Occurrence of Antibiotic-Resistant Genes and Bacteria in Household Greywater Treated in Constructed Wetlands
Abstract
1. Introduction
2. Materials and Methods
2.1. System Description and Sampling
2.2. Water Quality Analysis
2.3. Microbial Enumeration
2.4. DNA Extraction and ARG Analysis
2.5. Raw and Treated Greywater Microbial Community Analysis
2.6. Sequencing and Statistical Analysis
| Target Gene | Primer | Amplicon Size | Sequence | Associated Antibiotic or Other Conditions | Resistant to | References |
|---|---|---|---|---|---|---|
| 16s rDNA | 331 | 195 bp | TCCTACGGGAGGCAGCAGT | N/A | N/A | [31,39,40] |
| 518 | ATTACCGCGGCTGCTGG | |||||
| intI1 | intILC5_fw | 196 bp | GATCGGTCGAATGCGTGT | Wastewater treatment, clinical settings, food, groundwater, and other anthropogenic sources | N/A | [31,41] |
| intILC1_rv | GCCTTGATGTTACCCGAGAG | |||||
| qnrS | qnrSrtF11 | 118 bp | GACGTGCTAACTTGCGTG | Fluoroquinolones | Fluoroquinolones | [31,42] |
| qnrSrtR11 | TGGCATTGTTGGAAACTT | |||||
| sul1 | sul1-FW | 162 bp | CGCACCGGAAACATCGCTGCAC | Sulfonamides | Sulfonamides | [31,33,43] |
| sul1-RV | TGAAGTTCCGCCGCAAGGCTCG | |||||
| blaCTXM32 | CTX-M32-Fw | 156 bp | CGTCACGCTGTTGTTAGGAA | Beta-Lactams | Amoxicillin, Cefotaxime, Ceftazidime, Cefepime, Piperacillin, Cephalothin, Cefoxitin, Cefuroxime | [31,33] |
| CTX-M32-Rv | CGCTCATCAGCACGATAAAG |
3. Results and Discussion
3.1. Water Quality Results
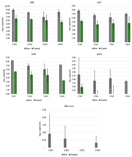
3.2. Overall ARG Results
3.3. Sul1, blaCTXM32, and qnrS
3.4. 16S and IntI1
3.5. Community Structure in Raw and Treated Greywater
3.6. ESBL Isolates
4. Conclusions
Author Contributions
Funding
Institutional Review Board Statement
Informed Consent Statement
Data Availability Statement
Acknowledgments
Conflicts of Interest
References
- WHO. WHO Guidelines for the Safe Use of Wastewater, Excreta and Greywater: Volume I–IV Policy and Regulatory Aspects; World Health Organization (WHO): Geneva, Switzerland, 2006. [Google Scholar]
- Gross, A.; Alfiya, Y.; Sklarz, M.; Maimon, A.; Friedler, E. Environmental Impact of Irrigation with Greywater Treated by Recirculating Vertical Flow Constructed Wetlands in Two Climatic Regions. Water Sci. Technol. 2014, 69, 2452–2459. [Google Scholar] [CrossRef] [PubMed]
- Siggins, A.; Burton, V.; Ross, C.; Lowe, H.; Horswell, J. Effects of Long-Term Greywater Disposal on Soil: A Case Study. Sci. Total Environ. 2016, 557–558, 627–635. [Google Scholar] [CrossRef]
- Maimon, A.; Gross, A.; Arye, G. Greywater-Induced Soil Hydrophobicity. Chemosphere 2017, 184, 1012–1019. [Google Scholar] [CrossRef]
- Zainab, S.M.; Junaid, M.; Xu, N.; Malik, R.N. Antibiotics and Antibiotic Resistant Genes (ARGs) in Groundwater: A Global Review on Dissemination, Sources, Interactions, Environmental and Human Health Risks. Water Res. 2020, 187, 116455. [Google Scholar] [CrossRef] [PubMed]
- Gatica, J.; Cytryn, E. Impact of Treated Wastewater Irrigation on Antibiotic Resistance in the Soil Microbiome. Environ. Sci. Pollut. Res. 2013, 20, 3529–3538. [Google Scholar] [CrossRef]
- Vymazal, J. The Use of Hybrid Constructed Wetlands for Wastewater Treatment with Special Attention to Nitrogen Removal: A Review of a Recent Development. Water Res. 2013, 47, 4795–4811. [Google Scholar] [CrossRef]
- Busgang, A.; Friedler, E.; Gilboa, Y.; Gross, A. Quantitative Microbial Risk Analysis for Various Bacterial Exposure Scenarios Involving Greywater Reuse for Irrigation. Water 2018, 10, 413. [Google Scholar] [CrossRef]
- Vymazal, J.; Zhao, Y.; Mander, Ü. Recent Research Challenges in Constructed Wetlands for Wastewater Treatment: A Review. Ecol. Eng. 2021, 169, 106318. [Google Scholar] [CrossRef]
- Gross, A.; Shmueli, O.; Ronen, Z.; Raveh, E. Recycled Vertical Flow Constructed Wetland (RVFCW)-a Novel Method of Recycling Greywater for Irrigation in Small Communities and Households. Chemosphere 2007, 66, 916–923. [Google Scholar] [CrossRef]
- Pruden, A.; Alcalde, R.E.; Alvarez, P.J.J.; Ashbolt, N.; Bischel, H.; Capiro, N.L.; Crossette, E.; Frigon, D.; Grimes, K.; Haas, C.N.; et al. An Environmental Science and Engineering Framework for Combating Antimicrobial Resistance. Environ. Eng. Sci. 2018, 35, 1005–1011. [Google Scholar] [CrossRef]
- Garner, E.; Organiscak, M.; Dieter, L.; Shingleton, C.; Haddix, M.; Joshi, S.; Pruden, A.; Ashbolt, N.J.; Medema, G.; Hamilton, K.A. Towards Risk Assessment for Antibiotic Resistant Pathogens in Recycled Water: A Systematic Review and Summary of Research Needs. Environ. Microbiol. 2021, 23, 7355–7372. [Google Scholar] [CrossRef] [PubMed]
- O’Neill, J. Tackling Drug-Resistant Infections Globally: Final Report and Recommendations the Review on Antimicrobial Resistance; Review on Antimicrobial Resistance: London, UK, 2016. [Google Scholar]
- Davies, J.; Spiegelman, G.B.; Yim, G. The World of Subinhibitory Antibiotic Concentrations. Curr. Opin. Microbiol. 2006, 9, 445–453. [Google Scholar] [CrossRef]
- Gullberg, E.; Cao, S.; Berg, O.G.; Ilbäck, C.; Sandegren, L.; Hughes, D.; Andersson, D.I. Selection of Resistant Bacteria at Very Low Antibiotic Concentrations. PLoS Pathog. 2011, 7, e1002158. [Google Scholar] [CrossRef] [PubMed]
- Kohanski, M.A.; DePristo, M.A.; Collins, J.J. Sublethal Antibiotic Treatment Leads to Multidrug Resistance via Radical-Induced Mutagenesis. Mol. Cell 2010, 37, 311–320. [Google Scholar] [CrossRef]
- Alfiya, Y.; Dubowski, Y.; Friedler, E. Diurnal Patterns of Micropollutants Concentrations in Domestic Greywater. Urban Water J. 2018, 15, 399–406. [Google Scholar] [CrossRef]
- Varela, A.R.; Manaia, C.M. Human Health Implications of Clinically Relevant Bacteria in Wastewater Habitats. Environ. Sci. Pollut. Res. 2013, 20, 3550–3569. [Google Scholar] [CrossRef] [PubMed]
- Vaz-Moreira, I.; Varela, A.R.; Pereira, T.V.; Fochat, R.C.; Manaia, C.M. Multidrug Resistance in Quinolone-Resistant Gram-Negative Bacteria Isolated from Hospital Effluent and the Municipal Wastewater Treatment Plant. Microb. Drug Resist. 2016, 22, 155–163. [Google Scholar] [CrossRef]
- Usman, M.; Farooq, M.; Hanna, K. Environmental Side Effects of the Injudicious Use of Antimicrobials in the Era of COVID-19. Sci. Total Environ. 2020, 745, 141053. [Google Scholar] [CrossRef]
- Harrow, D.I.; Felker, J.M.; Baker, K.H. Impacts of Triclosan in Greywater on Soil Microorganisms. Appl. Environ. Soil Sci. 2011, 2011, 646750. [Google Scholar] [CrossRef]
- Porob, S.; Craddock, H.A.; Motro, Y.; Sagi, O.; Gdalevich, M.; Ezery, Z.; Davidovitch, N.; Ronen, Z.; Moran-Gilad, J. Quantification and Characterization of Antimicrobial Resistance in Greywater Discharged to the Environment. Water 2020, 12, 1460. [Google Scholar] [CrossRef]
- Arden, S.; Ma, X. Constructed Wetlands for Greywater Recycle and Reuse: A Review. Sci. Total Environ. 2018, 630, 587–599. [Google Scholar] [CrossRef] [PubMed]
- Ghaitidak, D.M.; Yadav, K.D. Characteristics and Treatment of Greywater-a Review. Environ. Sci. Pollut. Res. 2013, 20, 2795–2809. [Google Scholar] [CrossRef] [PubMed]
- Alfiya, Y.; Gross, A.; Sklarz, M.; Friedler, E. Reliability of On-Site Greywater Treatment Systems in Mediterranean and Arid Environments—A Case Study. Water Sci. Technol. 2013, 67, 1389–1395. [Google Scholar] [CrossRef] [PubMed][Green Version]
- Benami, M.; Gillor, O.; Gross, A. The Question of Pathogen Quantification in Disinfected Graywater. Sci. Total Environ. 2015, 506-507, 496–504. [Google Scholar] [CrossRef]
- APHA; AWWA; WEF. Standard Methods for the Examination of Water & Wastewater, 23rd ed.; American Public Health Association (APHA); American Water Works Association (AWWA); Water Environment Federation (WEF): Denver, CO, USA, 2017. [Google Scholar]
- Potter, B.B.; Wimsatt, J.C. Determination of Total Organic Carbon and Specific Uv Absorbance at 254 nm in Source Water and Drinking Water; US EPA Method 415.3; U.S. Environmental Protection Agency: Washington, DC, USA, 2005.
- Mau, V.; Neumann, J.; Wehrli, B.; Gross, A. Nutrient Behavior in Hydrothermal Carbonization Aqueous Phase Following Recirculation and Reuse. Environ. Sci. Technol. 2019, 53, 10426–10434. [Google Scholar] [CrossRef]
- Troiano, E.; Beneduce, L.; Gross, A.; Ronen, Z. Antibiotic-Resistant Bacteria in Greywater and Greywater-Irrigated Soils. Front. Microbiol. 2018, 9, 2666. [Google Scholar] [CrossRef]
- Rocha, J.; Cacace, D.; Kampouris, I.; Guilloteau, H.; Jäger, T.; Marano, R.B.M.; Karaolia, P.; Manaia, C.M.; Merlin, C.; Fatta-Kassinos, D.; et al. Inter-Laboratory Calibration of Quantitative Analyses of Antibiotic Resistance Genes. J. Environ. Chem. Eng. 2020, 8, 102214. [Google Scholar] [CrossRef]
- Makowska, N.; Koczura, R.; Mokracka, J. Class 1 Integrase, Sulfonamide and Tetracycline Resistance Genes in Wastewater Treatment Plant and Surface Water. Chemosphere 2016, 144, 1665–1673. [Google Scholar] [CrossRef]
- Szczepanowski, R.; Linke, B.; Krahn, I.; Gartemann, K.H.; Gützkow, T.; Eichler, W.; Pühler, A.; Schlüter, A. Detection of 140 Clinically Relevant Antibiotic-Resistance Genes in the Plasmid Metagenome of Wastewater Treatment Plant Bacteria Showing Reduced Susceptibility to Selected Antibiotics. Microbiology 2009, 155, 2306–2319. [Google Scholar] [CrossRef]
- Ionescu, D.; Overholt, W.A.; Lynch, M.D.J.; Neufeld, J.D.; Naqib, A.; Green, S.J. Microbial Community Analysis Using High-Throughput Amplicon Sequencing. In Manual of Environmental Microbiology; ASM Press: Washington, DC, USA, 2015. [Google Scholar]
- Takahashi, S.; Tomita, J.; Nishioka, K.; Hisada, T.; Nishijima, M. Development of a Prokaryotic Universal Primer for Simultaneous Analysis of Bacteria and Archaea Using Next-Generation Sequencing. PLoS ONE 2014, 9, e105592. [Google Scholar] [CrossRef]
- Zhang, J.; Kobert, K.; Flouri, T.; Stamatakis, A. PEAR: A Fast and Accurate Illumina Paired-End ReAd MergeR. Bioinformatics 2014, 30, 614–620. [Google Scholar] [CrossRef]
- Edgar, R.C. Search and Clustering Orders of Magnitude Faster than BLAST. Bioinformatics 2010, 26, 2460–2461. [Google Scholar] [CrossRef]
- Dhariwal, A.; Chong, J.; Habib, S.; King, I.L.; Agellon, L.B.; Xia, J. MicrobiomeAnalyst: A Web-Based Tool for Comprehensive Statistical, Visual and Meta-Analysis of Microbiome Data. Nucleic Acids Res. 2017, 45, W180–W188. [Google Scholar] [CrossRef] [PubMed]
- Nadkarni, M.A.; Martin, F.E.; Jacques, N.A.; Hunter, N. Determination of Bacterial Load by Real-Time PCR Using a Broad-Range (Universal) Probe and Primers Set. Microbiology 2002, 148, 257–266. [Google Scholar] [CrossRef] [PubMed]
- Muyzer, G.; De Waal, E.C.; Uitterlinden, A.G. Profiling of Complex Microbial Populations by Denaturing Gradient Gel Electrophoresis Analysis of Polymerase Chain Reaction-Amplified Genes Coding for 16S rRNA. Appl. Environ. Microbiol. 1993, 59, 695–700. [Google Scholar] [CrossRef] [PubMed]
- Gillings, M.R.; Gaze, W.H.; Pruden, A.; Smalla, K.; Tiedje, J.M.; Zhu, Y.G. Using the Class 1 Integron-Integrase Gene as a Proxy for Anthropogenic Pollution. ISME J. 2015, 9, 1269–1279. [Google Scholar] [CrossRef]
- Kaplan, E.; Ofek, M.; Jurkevitch, E.; Cytryn, E. Characterization of Fluoroquinolone Resistance and Qnr Diversity in Enterobacteriaceae from Municipal Biosolids. Front. Microbiol. 2013, 4, 144. [Google Scholar] [CrossRef]
- Pei, R.; Kim, S.C.; Carlson, K.H.; Pruden, A. Effect of River Landscape on the Sediment Concentrations of Antibiotics and Corresponding Antibiotic Resistance Genes (ARG). Water Res. 2006, 40, 2427–2435. [Google Scholar] [CrossRef]
- Inbar, Y. New Standards for Treated Wastewater Reuse in Israel. In Proceedings of the Wastewater Reuse–Risk Assessment, Decision-Making and Environmental Security; Zaidi, M.K., Ed.; Springer: Dordrecht, The Netherlands, 2007; pp. 291–296. [Google Scholar]
- Wang, J.; Chu, L.; Wojnárovits, L.; Takács, E. Occurrence and Fate of Antibiotics, Antibiotic Resistant Genes (ARGs) and Antibiotic Resistant Bacteria (ARB) in Municipal Wastewater Treatment Plant: An Overview. Sci. Total Environ. 2020, 744, 140997. [Google Scholar] [CrossRef]
- Shamsizadeh, Z.; Ehrampoush, M.H.; Nikaeen, M.; Farzaneh, mohammadi; Mokhtari, M.; Gwenzi, W.; Khanahmad, H. Antibiotic Resistance and Class 1 Integron Genes Distribution in Irrigation Water-Soil-Crop Continuum as a Function of Irrigation Water Sources. Environ. Pollut. 2021, 289, 117930. [Google Scholar] [CrossRef]
- Ma, Y.; Wilson, C.A.; Novak, J.T.; Riffat, R.; Aynur, S.; Murthy, S.; Pruden, A. Effect of Various Sludge Digestion Conditions on Sulfonamide, Macrolide, and Tetracycline Resistance Genes and Class 1 Integrons. Environ. Sci. Technol. 2011, 45, 7855–7861. [Google Scholar] [CrossRef]
- Liu, X.; Guo, X.; Liu, Y.; Lu, S.; Xi, B.; Zhang, J.; Wang, Z.; Bi, B. A Review on Removing Antibiotics and Antibiotic Resistance Genes from Wastewater by Constructed Wetlands: Performance and Microbial Response. Environ. Pollut. 2019, 254, 112996. [Google Scholar] [CrossRef] [PubMed]
- Krzeminski, P.; Tomei, M.C.; Karaolia, P.; Langenhoff, A.; Almeida, C.M.R.; Felis, E.; Gritten, F.; Andersen, H.R.; Fernandes, T.; Manaia, C.M.; et al. Performance of Secondary Wastewater Treatment Methods for the Removal of Contaminants of Emerging Concern Implicated in Crop Uptake and Antibiotic Resistance Spread: A Review. Sci. Total Environ. 2018, 648, 1052–1081. [Google Scholar] [CrossRef] [PubMed]
- Gross, A.; Maimon, A.; Alfiya, Y.; Friedler, E. Greywater Reuse; CRC Press: Boca Raton, FL, USA, 2015. [Google Scholar]
- Christgen, B.; Yang, Y.; Ahammad, S.Z.; Li, B.; Rodriquez, D.C.; Zhang, T.; Graham, D.W. Metagenomics Shows That Low-Energy Anaerobic-Aerobic Treatment Reactors Reduce Antibiotic Resistance Gene Levels from Domestic Wastewater. Environ. Sci. Technol. 2015, 49, 2577–2584. [Google Scholar] [CrossRef] [PubMed]
- Chen, J.; Ying, G.G.; Wei, X.D.; Liu, Y.S.; Liu, S.S.; Hu, L.X.; He, L.Y.; Chen, Z.F.; Chen, F.R.; Yang, Y.Q. Removal of Antibiotics and Antibiotic Resistance Genes from Domestic Sewage by Constructed Wetlands: Effect of Flow Configuration and Plant Species. Sci. Total Environ. 2016, 571, 974–982. [Google Scholar] [CrossRef]
- Nõlvak, H.; Truu, M.; Tiirik, K.; Oopkaup, K.; Sildvee, T.; Kaasik, A.; Mander, Ü.; Truu, J. Dynamics of Antibiotic Resistance Genes and Their Relationships with System Treatment Efficiency in a Horizontal Subsurface Flow Constructed Wetland. Sci. Total Environ. 2013, 461, 636–644. [Google Scholar] [CrossRef]
- Cacace, D.; Fatta-Kassinos, D.; Manaia, C.M.; Cytryn, E.; Kreuzinger, N.; Rizzo, L.; Karaolia, P.; Schwartz, T.; Alexander, J.; Merlin, C.; et al. Antibiotic Resistance Genes in Treated Wastewater and in the Receiving Water Bodies: A Pan-European Survey of Urban Settings. Water Res. 2019, 162, 320–330. [Google Scholar] [CrossRef]
- Gao, P.; Munir, M.; Xagoraraki, I. Correlation of Tetracycline and Sulfonamide Antibiotics with Corresponding Resistance Genes and Resistant Bacteria in a Conventional Municipal Wastewater Treatment Plant. Sci. Total Environ. 2012, 421–422, 173–183. [Google Scholar] [CrossRef]
- Xu, J.; Xu, Y.; Wang, H.; Guo, C.; Qiu, H.; He, Y.; Zhang, Y.; Li, X.; Meng, W. Occurrence of Antibiotics and Antibiotic Resistance Genes in a Sewage Treatment Plant and Its Effluent-Receiving River. Chemosphere 2015, 119, 1379–1385. [Google Scholar] [CrossRef]
- Balcázar, J.L.; Subirats, J.; Borrego, C.M. The Role of Biofilms as Environmental Reservoirs of Antibiotic Resistance. Front. Microbiol. 2015, 6, 1216. [Google Scholar] [CrossRef]
- Liao, J.; Chen, Y. Removal of Intl1 and Associated Antibiotics Resistant Genes in Water, Sewage Sludge and Livestock Manure Treatments. Rev. Environ. Sci. Biotechnol. 2018, 17, 471–500. [Google Scholar] [CrossRef]
- Koczura, R.; Mokracka, J.; Taraszewska, A.; Łopacinska, N. Abundance of Class 1 Integron-Integrase and Sulfonamide Resistance Genes in River Water and Sediment Is Affected by Anthropogenic Pressure and Environmental Factors. Microb. Ecol. 2016, 72, 909–916. [Google Scholar] [CrossRef]
- Gillings, M.; Boucher, Y.; Labbate, M.; Holmes, A.; Krishnan, S.; Holley, M.; Stokes, H.W. The Evolution of Class 1 Integrons and the Rise of Antibiotic Resistance. J. Bacteriol. 2008, 190, 5095–5100. [Google Scholar] [CrossRef] [PubMed]
- Verduzo Garibay, M.; Fernández del Castillo, A.; de Anda, J.; Senés-Guerrero, C.; Gradilla-Hernández, M.S. Structure and Activity of Microbial Communities in Response to Environmental, Operational, and Design Factors in Constructed Wetlands. Int. J. Environ. Sci. Technol. 2021, 2021, 1–26. [Google Scholar] [CrossRef]
- Waite, D.W.; Vanwonterghem, I.; Rinke, C.; Parks, D.H.; Zhang, Y.; Takai, K.; Sievert, S.M.; Simon, J.; Campbell, B.J.; Hanson, T.E.; et al. Comparative Genomic Analysis of the Class Epsilonproteobacteria and Proposed Reclassification to Epsilonbacteraeota (Phyl. Nov.). Front. Microbiol. 2017, 8, 682. [Google Scholar] [CrossRef] [PubMed]
- Wisplinghoff, H.; Paulus, T.; Lugenheim, M.; Stefanik, D.; Higgins, P.G.; Edmond, M.B.; Wenzel, R.P.; Seifert, H. Nosocomial Bloodstream Infections Due to Acinetobacter baumannii, Acinetobacter fittii and Acinetobacter nosocomialis in the United States. J. Infect. 2012, 64, 282–290. [Google Scholar] [CrossRef]
- Almuzara, M.N.; Vazquez, M.; Tanaka, N.; Turco, M.; Ramirez, M.S.; Lopez, E.L.; Pasteran, F.; Rapoport, M.; Procopio, A.; Vay, C.A. First Case of Human Infection Due to Pseudomonas fulva, an Environmental Bacterium Isolated from Cerebrospinal Fluid. J. Clin. Microbiol. 2010, 48, 660–664. [Google Scholar] [CrossRef]
- Dé, I.; Rolston, K.; Han, X. Clinical Significance of Roseomonas Species Isolated from Catheter and Blood Samples: Analysis of 36 Cases in Patients with Cancer. Clin. Infect. Dis. 2004, 38, 1579–1584. [Google Scholar] [CrossRef]
- Cobo, F.; Jiménez, G.; Rodríguez-Granger, J.; Sampedro, A. Posttraumatic Skin and Soft-Tissue Infection Due to Pseudomonas fulva. Case Rep. Infect. Dis. 2016, 2016, 8716068. [Google Scholar] [CrossRef]
- Shariff, M.; Beri, K. Exacerbation of Bronchiectasis by Pseudomonas monteilii: A Case Report. BMC Infect. Dis. 2017, 17, 511. [Google Scholar] [CrossRef]
- Yomoda, S.; Okubo, T.; Takahashi, A.; Murakami, M.; Iyobe, S. Presence of Pseudomonas putida Strains Harboring Plasmids Bearing the Metallo-β-Lactamase Gene BlaIMP in a Hospital in Japan. J. Clin. Microbiol. 2003, 41, 4246–4251. [Google Scholar] [CrossRef]
- Benami, M.; Gross, A.; Herzberg, M.; Orlofsky, E.; Vonshak, A.; Gillor, O. Assessment of Pathogenic Bacteria in Treated Graywater and Irrigated Soils. Sci. Total Environ. 2013, 458–460, 298–302. [Google Scholar] [CrossRef] [PubMed]
- Toro, M.; Ramírez-Bahena, M.H.; José Cuesta, M.; Velázquez, E.; Peix, A. Pseudomonas guariconensis Sp. Nov., Isolated from Rhizospheric Soil. Int. J. Syst. Evol. Microbiol. 2013, 63, 4413–4420. [Google Scholar] [CrossRef] [PubMed]
- Rasmussen-Ivey, C.R.; Figueras, M.J.; McGarey, D.; Liles, M.R. Virulence Factors of Aeromonas hydrophila: In the Wake of Reclassification. Front. Microbiol. 2016, 7, 1337. [Google Scholar] [CrossRef]
- Ugarte-Torres, A.; Perry, S.; Franko, A.; Church, D.L. Multidrug-Resistant Aeromonas hydrophila Causing Fatal Bilateral Necrotizing Fasciitis in an Immunocompromised Patient: A Case Report. J. Med Case Rep. 2018, 12, 326. [Google Scholar] [CrossRef] [PubMed]
- Lipps, S.M.; Samac, D.A.; Cir, B. Pseudomonas viridiflava: An Internal Outsider of the Pseudomonas syringae Species Complex. Mol. Plant Pathol. 2022, 23, 3–15. [Google Scholar] [CrossRef]
- Hong, P.Y.; Julian, T.R.; Pype, M.L.; Jiang, S.C.; Nelson, K.L.; Graham, D.; Pruden, A.; Manaia, C.M. Reusing Treated Wastewater: Consideration of the Safety Aspects Associated with Antibiotic-Resistant Bacteria and Antibiotic Resistance Genes. Water 2018, 10, 244. [Google Scholar] [CrossRef]





| Parameter | Average and Standard Deviation of Raw Greywater and Treated Greywater | Percent Reduction | |
|---|---|---|---|
| Raw Greywater | Treated Greywater | ||
| BOD5 (mg/L) | 89.3 ± 102.8 | 3.9 ± 3.0 | 95.7 |
| pH | 7.31 ± 0.41 | 7.54 ± 0.29 | N/A |
| TSS (mg/L) | 150.7 ± 194.1 | 10.8 ± 16.7 | 92.9 |
| Conductivity (µS/cm) | 776.5 ± 286.5 | 742.9 ± 205.5 | 4.3 |
| Turbidity (NTU) | 228.6 ± 205.1 | 14.1 ± 16.4 | 93.8 |
| TOC (mg/L) | 31.9 ± 30.8 | 5.76 ± 3.25 | 81.9 |
| TN (mg/L) | 9.46 ± 5.31 | 5.76 ± 3.25 | 35.6 |
| E. coli | 1.15 × 107 | 2.61 × 105 | 97.7 |
| TOC | TN | BOD | TSS | 16S | blaCTXM32 | IntI1 | Sul1 | qnrS | |
|---|---|---|---|---|---|---|---|---|---|
| TOC | 1.000 | ||||||||
| TN | 0.263 | 1.000 | |||||||
| BOD | 0.190 | 0.116 | 1.000 | ||||||
| TSS | 0.780 | 0.338 | 0.334 | 1.000 | |||||
| 16S | 0.891 | 0.196 | 0.238 | 0.349 | 1.000 | ||||
| blaCTXM32 | −0.028 | 0.211 | 0.335 | 0.780 | 0.091 | 1.000 | |||
| IntI1 | 0.924 | 0.171 | 0.322 | 0.687 | 0.849 | 0.498 | 1.000 | ||
| sul1 | 0.929 | 0.189 | 0.223 | 0.502 | 0.951 | 0.219 | 0.951 | 1.000 | |
| qnrS | 0.904 | 0.183 | 0.102 | 0.247 | 0.901 | −0.105 | 0.799 | 0.935 | 1.000 |
| Isolate ID | Isolate Identification | Ascension Number |
|---|---|---|
| CW1_1 | Aeromonas sp. | MT322960.1 |
| CW1_2 | Aeromonas caviae | MK301540.1 |
| CW1_3 | Pseudomonas sp. | MT512028.1 |
| CW1_4 | Pseudomonas sp. | EF442068.1 |
| CW1_5 | Aeromonas sp. | MF148425.1 |
| CW1_6 | Pseudomonas nitroreducens | MT472129.1 |
| CW1_7 | Acinetobacter nosocomialis | MT540255.1 |
| CW1_8 | Pseudomonas sp. | MF372961.1 |
| CW2_1 | Pseudomonas fulva | MT634251.1 |
| CW2_2 | Pseudomonas putida | MT641244.1 |
| CW2_3 | Citrobacter sp. | MH341951.1 |
| CW2_4 | Pseudomonas guariconensis | MT436398.1 |
| CW2_5 | Pseudomonas sp. | MT376777.1 |
| CW2_6 | Pseudomonas sp. G | MT256213.1 |
| CW2_7 | Pseudomonas sp. | MT507070.1 |
| CW2_8 | Pseudomonas guariconensis | MT436398.1 |
| CW2_9 | Elizabethkingia sp. | MN540122.1 |
| CW3_1 | Pseudomonas sp. | LC549486.1 |
| CW3_2 | Pseudomonas nitroreducens | MT472129.1 |
| CW3_3 | Pseudomonas viridiflava | MT386110.1 |
| CW3_4 | Aeromonas caviae | MN582971.1 |
| CW3_5 | Aeromonas caviae | MN582971.1 |
| CW3_6 | Pseudomonas sp. | GQ456130.1 |
| CW3_7 | Aeromonas hydrophila | MT605959.1 |
| CW3_8 | Roseomonas cervicalis | MF372961.1 |
| CW4_1 | Pseudomonas putida | MT641244.1 |
| CW4_2 | Pseudomonas putida | CP045551.1 |
| CW4_3 | Stenotrophomonas sp. | MT649753.1 |
| CW4_4 | Pseudomonas sp. | CP045553.1 |
| CW4_5 | Pseudomonas monteilii | MW245841.1 |
| CW4_6 | Aeromonas sp. | MK834723.1 |
Publisher’s Note: MDPI stays neutral with regard to jurisdictional claims in published maps and institutional affiliations. |
© 2022 by the authors. Licensee MDPI, Basel, Switzerland. This article is an open access article distributed under the terms and conditions of the Creative Commons Attribution (CC BY) license (https://creativecommons.org/licenses/by/4.0/).
Share and Cite
Henderson, M.; Ergas, S.J.; Ghebremichael, K.; Gross, A.; Ronen, Z. Occurrence of Antibiotic-Resistant Genes and Bacteria in Household Greywater Treated in Constructed Wetlands. Water 2022, 14, 758. https://doi.org/10.3390/w14050758
Henderson M, Ergas SJ, Ghebremichael K, Gross A, Ronen Z. Occurrence of Antibiotic-Resistant Genes and Bacteria in Household Greywater Treated in Constructed Wetlands. Water. 2022; 14(5):758. https://doi.org/10.3390/w14050758
Chicago/Turabian StyleHenderson, Michelle, Sarina J. Ergas, Kebreab Ghebremichael, Amit Gross, and Zeev Ronen. 2022. "Occurrence of Antibiotic-Resistant Genes and Bacteria in Household Greywater Treated in Constructed Wetlands" Water 14, no. 5: 758. https://doi.org/10.3390/w14050758
APA StyleHenderson, M., Ergas, S. J., Ghebremichael, K., Gross, A., & Ronen, Z. (2022). Occurrence of Antibiotic-Resistant Genes and Bacteria in Household Greywater Treated in Constructed Wetlands. Water, 14(5), 758. https://doi.org/10.3390/w14050758

