based on these results, the relative abundance of N. palea is expected to be high under the DTN ≥ 4.297 condition and low under the DTN < 4.297 and Cdv < 172.5 conditions. N. palea had a relative abundance of 0.136 across all 307 sites.

3.2. WA Model

WA regression using R (version 3.6) with the package RIOJA (version 0.8-7; Juggins, 2013) was used to estimate species optima and tolerance levels for environmental variables. [30]. The coefficient of determination (R2) is a descriptive statistic that measures how much of the variance of the dependent variable y is explained by the explanatory factors given. As WA optima is a value weighted by the inferred environmental variable ( x ˜ i ), as in Equation (3), R2 by regression analysis can be used as an index of the model validity. If R2 for a specific environmental variable is high to a certain amount, it may be assumed that there is a relationship between a species’ abundance and the environmental variable, and WA optima can be considered a trustworthy value [21]. The top 10 environmental variables are listed in Table 5 in the order of R2.
As is shown in Table 6, the WA optima for T-N, DTN, T-P, DTP, COD, NO3N, BOD, and PO4P were found in N. palea, N. amphibia, N. fonticola, and N. inconspicua, while the WA optima for forest and altitude were found in A. minutissima and A. convergens. Non-pollution variables, such as forest and altitude, affected A. minutissima and A. convergens, while water quality variables affected N. palea, N. amphibia, N. fonticola, and N. inconspicua. As a result, each epilithic diatom species was resistant to pollution, and the optimal habitat environment for each species was significant.

4. Discussion

The complexity of hierarchical interactions between environmental variables and diatoms may contribute to the difficulty in linking indicator taxa to a specific set of environmental variables. Mismatches between diatoms and measured environmental variables at both spatial and temporal scales could also be a source of contention [7].
The various water pollution features have an impact on epilithic diatom assemblage changes, which could result in a cascade of impacts that determine diatom assemblage composition.
Epilithic diatom species are sensitive to a wide range of physicochemical conditions and have complex interactions with their environment. The most prevalent and dominant species, A. convergens, A. minutissima, N. amphibian, N. fonticola, and N. inconspicua, may be able to adapt to a variety of environmental changes. Typically, each species is found near specific environmental optima [31].
A. minutissima was discovered primarily in well-protected areas and reference sites. The best water quality was found in A. minutissima dominated areas, which were mostly located upstream [32,33]. N. palea [29] was the most frequently encountered taxon, was primarily influenced by the chemical properties of water and lived in heavily polluted areas [34]. N. palea, a nutrient-tolerant species, has been discovered in both intensively farmed agricultural areas and urban environments [35]. In the CART analysis of the six dominant diatom species, 10 variables (AT, CP, Agc, Wd, temp, DO, Cdv, Chl_a, COD, TP, DTP, and DTN) were used multiple times for decision making, as is shown in Table 5. The most commonly used variables in CT and RT were AT and Cdv (Table 7).
CT indicates whether an epilithic diatom is present, while RT indicates the relative likelihood of how many epilithic diatoms are likely to appear. Our findings distinguished CT from RT. Although certain environmental variables were not necessarily the most influential, based on the aforementioned analyses, we could determine the impact of environmental variables. Table 8 shows the change points of the CART and WA optima. CART denotes environmental variables with a changing point range, and the appearance ratio of the species has high values within the specified range, while WA denotes variables with a specific value, optima, which denotes the optimal condition for the species to appear.
The changing point range in CART for A. minutissima was not identical to the WA optima in the COD and DTP variables. WA optima were included in the range of changing points in CART for A. convergens. There was little difference between the range of changing points and WA optima for N. inconspicua, TP for N. amphibia, and DTN for N. palea. The values of the range of changing points in the CART and WA optima were not identical for N. fonticola (Table 6).
CART and WA optima demonstrated that various physicochemical environmental factors, such as AT, Cdv, and nutrient concentration, influenced the occurrence and composition of epilithic diatoms. Changes in specific environmental variables may affect the abundance of species that prefer the same conditions.
The CART and WA optima results for the six dominant species (A. minutissima, A. convergens, N. amphibian, N. fonticola, N. inconspicua, and N. palea) revealed that each species was influenced by a variety of complex environmental variables. Furthermore, the range of the changing point and WA optima did not always correspond with each other owing to the upper–lower rank interaction. The CART and WA approaches yielded distinct yet complementary information on the complex relationships between common stream diatoms and environmental variables [15].
A. minutissima and A. convergens were the dominant species in the reference condition in this study and were highly prevalent under the following conditions: conductivity <154 and DTP < 0.003, and altitudes >102 and width >152, respectively. As changing physical factors, such as altitude and width, which are the habitat conditions of A. convergens, to suit the habitat conditions of one type of diatom is difficult, the habitat environment of A. minutissima, which is primarily affected by chemical factors, should be considered. For example, if the conductivity and DTP in a specific river are changed to conductivity <154 and DTP < 0.003, the habitat conditions of A. minutissima, it is projected that the chance of maintaining good aquatic health would rise in tandem with the rate of the appearance of A. minutissima. However, more research and verification of the properties of organisms living in the same habitat are required before they can be used for river restoration.
The autecological properties of diatom species may be useful for objectively determining a reference condition. The environmental preferences of indicator diatoms are considered when developing river restoration policies and quantitative evaluation criteria for biological assessment.
Based on the findings of our study, A. minutissima and A. convergens, which had high dominant frequencies in groups C and D, respectively, belonged to the “excellent” and “good” classes in the TDI grade, while N. inconspicua, which had high dominant frequencies in groups A and B, also belonged to the “excellent” and “good” classes in the TDI grade, appeared to be a member of the “fair” class. The main species in Groups A and B, N. palea, belonged to the “poor” class and it was determined that the concentration of nutrients and the water conversion process were strongly associated (Table 9).
According to the findings of this study, the abundance and composition of epilithic diatom species can be influenced not only by nutrient concentrations but also by a variety of physicochemical environmental factors. Furthermore, it was determined that even the frequency of occurrence of species living in the same habitat may change owing to changes in specific environmental factors.

5. Conclusions

Physical and chemical factors influence the composition of diatom assemblages. Diatom species respond differently to physicochemical variations and complex interactions among environmental variables. The autecological characteristics of diatom species may be useful for conducting an objective search for reference conditions. The environmental preferences of indicator diatoms should be considered when developing river restoration policies and quantitative evaluation criteria for biological assessment.
In this study, environmental factors influencing structural changes in epilithic diatom species were quantified. The composition and number of epilithic diatom species appeared to be influenced by a variety of complex environmental factors depending on the habitat. CART and WA analyses were performed on dominant species to quantitatively derive environmental factors affecting each species’ relative abundance and to present environmental conditions reflecting each species’ physiological and ecological characteristics.
The presence (0.75) of A. minutissima was determined as high under the CP ≥ 2.5% and DO < 16.9 mg/L conditions. The presence of A. convergens (0.58) was determined by the DTN < 4.218 mg/L condition. The presence (0.27) of N. inconspicua was determined by altitude < 90.5 m and CP ≥ 7.5%. The presence (0.50) of N. fonticola was determined by altitude < 134.5 m. The presence (0.64) of N. amphibia was determined by conductivity <120.5 μS/cm. The presence (0.64) of N. palea was determined by conductivity ≥172.5 μS/cm as well. CART analysis may help identify the hierarchical interactions among environmental variables in predicting the relative abundance of epilithic diatoms.
Research on the autecological characteristics and environmental preferences of indicator diatom species could aid in making objective decisions for the establishment of river restoration policies and quantitative evaluation criteria for biological assessments. In the future, it is expected that a clear set of integrated water quality evaluation criteria reflecting optimal diatom habitat conditions will be established. Basic data for the establishment of standards and the development of ecological river restoration technologies are expected to be available.

Author Contributions

Data curation and software, T.-Y.H.; conceptualization, Y.S.; methodology, T.-Y.H.; data analysis, Y.S. and T.-Y.H.; investigation, T.-Y.H. and Y.S.; writing—original draft, Y.S.; visualization, D.K. writing—review & editing, D.K. and T.-Y.H. All authors have read and agreed to the published version of the manuscript.

Funding

This work was supported by a grant from the National Institute of Environment Research (NIER), funded by the Ministry of Environment of the Republic of Korea (NIER-2019-01-01-038). This work was partially supported by the research fund of the Basic Science Research Program through the National Research Foundation of Korea funded by the Ministry of Education (2018R1D1A1B07047712, 2019R1|1A3A01057696).

Institutional Review Board Statement

Not applicable.

Informed Consent Statement

Not applicable.

Data Availability Statement

The data presented in this study are available on request from the corresponding author.

Conflicts of Interest

The authors declare no conflict of interest.

References

  1. Barbour, M.T.; Gerritsen, J.; Snyder, B.D.; Stribling, J.B. Revision to Rapid Bioassessment Protocols for Use in Streams and Rivers: Periphyton, Benthic Macroinvertebrates, and Fish; EPA 841-D-97-002; United States Environmental Protection Agency: Washington, DC, USA, 1999.
  2. Hering, D.; Johnson, R.K.; Kramm, S.; Schmutz, S.; Szoszkiewicz, K.; Verdonschot, P.F.M. Assessment of European streams with diatoms, macrophytes, macroinvertebrates and fish: A comparative metric-based analysis of organism response to stress. Freshw. Biol. 2006, 51, 1757–1785. [Google Scholar] [CrossRef]
  3. Reavie, E.D.; Jicha, T.M.; Angradi, T.R.; Bolgrien, D.W.; Hill, B.H. Algal assemblages for large river monitoring: Comparison among biovolume, absolute and relative abundance metrics. Ecol. Indic. 2010, 10, 167–177. [Google Scholar] [CrossRef]
  4. Hlúbiková, D.; Novais, M.H.; Dohet, A.; Hoffmann, L.; Ector, L. Effect of riparian vegetation on diatom assemblages in headwater streams under different land uses. Sci. Total Environ. 2014, 475, 234–247. [Google Scholar] [CrossRef] [PubMed]
  5. Jyrkänkallio-Mikkola, J.; Siljander, M.; Heikinheimo, V.; Pellikka, P.; Soininen, J. Tropical stream diatom communities—The importance of headwater streams for regional diversity. Ecol. Indic. 2018, 95, 183–193. [Google Scholar] [CrossRef]
  6. Newall, P.; Walsh, C.J. Response of epilithic diatom assemblages to urbanization influences. Hydrobiologia 2005, 532, 53–67. [Google Scholar] [CrossRef]
  7. Pan, Y.; Hill, B.H.; Husby, P.; Hall, R.K.; Kaufmann, P.R. Relationships between environmental variables and benthic diatom assemblages in California Central Valley streams (USA). Hydrobiologia 2006, 561, 119–130. [Google Scholar] [CrossRef]
  8. US Geological Survey. Biological-Community composition in small streams and its relations to habitat, nutrients, and land use in agriculturally dominated landscapes in Indiana and Ohio, 2004, and implications for assessing nutrient conditions in Midwest Streams. In National Water-Quality Assessment Program: Scientific Investigations Report 2009–5055; United States Geological Survey: Reston, VA, USA, 2009; p. 21. [Google Scholar] [CrossRef]
  9. Stevenson, R.J.; Pan, Y.; van Dam, H. Assessing environmental conditions in reivers and streams with diatoms. In The Diatoms: Applications for the Environmental and Earth Sciences, 2nd ed.; Smol, J.P., Stoermer, E.F., Eds.; Cambridge University Press: Cambridge, UK, 2010; pp. 57–85. [Google Scholar]
  10. Korea Ministry of Environment. A Study on the Development and Survey of Comprehensive Evaluation Method for Water Environment (II)-Final Report; Korea Ministry of Environment: Sejong, Korea, 2005; p. 614. [Google Scholar]
  11. Grenier, M.; Lavoie, I.; Rousseau, A.N.; Campeau, S. Defining ecological thresholds to determine class boundaries in a bioassessment tool: The case of the Eastern Canadian Diatom Index (IDEC). Ecol. Indic. 2010, 10, 980–989. [Google Scholar] [CrossRef]
  12. Leland, H.V. Distribution of phytobenthos in the Yakima River basin, Washington, in relation to geology, land use, and other environmental factors. Can. J. Fish. Aquat. Sci. 1995, 52, 1108–1129. [Google Scholar] [CrossRef]
  13. De’ath, G.; Fabricius, K.E. Classification and regression trees: A powerful yet simple technique for ecological data analysis. Ecology 2000, 81, 3178–3192. [Google Scholar] [CrossRef]
  14. Clark, L.A.; Pregibon, D. Tree-based models. In Statistical Models; Chambers, S.J.M., Hastie, T.J., Eds.; Chapman & Hall: London, UK, 1993. [Google Scholar]
  15. Weilhoefer, C.L.; Pan, Y. Using change-point analysis and weighted averaging approaches to explore the relationships between common benthic diatoms and in-stream environmental variables in mid-atlantic highlands streams, USA. Hydrobiologia 2008, 614, 259–274. [Google Scholar] [CrossRef]
  16. Hershey, A.E.; Beaty, S.; Fortino, K.; Keyse, M.; Mou, P.P.; O’Brien, W.J.; Ulseth, A.J.; Gettel, G.A.; Lienesch, P.W.; Luecke, C.; et al. Effect of landscape factors on fish distribution in arctic Alaskan lakes. Freshw. Biol. 2006, 51, 39–55. [Google Scholar] [CrossRef]
  17. Iverson, L.R.; Prasad, A.M. Predicting abundance of 80 tree species following climate change in the eastern United States. Ecol. Monogr. 1998, 68, 465–485. [Google Scholar] [CrossRef]
  18. Hall, R.I.; Smol, J.P. A weighted-averaging regression and calibration model for inferring total phosphorus concentration from diatoms in British Columbia (Canada) lakes. Freshw. Biol. 1992, 27, 417–434. [Google Scholar] [CrossRef]
  19. Pan, Y.; Stevenson, R.J.; Hill, B.H.; Herlihy, A.T.; Collins, G.B. Using diatoms as indicators of ecological conditions in lotic systems: A regional assessment. J. N. Am. Benthol. Soc. 1996, 15, 481–495. [Google Scholar] [CrossRef]
  20. ter Braak, C.J.F.; Juggins, S. Weighted averaging partial least squares regression (WA-PLS): An improved method for reconstructing environmental variables from species assemblages. Hydrobiologia 1993, 269–270, 485–502. [Google Scholar] [CrossRef]
  21. Bere, T.; Tundisi, J.G. Weighted average regression and calibration of conductivity and pH of benthic assemblages in stream influenced by urban pollution-São Carlos/SP, Brazil. Acta Limnol. Bras. 2009, 21, 317–325. [Google Scholar]
  22. Kelly, M.G.; Whitton, B.A. The trophic diatom index: A new index for monitoring eutrophication in rivers. J. Appl. Phycol. 1995, 7, 433–444. [Google Scholar] [CrossRef]
  23. Korea Ministry of Environment. Ecological River Restoration Technical Guide; Korea Ministry of Environment: Sejong, Korea, 2011; p. 320. [Google Scholar]
  24. European Commission. Directive 2000/60/EC of the European parliament of the Council of 23rd October 2000 establishing a framework for community action in the field of water policy. Off. J. Eur. Commun. 2000, 327, 1–72. [Google Scholar]
  25. USEPA. Best Practices for Identifying Reference Condition in Mid-Atlantic Streams; US Environmental Information: Washington, DC, USA, 2006; 8p. Available online: https://nepis.epa.gov/Exe/ZyPDF.cgi/P1000D3D.PDF?Dockey=P1000D3D.PDF (accessed on 14 March 2022).
  26. Bailey, R.C.; Norris, R.H.; Reynoldson, T.B. Bioassessment of Freshwater Ecosystems: Using the Reference Condition Approach; Kluwer Academic Publishers: New York, NY, USA, 2004; 170p. [Google Scholar]
  27. Atkinson, E.J.; Therneau, T.M. An Introduction to Recursive Partitioning Using the RPART Routines; Mayo Foundation: Rochester, MN, USA, 2000; 33p, Available online: https://www.stat.auckland.ac.nz/~yee/784/files/minitech.pdf (accessed on 14 March 2022).
  28. Therneau, T.M.; Atkinson, E.J. An Introduction to Recursive Partitioning Using the RPART Routines; Mayo Foundation: Rochester, MN, USA, 1997; 52p, Available online: https://www.mayo.edu/research/documents/biostat-61pdf/doc-10026699 (accessed on 14 March 2022).
  29. Breiman, L.; Friedman, J.H.; Olshen, R.A.; Stone, C.G. Classification and Regression Trees; Routledge: New York, NY, USA, 1984. [Google Scholar]
  30. Juggins, S. Quantitative reconstructions in palaeolimnology: New paradigm or sick science? Quat. Sci. Rev. 2013, 64, 20–32. [Google Scholar] [CrossRef]
  31. Green, R.H. A multivariate statistical approach to the Hutchinsonian niche: Bivalve molluscs of central Canada. Ecology 1971, 52, 543–556. [Google Scholar] [CrossRef]
  32. Kwandrans, J.; Eloranta, P.; Kawecka, B.; Wojtan, K. Use of benthic diatom communities to evaluate water quality in rivers of southern Poland. J. Appl. Phycol. 1998, 10, 193–201. [Google Scholar] [CrossRef]
  33. Medley, C.N.; Clements, W.H. Responses of diatom communities to heavy metals in streams: The influence of longitudinal variation. Ecol. Appl. 1998, 8, 631–644. [Google Scholar] [CrossRef]
  34. Lange-Bertalot, H. Pollution tolerance of diatoms as a criterion for water quality estimation. Nova Hedwig. 1979, 64, 285–305. [Google Scholar]
  35. Fore, L.S.; Grafe, C. Using diatoms to assess the biological condition of large rivers in Idaho (U.S.A.). Freshw. Biol. 2002, 47, 2015–2037. [Google Scholar] [CrossRef]
  36. Korea Ministry of Environment. Aquatic Ecosystem Health Survey and Evaluation; Korea Ministry of Environment: Sejong, Korea, 2010; p. 554. [Google Scholar]
Figure 1. The Han River is a major river in South Korea, formed by the confluence of the two major branches of the river, the Namhan River and the Bukhan River. Fifty-eight monitoring sites (four groups) along the Han River in South Korea.
Figure 1. The Han River is a major river in South Korea, formed by the confluence of the two major branches of the river, the Namhan River and the Bukhan River. Fifty-eight monitoring sites (four groups) along the Han River in South Korea.
Water 14 00956 g001
Figure 2. Classification tree results for six diatom species. (a) Achnanthes minutissima, (b) Achnanthes convergens, (c) Nitzschia inconspicua, (d) Nitzschia fonticola, (e) Nitzschia amphibia, (f) Nitzschia palea.
Figure 2. Classification tree results for six diatom species. (a) Achnanthes minutissima, (b) Achnanthes convergens, (c) Nitzschia inconspicua, (d) Nitzschia fonticola, (e) Nitzschia amphibia, (f) Nitzschia palea.
Water 14 00956 g002
Figure 3. Regression tree results for six diatom species. (a) Achnanthes minutissima, (b) Achnanthes convergens, (c) Nitzschia inconspicua, (d) Nitzschia fonticola, (e) Nitzschia amphibia, (f) Nitzschia palea.
Figure 3. Regression tree results for six diatom species. (a) Achnanthes minutissima, (b) Achnanthes convergens, (c) Nitzschia inconspicua, (d) Nitzschia fonticola, (e) Nitzschia amphibia, (f) Nitzschia palea.
Water 14 00956 g003
Table 1. The code and name of fifty-eight monitoring sites in the study area along the Han River in South Korea.
Table 1. The code and name of fifty-eight monitoring sites in the study area along the Han River in South Korea.
CodeGroup ACodeGroup BCodeGroup CCodeGroup D
A-1Munsancheon 1B-1Bockhacheon 2C-1DeogeunriD-1Buncheon
A-2Hantangang 3B-2Wangsukcheon 4C-2HwacheonD-2Jeongseon 2
A-3Kyeongancheon 1B-3Cheongmicheon 1C-3Hongcheongang 2D-3Dalcheon 1
A-4SajikB-4SsangcheonC-4Hantangang 3-1D-4Hyangmokdongcheon
A-5Wonjuchun 1B-5Seomgang 4C-5GangchunD-5Hwayangcheon
A-6Changneungcheon 1B-6Yeongpyeongcheon 2C-6Naerincheon 2D-6Seomgang 4-1
A-7DosimcheonB-7Sincheon 1C-7Jinwicheon2D-7Naerincheon 1
A-8SeongbukcheonB-8Dalcheon 3C-8Gapyeongcheon 1D-8Gapyeongcheon 2
A-9Anyangcheon 4B-9Gongneungcheon 2C-9GangneungD-9Gapyeongcheon 3
A-10Anyangcheon 3B-10YangiaecheonC-10NamiseomD-10Bukcheon
A-11JeongneungcheonB-11Wangsukcheon 1 D-11Inbukcheon 2
A-12Jungnangcheon 1B-12Tancheon 4 D-12Jojongcheon 2
A-13Cheonggyecheon 1B-13Kyeongancheon 4 D-13Chuncheon
A-14Sincheon 2B-14Gangsang D-14Maepocheon
A-15Sincheon 3 D-15Jecheoncheon 2
A-16Wangsukcheon 3 D-16Pyeongchanggang 2
A-17Yeongdeungpo D-17Chatancheon
Table 2. Seven descriptive statistics for six diatom species.
Table 2. Seven descriptive statistics for six diatom species.
CodeTaxonMinimumMedianMeanProportion (%)MaximumNo. of
Dominance
No. of Sites
A.m.Achnanthes minutissima09658128,30229.373,707,38665230
A.c.Achnanthes convergens0223696,88522.678,275,40059178
N.i.Nitzschia inconspicua0029,4564.761,166,0232582
N.f.Nitzschia fonticola031115,63710.6713,795,08225154
N.a.Nitzschia amphibia0329140,02314.811,562,95424195
N.p.Nitzschia palea0412564,52517.721,557,54415196
Table 3. Four descriptive statistics for 35 environmental variables.
Table 3. Four descriptive statistics for 35 environmental variables.
CodeEnvironmental VariableMinMedianMaxMean
ATAltitude (m)1.070.000744.0105.908
SunSunshine (h)0.06.80013.26.328
SSandSilt–sand (%)0.030.000100.038.139
GvGravel (%)0.040.000100.047.202
BRBedrock (%)0.05.00095.011.484
RppRipple (%)0.020.000100.020.766
runRun (%)0.070.000100.064.139
SWSwamp (%)0.00.000100.08.033
CPCanopy (%)0.00.00080.08.917
VGVegetative cover (%)0.060.000100.051.122
HerbHerb (%)0.080.000100.075.947
ShShrub (%)0.020.00080.023.282
UbUrban (%)0.020.000100.039.487
FrForest (%)0.010.000100.030.454
AgcAgriculture (%)0.00.000100.017.727
WdRiver width (m)2.050.0001000.0109.237
DepthRiver depth of river1.040.0001000.056.220
TempTemperature (°C)7.520.40095.120.218
DODO0.09.70026.710.056
pHpH4.17.64076.07.943
CdvConductivity (μs/cm)0.0197.0009840.0341.271
TbdTurbidity0.07.000352.015.887
Chl_achlorophyll-a (μg/cm3)0.03.65092.76.676
BODBOD (mg/L)0.11.10032.02.886
CODCOD (mg/L)0.53.40037.04.961
SSSS (mg/L)0.25.600138.09.328
T_NT-N (mg/L)0.62.68720.23.732
NH3_NNH3-N (mg/L)0.00.06615.50.736
NO3_NNO3--N (mg/L)0.01.9198.82.211
T_PT-P (mg/L)0.00.0414.40.164
FCFecal coliforms (/100 mL)0.070.000600,000.05313.629
TCTotal coliforms (/100 mL)0.01800.0002,500,000.043,120.801
DTNDTN (mg/L)0.62.52518.63.476
DTPDTP (mg/L)0.00.0293.90.121
PO4_PPO4-P (mg/L)0.00.0131.60.093
Table 4. The existence probabilities of six diatom species.
Table 4. The existence probabilities of six diatom species.
SpeciesProbability
A. minutissima0.749
A. convergens0.580
N. inconspicua0.267
N. fonticola0.502
N. amphibia0.635
N. palea0.638
Table 5. Ten environmental variables with a high R2 value.
Table 5. Ten environmental variables with a high R2 value.
Environmental VariableR2 of WAEnvironmental VariableR2 of WA
T-N (mg/L)0.3485COD (mg/L)0.2458
DTN (mg/L)0.3477NO-N (mg/L)0.2330
Forest (%)0.2797BOD (mg/L)0.2326
T-P (mg/L)0.2677PO-P (mg/L)0.2293
DTP (mg/L)0.2501Altitude (m)0.2245
Table 6. Optima and tolerance for six dominant species using weighted averaging (WA).
Table 6. Optima and tolerance for six dominant species using weighted averaging (WA).
Taxon (Code)
A.m.A.c.N.i.N.f.N.a.N.p.
T-N (mg/L)WA optima2.58942.49833.08873.29534.90456.3064
Tolerance2.21771.61620.93231.91563.52124.5713
DTN (mg/L)WA optima2.36832.32152.94373.07744.60435.9082
Tolerance2.06191.55430.89181.78573.42634.2987
Forestry (%)WA optima49.575640.614019.155025.051314.466513.9408
Tolerance35.604035.774425.517631.395127.541924.1234
T-P (mg/L)WA optima0.07300.06210.07900.10810.22870.3240
Tolerance0.18100.11830.09740.15130.25980.3962
DTP (mg/L)WA optima0.04970.04350.06000.06820.16930.2376
Tolerance0.12890.08930.08170.11580.20900.3170
COD (mg/L)WA optima3.33353.34743.96425.26066.54977.8706
Tolerance3.31812.33683.25175.44924.53156.4098
NO-N (mg/L)WA optima1.74861.69832.43392.27052.54453.1202
Tolerance1.13450.97690.88671.19901.33411.8639
BOD (mg/L)WA optima1.50721.43021.55962.87864.44915.5318
Tolerance2.55372.46202.98104.83524.72326.3538
PO-P (mg/L)WA optima0.03870.03110.04380.05100.13970.2030
Tolerance0.11760.07920.07700.10990.19590.2935
Altitude (m)WA optima155.9967147.722348.700562.537473.702164.4209
Tolerance143.1342123.620825.159462.843667.003964.3272
Table 7. The most common environmental variables used variables in the classification tree (CT) and regression tree (RT) analyses of six dominant species for decision making.
Table 7. The most common environmental variables used variables in the classification tree (CT) and regression tree (RT) analyses of six dominant species for decision making.
CodeEnvironmental VariableFrequency
CTRT
ATAltitude (m)22
CPCanopy (%)21
AgcAgriculture (%) 1
WdRiver width (m) 1
TempTemperature (°C) 1
DODO (mg/L)11
CdvConductivity (μs/cm)22
Chl_achlorophyll-a (μg/cm3)1
CODCOD (mg/L)1
T_PT-P (mg/L) 1
DTPDTP (mg/L) 1
DTNDTN (mg/L)11
Table 8. Changing point for the classification and regression tree (CART) and the weighted average (WA) optima for six dominant species.
Table 8. Changing point for the classification and regression tree (CART) and the weighted average (WA) optima for six dominant species.
CodeCT Changing PointRT Changing PointWA Optima
A.m.CP ≥ 2.50
COD < 3.25 COD = 3.33
DO < 16.86
Chl_a ≥ 3.595
Cdv < 154
DTP < 0.0025DTP = 0.0497
A.c. Wd ≥ 152
AT ≥ 102AT = 147.722
DTN < 4.218 DTN = 2.322
pH ≥ 7.175
run ≥ 7.5
N.i.AT < 90.5 AT = 48.700
CP ≥ 7.5
Agc ≥ 32.5
DO < 3.5
N.f.AT < 134.5AT < 36AT = 62.537
CP ≥ 25
temp < 16.75
PO4_P < 0.185
N.a.Cdv ≥ 120.5
T_P ≥ 0.0305T_P = 0.229
N.p. DTN ≥ 4.297DTN = 5.908
Cdv ≥ 172.5Cdv ≥ 172.5
Table 9. Determination of biological grade using epilithic diatoms in ecological river restoration technical guide, Korea Ministry of Environment [23,36].
Table 9. Determination of biological grade using epilithic diatoms in ecological river restoration technical guide, Korea Ministry of Environment [23,36].
Class by TDI Indicator Species
Excellent Water 14 00956 i001 Water 14 00956 i002 Water 14 00956 i003
Achnanthes minutissimaCymbella minutaCocconeis placentula var. lineata
Good Water 14 00956 i004 Water 14 00956 i005 Water 14 00956 i006
Achnanthes convergensSynedra ulnaNizschia dissipata
Fair Water 14 00956 i007 Water 14 00956 i008 Water 14 00956 i009
Navicula pupulaNavicula viridulaNitzschia inconspicua
Poor Water 14 00956 i010 Water 14 00956 i011 Water 14 00956 i012
Navicula saprophilaGomphonema parvulumNitzschia palea
Publisher’s Note: MDPI stays neutral with regard to jurisdictional claims in published maps and institutional affiliations.

Share and Cite

MDPI and ACS Style

Shin, Y.; Kim, D.; Heo, T.-Y. Determination of the Habitat Preferences of Dominant Epilithic Diatoms Using Statistical Models: A Case Study in the Han River, South Korea. Water 2022, 14, 956. https://doi.org/10.3390/w14060956

AMA Style

Shin Y, Kim D, Heo T-Y. Determination of the Habitat Preferences of Dominant Epilithic Diatoms Using Statistical Models: A Case Study in the Han River, South Korea. Water. 2022; 14(6):956. https://doi.org/10.3390/w14060956

Chicago/Turabian Style

Shin, Yuna, Doyun Kim, and Tae-Young Heo. 2022. "Determination of the Habitat Preferences of Dominant Epilithic Diatoms Using Statistical Models: A Case Study in the Han River, South Korea" Water 14, no. 6: 956. https://doi.org/10.3390/w14060956

APA Style

Shin, Y., Kim, D., & Heo, T.-Y. (2022). Determination of the Habitat Preferences of Dominant Epilithic Diatoms Using Statistical Models: A Case Study in the Han River, South Korea. Water, 14(6), 956. https://doi.org/10.3390/w14060956

Note that from the first issue of 2016, this journal uses article numbers instead of page numbers. See further details here.

Article Metrics

Back to TopTop