Inhibition of Xenobiotics Transporters’ Efflux Ability after Nanoplastics Exposure in Larval Japanese Medaka
Abstract
:1. Introduction
2. Materials and Methods
2.1. Medaka Culture
2.2. Nanoplastics Characterization and Reagents
2.3. Experimental Design
2.3.1. Experiment 1: PS Nanoplastics Exposure Test
2.3.2. Experiment 2: ABC Transporter Inhibition Test
2.4. Oxidative Stress and Lipid Peroxidation Measurements
2.5. ATP and Cholesterol Contents
2.6. Measurement of Oxygen Consumption
2.7. Quantitative Real-Time Polymerase Chain Reaction
2.8. Transporter Inhibition Measurement
2.9. Statistics
3. Results
3.1. Oxidative Stress after Nanoplastics Exposure
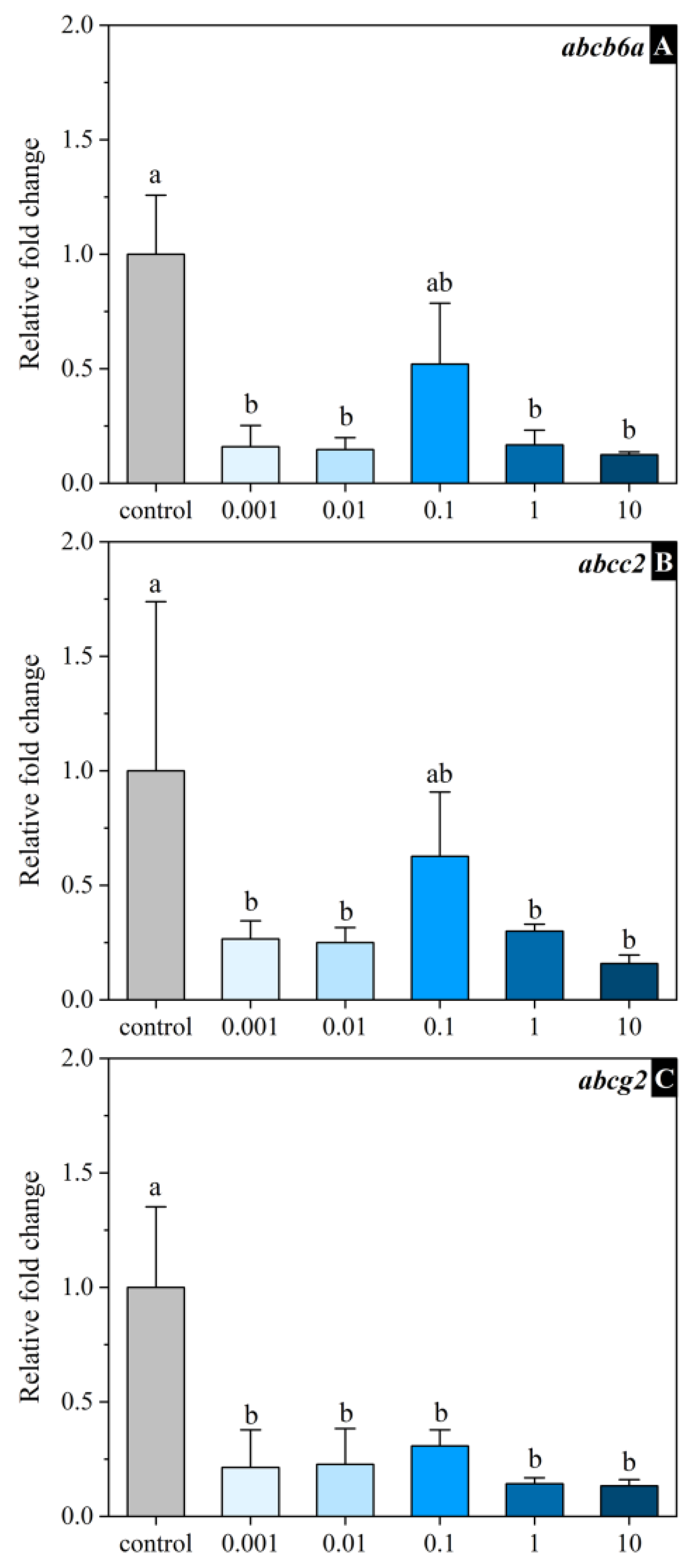
3.2. Cellular Effects of Nanoplastics
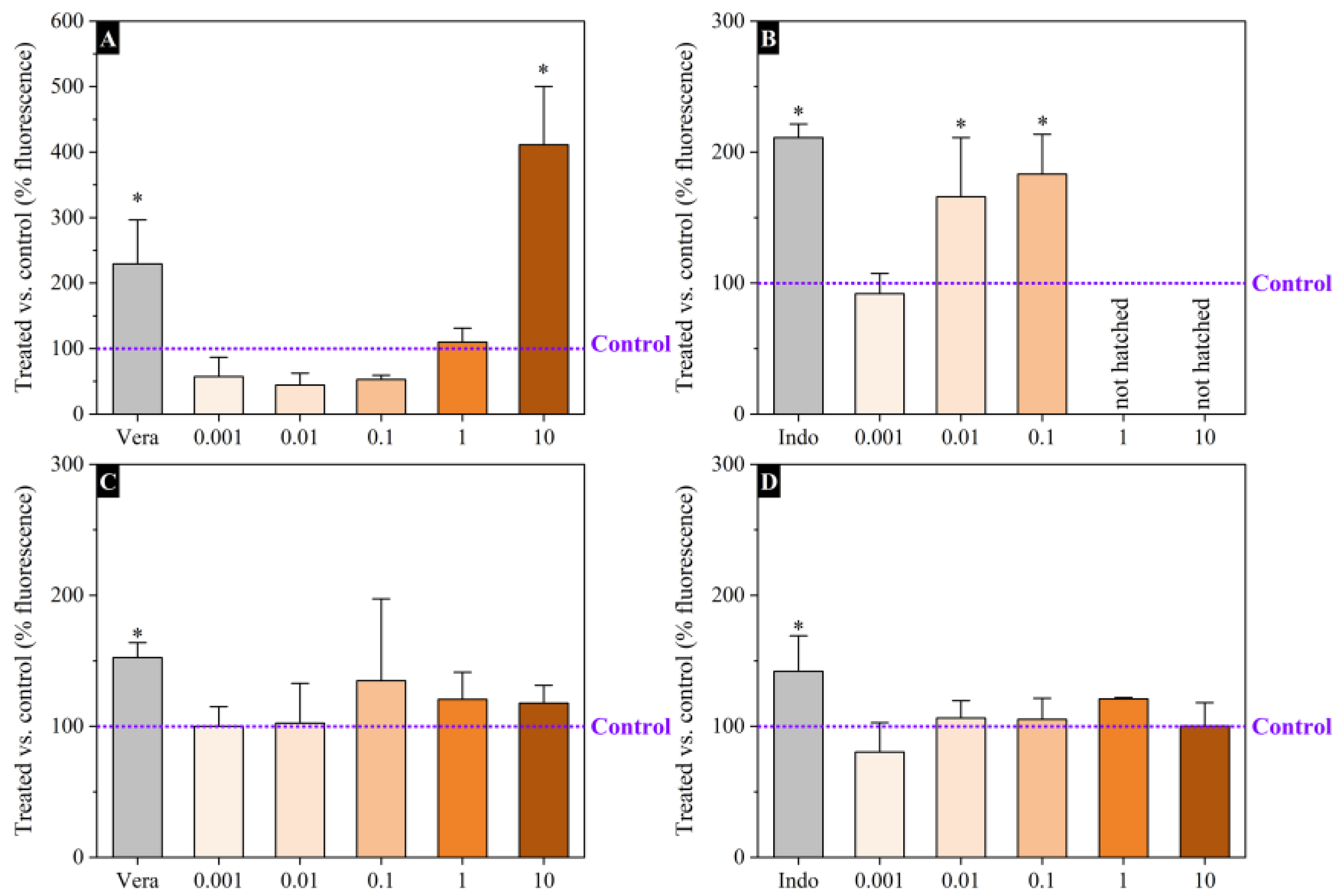
3.3. Nanoplastics Could Lead to Higher Xenobiotics Accumulation
4. Discussion
4.1. Different Sensitivity
4.2. Oxidative Stress Could Be a Molecular Initiating Event
4.3. Oxidative Stress Led to Diminished ABC Transporter Efflux Function
4.4. Nanoplastics Pre-Exposure Enhanced Co-Existing Pollutants’ Accumulation
4.5. Environmental Significance
5. Conclusions
Supplementary Materials
Author Contributions
Funding
Institutional Review Board Statement
Informed Consent Statement
Data Availability Statement
Acknowledgments
Conflicts of Interest
References
- Gigault, J.; Halle, A.T.; Baudrimont, M.; Pascal, P.; Gauffre, F.; Phi, T.; Hadri, H.E.; Grassl, B.; Reynaud, S. Current opinion: What is a nanoplastic? Environ. Pollut. 2018, 235, 1030–1034. [Google Scholar] [CrossRef] [PubMed]
- Halle, A.T.; Jeanneau, L.; Martignac, M.; Jarde, E.; Pedrono, B.; Brach, L.; Gigault, J. Nanoplastic in the North Atlantic Subtropical Gyre. Environ. Sci. Technol. 2017, 51, 13689–13697. [Google Scholar] [CrossRef] [PubMed]
- Hernandez, L.M.; Yousefi, N.; Tufenkji, N. Are there nanoplastics in your personal care products. Environ. Sci. Technol. Lett. 2017, 4, 280–285. [Google Scholar] [CrossRef] [Green Version]
- Gonzalezpleiter, M.; Tamayobelda, M.; Pulidoreyes, G.; Amariei, G.; Leganes, F.; Rosal, R.; Fernandezpinas, F. Secondary nanoplastics released from a biodegradable microplastic severely impact freshwater environments. Environ. Sci. Nano 2019, 6, 1382–1392. [Google Scholar] [CrossRef]
- Shen, M.; Zhang, Y.; Zhu, Y.; Song, B.; Zeng, G.; Hu, D.; Wen, X.; Ren, X. Recent advances in toxicological research of nanoplastics in the environment: A review. Environ. Pollut. 2019, 252, 511–521. [Google Scholar] [CrossRef]
- Liu, Z.; Cai, M.; Yu, P.; Chen, M.; Wu, D.; Zhang, M.; Zhao, Y. Age-dependent survival, stress defense, and AMPK in Daphnia pulex after short-term exposure to a polystyrene nanoplastic. Aquat. Toxicol. 2018, 204, 1–8. [Google Scholar] [CrossRef]
- Dong, S.; Qu, M.; Rui, Q.; Wang, D. Combinational effect of titanium dioxide nanoparticles and nanopolystyrene particles at environmentally relevant concentrations on nematode Caenorhabditis elegans. Ecotox. Environ. Saf. 2018, 161, 444–450. [Google Scholar] [CrossRef]
- Brandts, I.; Teles, M.; Gonçalves, A.; Barreto, A.; Franco-Martinez, L.; Tvarijonaviciute, A.; Martins, M.; Soares, A.; Tort, L.; Oliveira, M. Effects of nanoplastics on Mytilus galloprovincialis after individual and combined exposure with carbamazepine. Sci. Total Environ. 2018, 643, 775–784. [Google Scholar] [CrossRef]
- Chen, Q.; Gundlach, M.; Yang, S.; Jiang, J.; Velki, M.; Yin, D.; Hollert, H. Quantitative investigation of the mechanisms of microplastics and nanoplastics toward zebrafish larvae locomotor activity. Sci. Total Environ. 2017, 584, 1022–1031. [Google Scholar] [CrossRef]
- Chen, Q.; Yin, D.; Jia, Y.; Schiwy, S.; Legradi, J.; Yang, S.; Hollert, H. Enhanced uptake of BPA in the presence of nanoplastics can lead to neurotoxic effects in adult zebrafish. Sci. Total Environ. 2017, 609, 1312–1321. [Google Scholar] [CrossRef]
- Ma, Y.; Huang, A.; Cao, S.; Sun, F.; Wang, L.; Guo, H.; Ji, R. Effects of nanoplastics and microplastics on toxicity, bioaccumulation, and environmental fate of phenanthrene in fresh water. Environ. Pollut. 2016, 219, 166–173. [Google Scholar] [CrossRef] [PubMed]
- Jiang, R.; Lin, W.; Wu, J.; Xiong, Y.; Zhu, F.; Bao, L.-J.; You, J.; Ouyang, G.; Zeng, E.Y. Quantifying nanoplastic-bound chemicals accumulated in Daphnia magna with a passive dosing method. Environ. Sci. Nano 2018, 5, 776–781. [Google Scholar] [CrossRef]
- Gerloff, K.; Landesmann, B.; Worth, A.; Munn, S.; Palosaari, T.; Whelan, M. The adverse outcome pathway approach in nanotoxicology. Comput. Toxicol. 2017, 1, 3–11. [Google Scholar] [CrossRef]
- Lenz, R.; Enders, K.; Nielsen, T.G. Microplastic exposure studies should be environmentally realistic. Proc. Natl. Acad. Sci. USA 2016, 113, 201606615. [Google Scholar] [CrossRef] [Green Version]
- Jeong, C.-B.; Kim, H.-S.; Kang, H.-M.; Lee, J.-S. ATP-binding cassette (ABC) proteins in aquatic invertebrates: Evolutionary significance and application in marine ecotoxicology. Aquat. Toxicol. 2017, 185, 29–39. [Google Scholar] [CrossRef]
- Higgins, C.F. ABC transporters: From microorganisms to man. Annu. Rev. Cell Biol. 1992, 8, 67–113. [Google Scholar] [CrossRef]
- Riches, Z.; Walia, G.; Berman, J.M.; Wright, T.E.; Collier, A.C. ATP-binding cassette proteins BCRP, MRP1 and P-gp expression and localization in the human umbilical cord. Xenobiotica 2016, 46, 548–556. [Google Scholar] [CrossRef] [Green Version]
- Imai, Y.; Asada, S.; Tsukahara, S.; Ishikawa, E.; Tsuruo, T.; Sugimoto, Y. Breast cancer resistance protein exports sulfated estrogens but not free estrogens. Mol. Pharmacol. 2003, 64, 610–618. [Google Scholar] [CrossRef]
- Pohl, P.C.; Klafke, G.M.; Carvalho, D.D.; Martins, J.R.; Daffre, S.; Vaz, I.D.S.; Masuda, A. ABC transporter efflux pumps: A defense mechanism against ivermectin in Rhipicephalus (Boophilus) microplus. Int. J. Parasitol. 2011, 41, 1323–1333. [Google Scholar] [CrossRef]
- Marchitti, S.A.; Mazur, C.S.; Dillingham, C.M.; Rawat, S.; Sharma, A.; Zastre, J.; Kenneke, J.F. Inhibition of the human ABC efflux transporters P-gp and BCRP by the BDE-47 hydroxylated metabolite 6-OH-BDE-47: Considerations for human exposure. Toxicol. Sci. 2017, 155, 270–282. [Google Scholar] [CrossRef]
- Vasiliou, V.; Vasiliou, K.; Nebert, D.W. Human ATP-binding cassette (ABC) transporter family. Hum. Genom. 2008, 3, 281–290. [Google Scholar] [CrossRef] [PubMed]
- Chen, X.; Schluesener, H. Multi-walled carbon nanotubes affect drug transport across cell membrane in rat astrocytes. Nanotechnology 2010, 21, 105104. [Google Scholar] [CrossRef] [PubMed]
- Ravna, A.W.; Sylte, I.; Sager, G. Molecular model of the outward facing state of the human P-glycoprotein (ABCB1), and comparison to a model of the human MRP5 (ABCC5). Theor. Biol. Med. Model. 2007, 4, 33. [Google Scholar] [CrossRef] [PubMed] [Green Version]
- Decleves, X.; Regina, A.; Laplanche, J.; Roux, F.; Boval, B.; Launay, J.; Scherrmann, J.M. Functional expression of P-glycoprotein and multidrug resistance-associated protein (Mrp1) in primary cultures of rat astrocytes. J. Neurosci. Res. 2000, 60, 594–601. [Google Scholar] [CrossRef]
- Wu, B.; Wu, X.; Liu, S.; Wang, Z.; Chen, L. Size-dependent effects of polystyrene microplastics on cytotoxicity and efflux pump inhibition in human Caco-2 cells. Chemosphere 2019, 221, 333–341. [Google Scholar] [CrossRef]
- Jeong, C.-B.; Kang, H.-M.; Lee, Y.H.; Kim, M.-S.; Lee, J.-S.; Seo, J.S.; Wang, M.; Lee, J.-S. Nanoplastic ingestion enhances toxicity of persistent organic pollutants (POPs) in the monogonont rotifer Brachionus koreanus via multixenobiotic resistance (MXR) disruption. Environ. Sci. Technol. 2018, 52, 11411–11418. [Google Scholar] [CrossRef]
- Petriz, J.; Garcia-Lopez, J. Flow cytometric analysis of P-glycoprotein function using rhodamine 123. Leukemia 1997, 11, 1124–1130. [Google Scholar] [CrossRef] [Green Version]
- Chen, X.; Schluesener, H.J. Mode of dye loading affects staining outcomes of fluorescent dyes in astrocytes exposed to multiwalled carbon nanotubes. Carbon 2010, 48, 730–743. [Google Scholar] [CrossRef]
- Nies, A.; Jedlitschky, G.; König, J.; Herold-Mende, C.; Steiner, H.; Schmitt, H.-P.; Keppler, D. Expression and immunolocalization of the multidrug resistance proteins, MRP1–MRP6 (ABCC1–ABCC6), in human brain. Neuroscience 2004, 129, 349–360. [Google Scholar] [CrossRef]
- Halappanavar, S.; Ede, J.D.; Shatkin, J.A.; Krug, H.F. A systematic process for identifying key events for advancing the development of nanomaterial relevant adverse outcome pathways. NanoImpact 2019, 15, 100178. [Google Scholar] [CrossRef]
- Braunbeck, T.; Böttcher, M.; Hollert, H.; Kosmehl, T.; Lammer, E.; Leist, E.; Rudolf, M.; Seitz, N. Towards an alternative for the acute fish LC50 test in chemical assessment: The fish embryo toxicity test goes multi-species-an update. ALTEX Altern. Anim. Exp. 2005, 22, 87–102. [Google Scholar]
- Samreen, S.; Zhang, X.; Wang, J.; Li, Y.; Li, X.; Zheng, Y.; Arif, M.; Ru, S. Environmental relevant herbicide prometryn induces developmental toxicity in the early life stages of marine medaka (Oryzias melastigma) and its potential mechanism. Aquat. Toxicol. 2022, 243, 106079. [Google Scholar] [CrossRef] [PubMed]
- Ge, J.; Hu, Y.; Zhang, T.; Yin, Y. Superparamagnetic composite colloids with anisotropic structures. J. Am. Chem. Soc. 2007, 129, 8974–8975. [Google Scholar] [CrossRef]
- Schneider, C.A.; Rasband, W.S.; Eliceiri, K.W. NIH Image to ImageJ: 25 years of image analysis. Nat. Methods 2012, 9, 671–675. [Google Scholar] [CrossRef]
- Shi, Q.; Tang, J.; Liu, X.; Liu, R. Ultraviolet-induced photodegradation elevated the toxicity of polystyrene nanoplastics on human lung epithelial A549 cells. Environ. Sci. Nano 2021, 8, 2660–2675. [Google Scholar] [CrossRef]
- Zhang, P.; Wang, Y.; Zhao, X.; Ji, Y.; Mei, R.; Fu, L.; Man, M.; Ma, J.; Wang, X.; Chen, L. Surface-enhanced Raman scattering labeled nanoplastic models for reliable bio-nano interaction investigations. J. Hazard. Mater. 2022, 425, 127959. [Google Scholar] [CrossRef] [PubMed]
- Kang, H.-M.; Byeon, E.; Jeong, H.; Kim, M.-S.; Chen, Q.; Lee, J.-S. Different effects of nano- and microplastics on oxidative status and gut microbiota in the marine medaka Oryzias melastigma. J. Hazard. Mater. 2021, 405, 124207. [Google Scholar] [CrossRef]
- Amereh, F.; Babaei, M.; Eslami, A.; Fazelipour, S.; Rafiee, M. The emerging risk of exposure to nano (micro) plastics on endocrine disturbance and reproductive toxicity: From a hypothetical scenario to a global public health challenge. Environ. Pollut. 2020, 261, 114158. [Google Scholar] [CrossRef]
- Amereh, F.; Eslami, A.; Fazelipour, S.; Rafiee, M.; Zibaii, M.I.; Babaei, M. Thyroid endocrine status and biochemical stress responses in adult male Wistar rats chronically exposed to pristine polystyrene nanoplastics. Toxicol. Res. 2019, 8, 953–963. [Google Scholar] [CrossRef]
- Janaszewska, A.; Bartosz, G. Assay of total antioxidant capacity: Comparison of four methods as applied to human blood plasma. Scand. J. Clin. Lab. Investig. 2002, 62, 231–236. [Google Scholar] [CrossRef]
- Placer, Z.A.; Cushman, L.L.; Johnson, B.C. Estimation of product of lipid peroxidation (malonyl dialdehyde) in biochemical systems. Anal. Biochem. 1966, 16, 359–364. [Google Scholar] [CrossRef]
- Somkhit, J.; Loyant, R.; Brenet, A.; Hassan-Abdi, R.; Yanicostas, C.; Porceddu, M.; Borgne-Sanchez, A.; Soussi-Yanicostas, N. A Fast, Simple, and Affordable Technique to Measure Oxygen Consumption in Living Zebrafish Embryos. Zebrafish 2020, 17, 268–270. [Google Scholar] [CrossRef] [PubMed]
- Livak, K.J.; Schmittgen, T.D. Analysis of relative gene expression data using real-time quantitative PCR and the 2−∆∆Ct method. Methods 2001, 25, 402–408. [Google Scholar] [CrossRef] [PubMed]
- Thubagere, A.; Reinhard, B.M. Nanoparticle-induced apoptosis propagates through hydrogen-peroxide-mediated bystander killing: Insights from a human intestinal epithelium in vitro model. ACS Nano 2010, 4, 3611–3622. [Google Scholar] [CrossRef]
- Hu, M.; Palić, D. Micro- and nano-plastics activation of oxidative and inflammatory Adverse Outcome Pathways. Redox Biol. 2020, 37, 101620. [Google Scholar] [CrossRef]
- Rossi, G.; Barnoud, J.; Monticelli, L. Polystyrene nanoparticles perturb lipid membranes. J. Phys. Chem. Lett. 2014, 5, 241–246. [Google Scholar] [CrossRef]
- Liu, L.; Xu, K.; Zhang, B.; Ye, Y.; Zhang, Q.; Jiang, W. Cellular internalization and release of polystyrene microplastics and nanoplastics. Sci. Total Environ. 2021, 779, 146523. [Google Scholar] [CrossRef]
- Rejman, J.; Oberle, V.; Zuhorn, I.S.; Hoekstra, D. Size-dependent internalization of particles via the pathways of clathrin-and caveolae-mediated endocytosis. Biochem. J. 2004, 377, 159–169. [Google Scholar] [CrossRef]
- Kuhn, D.A.; Vanhecke, D.; Michen, B.; Blank, F.; Gehr, P.; Petri-Fink, A.; Rothen-Rutishauser, B. Different endocytotic uptake mechanisms for nanoparticles in epithelial cells and macrophages. Beilstein J. Nanotechnol. 2014, 5, 1625–1636. [Google Scholar] [CrossRef] [Green Version]
- Jeong, C.-B.; Kim, B.-M.; Kang, H.-M.; Choi, I.-Y.; Rhee, J.-S.; Lee, J.-S. Marine medaka ATP-binding cassette (ABC) superfamily and new insight into teleost Abch nomenclature. Sci. Rep. 2015, 5, 15409. [Google Scholar] [CrossRef] [Green Version]
- Qiu, L.; Qiao, M.; Chen, Q.; Tian, C.; Long, M.; Wang, M.; Li, Z.; Hu, W.; Li, G.; Cheng, L. Enhanced effect of pH-sensitive mixed copolymer micelles for overcoming multidrug resistance of doxorubicin. Biomaterials 2014, 35, 9877–9887. [Google Scholar] [CrossRef] [PubMed]
- Tai, W.; Yang, Y.; Lin, H.; Huang, C.; Cheng, Y.; Chen, M.; Yen, H.; Liau, I. Interplay between structure and fluidity of model lipid membranes under oxidative attack. J. Phys. Chem. B 2010, 114, 15642–15649. [Google Scholar] [CrossRef]
- Sharom, F.J. Complex interplay between the P-glycoprotein multidrug efflux pump and the membrane: Its role in modulating protein function. Front. Oncol. 2014, 4, 41. [Google Scholar] [CrossRef] [PubMed] [Green Version]
- Wang, Z.; Xu, Y.; Meng, X.; Watari, F.; Liu, H.; Chen, X. Suppression of c-Myc is involved in multi-walled carbon nanotubes’ down-regulation of ATP-binding cassette transporters in human colon adenocarcinoma cells. Toxicol. Appl. Pharm. 2015, 282, 42–51. [Google Scholar] [CrossRef] [PubMed]
- Thangavel, S.; Mulet, C.T.; Atluri, V.S.; Agudelo, M.; Rosenberg, R.; Devieux, J.G.; Nair, M.P. Oxidative stress in HIV infection and alcohol use: Role of redox signals in modulation of lipid rafts and ATP-binding cassette transporters. Antioxid. Redox Sign. 2018, 28, 324–337. [Google Scholar] [CrossRef] [PubMed]
- Chen, M.; Li, W.; Wang, N.; Zhu, Y.; Wang, X. ROS and NF-κB but not LXR mediate IL-1β signaling for the downregulation of ATP-binding cassette transporter A1. Am. J. Physiol. Cell Physiol. 2007, 292, C1493–C1501. [Google Scholar] [CrossRef]
- Chen, Q.; Hu, X.; Wang, R.; Yuan, J.; Yin, D. Fullerene inhibits benzo (a) pyrene efflux from Cyprinus carpio hepatocytes by affecting cell membrane fluidity and P-glycoprotein expression. Aquat. Toxicol. 2016, 174, 36–45. [Google Scholar] [CrossRef]
- Sodani, K.; Patel, A.; Kathawala, R.J.; Chen, Z. Multidrug resistance associated proteins in multidrug resistance. Chin. J. Cancer 2012, 31, 58–72. [Google Scholar] [CrossRef] [Green Version]
- Meech, R.; Miners, J.O.; Lewis, B.C.; Mackenzie, P.I. The glycosidation of xenobiotics and endogenous compounds: Versatility and redundancy in the UDP glycosyltransferase superfamily. Pharmacol. Ther. 2012, 134, 200–218. [Google Scholar] [CrossRef]
- Mackenzie, P.I.; Rogers, A.; Elliot, D.J.; Chau, N.; Hulin, J.; Miners, J.O.; Meech, R. The novel UDP glycosyltransferase 3A2: Cloning, catalytic properties, and tissue distribution. Mol. Pharmacol. 2011, 79, 472–478. [Google Scholar] [CrossRef] [Green Version]
- Watson, G.M.; Andersen, O.; Galloway, T.S.; Depledge, M.H. Rapid assessment of polycyclic aromatic hydrocarbon (PAH) exposure in decapod crustaceans by fluorimetric analysis of urine and haemolymph. Aquat. Toxicol. 2004, 67, 127–142. [Google Scholar] [CrossRef] [PubMed]
- Oliveira, M.; Ribeiro, A.; Hylland, K.; Guilhermino, L. Single and combined effects of microplastics and pyrene on juveniles (0+ group) of the common goby Pomatoschistus microps (Teleostei, Gobiidae). Ecol. Indic. 2013, 34, 641–647. [Google Scholar] [CrossRef]
- Pitt, J.A.; Kozal, J.S.; Jayasundara, N.; Massarsky, A.; Trevisan, R.; Geitner, N.; Wiesner, M.; Levin, E.D.; Di Giulio, R.T. Uptake, tissue distribution, and toxicity of polystyrene nanoparticles in developing zebrafish (Danio rerio). Aquat. Toxicol. 2018, 194, 185–194. [Google Scholar] [CrossRef]
- Moore, M. Do nanoparticles present ecotoxicological risks for the health of the aquatic environment? Environ. Int. 2006, 32, 967–976. [Google Scholar] [CrossRef]
- Prata, J.C.; Lavorante, B.R.; Maria da Conceição, B.; Guilhermino, L. Influence of microplastics on the toxicity of the pharmaceuticals procainamide and doxycycline on the marine microalgae Tetraselmis chuii. Aquat. Toxicol. 2018, 197, 143–152. [Google Scholar] [CrossRef] [PubMed]
- Lin, P.; Guo, Y.; He, L.; Liao, X.; Chen, X.; He, L.; Lu, Z.; Qian, Z.-J.; Zhou, C.; Hong, P.; et al. Nanoplastics aggravate the toxicity of arsenic to AGS cells by disrupting ABC transporter and cytoskeleton. Ecotoxicol. Environ. Saf. 2021, 227, 112885. [Google Scholar] [CrossRef]
- Liu, S.; Shen, Z.; Wu, B.; Yu, Y.; Hou, H.; Zhang, X.-X.; Ren, H.-Q. Cytotoxicity and efflux pump inhibition induced by molybdenum disulfide and boron nitride nanomaterials with sheetlike structure. Environ. Sci. Technol. 2017, 51, 10834–10842. [Google Scholar] [CrossRef]
- Luckenbach, T.; Epel, D. Nitromusk and polycyclic musk compounds as long-term inhibitors of cellular xenobiotic defense systems mediated by multidrug transporters. Environ. Health Persp. 2005, 113, 17–24. [Google Scholar] [CrossRef]
- Cordon-Cardo, C.; O’brien, J.; Boccia, J.; Casals, D.; Bertino, J.; Melamed, M. Expression of the multidrug resistance gene product (P-glycoprotein) in human normal and tumor tissues. J. Histochem. Cytochem. 1990, 38, 1277–1287. [Google Scholar] [CrossRef]





| Components | Stock Solution Concentration (mg/L) | Added to Milli-Q Water (mL/L) |
|---|---|---|
| CaCl2·2H2O | 294 | 10 |
| MgSO4·7H2O | 123.3 | 10 |
| NaHCO3 | 63 | 10 |
| KCl | 5.5 | 10 |
| Gene | Direction | Sequence | Accession Number |
|---|---|---|---|
| β-actin | Forward | GAGGTTCCGTTGCCCAGAG | S74868 |
| Reverse | TGATGCTGTTGTAGGTGGTCTC | ||
| abcb6a | Forward | GAACGTCTTCCTCCAGATGCTTG | CP020666 |
| Reverse | CACCATCGTCTGCATCTACGTC | ||
| abcc2 | Forward | GGCGGTCACATTAGGAGAGG | Ensembl database |
| Reverse | ACGTCACACAGAACCAGCAA | ||
| abcg2 | Forward | AGGGTAAGCAGGGGATGACT | Ensembl database |
| Reverse | GAGAGCTCCAACGATCAGGG |
Publisher’s Note: MDPI stays neutral with regard to jurisdictional claims in published maps and institutional affiliations. |
© 2022 by the authors. Licensee MDPI, Basel, Switzerland. This article is an open access article distributed under the terms and conditions of the Creative Commons Attribution (CC BY) license (https://creativecommons.org/licenses/by/4.0/).
Share and Cite
Yu, H.; Gao, Z.; Yang, Y.; Li, M.; Chen, Q. Inhibition of Xenobiotics Transporters’ Efflux Ability after Nanoplastics Exposure in Larval Japanese Medaka. Water 2022, 14, 863. https://doi.org/10.3390/w14060863
Yu H, Gao Z, Yang Y, Li M, Chen Q. Inhibition of Xenobiotics Transporters’ Efflux Ability after Nanoplastics Exposure in Larval Japanese Medaka. Water. 2022; 14(6):863. https://doi.org/10.3390/w14060863
Chicago/Turabian StyleYu, Hairui, Zhuo Gao, Yan Yang, Mingyuan Li, and Qiqing Chen. 2022. "Inhibition of Xenobiotics Transporters’ Efflux Ability after Nanoplastics Exposure in Larval Japanese Medaka" Water 14, no. 6: 863. https://doi.org/10.3390/w14060863
APA StyleYu, H., Gao, Z., Yang, Y., Li, M., & Chen, Q. (2022). Inhibition of Xenobiotics Transporters’ Efflux Ability after Nanoplastics Exposure in Larval Japanese Medaka. Water, 14(6), 863. https://doi.org/10.3390/w14060863
