Carbon Black: A Good Adsorbent for Triclosan Removal from Water
Abstract
:1. Introduction
2. Materials and Methods
2.1. Materials
2.2. Preparation and Characterization of Carbon Black
2.3. Static Adsorption Experiments
2.4. Fixed Bed Column Experiment
2.5. Analysis for TCS
3. Results
3.1. Structural and Morphology of Carbon Black
3.2. Effect of pH
3.3. Effect of Temperature
3.4. Comparison with PAC
3.5. Adsorption Isotherms and Kinetics
3.6. Column Studies
3.6.1. Effect of Column Bed Depth
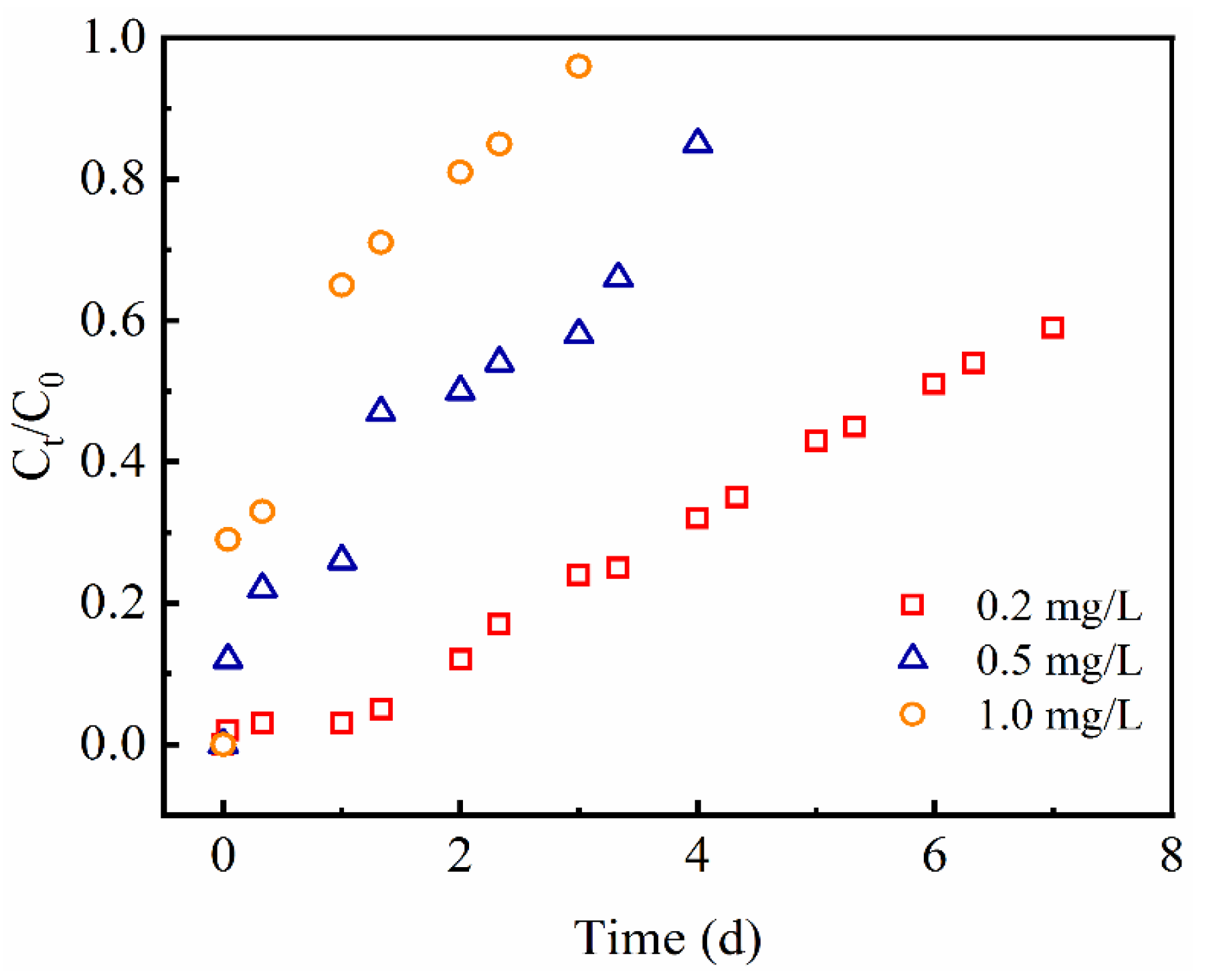
3.6.2. Effect of Initial TCS Concentration
3.6.3. Effect of Flow Rate
3.7. Breakthrough Curves Models Analysis
4. Conclusions
Author Contributions
Funding
Conflicts of Interest
References
- Adolfsson-Erici, M.; Pettersson, M.; Parkkonen, J.; Sturve, J. Triclosan, a commonly used bactericide found in human milk and in the aquatic environment in Sweden. Chemosphere 2002, 46, 1485–1489. [Google Scholar] [CrossRef]
- Kung, T.A.; Lee, S.H.; Yang, T.C.; Wang, W.H. Survey of selected personal care products in surface water of coral reefs in Kenting National Park, Taiwan. Sci. Total Environ. 2018, 635, 1302–1307. [Google Scholar] [CrossRef] [PubMed]
- Yung-Yu, L.; Yi-Siou, L.; Chia-Hung, Y.; Chang-Ling, M.; Ting-Chien, C.; Meng-Chun, W.; Chi-Ying, H. Identification, contribution, and estrogenic activity of potential EDCs in a river receiving concentrated livestock effluent in Southern Taiwan. Sci. Total Environ. 2018, 636, 464–476. [Google Scholar]
- Schena, D.; Papagrigoraki, A.; Girolomoni, G. Sensitizing potential of triclosan and triclosan-based skin care products in patients with chronic eczema. Dermatol. Ther. 2008, 21, S35–S38. [Google Scholar] [CrossRef]
- Rozman, D.; Hrkal, Z.; Eckhardt, P.; Novotna, E.; Boukalova, Z. Pharmaceuticals in groundwaters: A case study of the psychiatric hospital at HorniBerkovice, Czech Republic (vol 73, pg 3775, 2015). Environ. Earth Sci. 2019, 78, 1. [Google Scholar]
- Vulliet, E.; Cren-Olive, C.; Grenier-Loustalot, M.F. Occurrence of pharmaceuticals and hormones in drinking water treated from surface waters. Environ. Chem. Lett. 2011, 9, 103–114. [Google Scholar] [CrossRef]
- Chen, D.; Feng, H.; Li, J. Graphene Oxide: Preparation, Functionalization, and Electrochemical Applications. Chem. Rev. 2012, 112, 6027–6053. [Google Scholar] [CrossRef]
- Boyer, T.H.; Singer, P.C. Bench-scale testing of a magnetic ion exchange resin for removal of disinfection by-product precursors. Water Res. 2005, 39, 1265–1276. [Google Scholar] [CrossRef]
- Pontius, F.W. Complying with future water regulations. J. Am. Water Work. Assoc. 1999, 91, 46–58. [Google Scholar] [CrossRef]
- Richardson, S.D.; Plewa, M.J.; Wagner, E.D.; Schoeny, R.; DeMarini, D.M. Occurrence, genotoxicity, and carcinogenicity of regulated and emerging disinfection by-products in drinking water: A review and roadmap for research. Mutat. Res.-Rev. Mutat. Res. 2007, 636, 178–242. [Google Scholar] [CrossRef]
- Rodriguez, M.J.; Serodes, J.; Roy, D. Formation and fate of haloacetic acids (HAAs) within the water treatment plant. Water Res. 2007, 41, 4222–4232. [Google Scholar] [CrossRef] [PubMed]
- Loh, K.P.; Bao, Q.L.; Eda, G.; Chhowalla, M. Graphene oxide as a chemically tunable platform for optical applications. Nat. Chem. 2010, 2, 1015–1024. [Google Scholar] [CrossRef] [PubMed]
- Paredes, J.I.; Villar-Rodil, S.; Martinex-Alonso, A.; Tascón, J. Graphene Oxide Dispersions in Organic Solvents. Langmuir Acs J. Surf. Colloids 2008, 24, 10560. [Google Scholar] [CrossRef] [PubMed]
- Mahmoodi, N.M.; Sadeghi, U.; Maleki, A.; Hayati, B.; Najafi, F. Synthesis of cationic polymeric adsorbent and dye removal isotherm, kinetic and thermodynamic. J. Ind. Eng. Chem. 2014, 20, 2745–2753. [Google Scholar] [CrossRef]
- Li, Y.; Liu, S.B.; Wang, C.; Ying, Z.A.; Huo, M.X.; Yang, W. Effective column adsorption of triclosan from pure water and wastewater treatment plant effluent by using magnetic porous reduced graphene oxide. J. Hazard. Mater. 2020, 386, 11. [Google Scholar] [CrossRef]
- Nawrocki, J.; Andrzejewski, P. Nitrosamines and water. J. Hazard. Mater. 2011, 189, 1–18. [Google Scholar] [CrossRef]
- Cho, E.-J.; Kang, J.-K.; Moon, J.-K.; Um, B.-H.; Lee, C.-G.; Jeong, S.; Park, S.-J. Removal of triclosan from aqueous solution via adsorption by kenaf-derived biochar: Its adsorption mechanism study via spectroscopic and experimental approaches. J. Environ. Chem. Eng. 2021, 9, 106343. [Google Scholar] [CrossRef]
- Hayati, B.; Maleki, A.; Najafi, F.; Daraei, H.; Gharibi, F.; McKay, G. Synthesis and characterization of PAMAM/CNT nanocomposite as a super-capacity adsorbent for heavy metal (Ni2+, Zn2+, As3+, Co2+) removal from wastewater. J. Mol. Liq. 2016, 224, 1032–1040. [Google Scholar] [CrossRef]
- Behera, S.K.; Kim, J.-H.; Guo, X.; Park, H.-S. Adsorption equilibrium and kinetics of polyvinyl alcohol from aqueous solution on powdered activated carbon. J. Hazard. Mater. 2008, 153, 1207–1214. [Google Scholar] [CrossRef]
- Mahmoodi, N.M.; Hayati, B.; Arami, M. Dye removal from colored textile wastewater using pine cone. J. Hazard. Mater. 2011, 56, 35–51. [Google Scholar]
- Wong, Y.C.; Szeto, Y.S.; Cheung, W.H.; Mckay, G. Pseudo-first-order kinetic studies of the sorption of acid dyes onto chitosan. J. Appl. Polym. Sci. 2010, 92, 3. [Google Scholar] [CrossRef]
- Ho, Y.S.; Mckay, G. Pseudo-second order model for sorption processes. Process Biochem. 1999, 34, 451–465. [Google Scholar] [CrossRef]
- Chen, S.H.; Yue, Q.Y.; Gao, B.Y.; Li, Q.; Xu, X.; Fu, K.F. Adsorption of hexavalent chromium from aqueous solution by modified corn stalk: A fixed-bed column study. Bioresour. Technol. 2012, 113, 114–120. [Google Scholar] [CrossRef] [PubMed]
- Kolpin, D.W.; Furlong, E.T.; Meyer, M.T.; Thurman, E.M.; Zaugg, S.D.; Barber, L.B.; Buxton, H.T. Pharmaceuticals, hormones, and other organic wastewater contaminants in US streams, 1999–2000: A national reconnaissance. Environ. Sci. Technol. 2002, 36, 1202–1211. [Google Scholar] [CrossRef] [Green Version]
- Patino, Y.; Diaz, E.; Ordonez, S. Pre-concentration of nalidixic acid through adsorption-desorption cycles: Adsorbent selection and modeling. Chem. Eng. J. 2016, 283, 486–494. [Google Scholar] [CrossRef]











| Langmuir | Freundlich | ||||
|---|---|---|---|---|---|
| qm (mg/g) | KL (L/mg) | R2 | n | KF (mg/g) (L/mg)1/n | R2 |
| 634,121.47 | 0.43 | 0.90 | 0.66 | 631.16 | 0.99 |
| Pseudo-First-Order | Pseudo-Second-Order | |||||
|---|---|---|---|---|---|---|
| C0 (mg/L) | k1 (1/min) | qe (mg/g) | R2 | k2 (g/(mg·min)) | qe (mg/g) | R2 |
| 0.5 | 0.15 | 0.78 | 0.89 | 32.74 | 2.76 | 1 |
| 1 | 0.11 | 0.54 | 0.42 | 11.31 | 5.68 | 1 |
| 2 | 0.15 | 0.53 | 0.58 | 7.86 | 18.61 | 1 |
| 5 | 0.16 | 0.42 | 0.62 | 8.07 | 35.21 | 0.98 |
| H (mm) | Q (mL/min) | C0 (mg/L) | ta (d) | tb (d) | Qe (mg/g) | h (%) |
|---|---|---|---|---|---|---|
| 0.9 | 2 | 0.5 | 3.33 | 6 | 244.56 | 66 ± 4 |
| 2.2 | 2 | 0.5 | 8.00 | 13 | 231.04 | 67 ± 6 |
| 4.2 | 2 | 0.5 | 14.33 | 18 | 218.62 | 59 ± 6 |
| 0.9 | 1.5 | 0.5 | 5.00 | 9 | 252.70 | 56 ± 3 |
| 0.9 | 2 | 0.5 | 3.33 | 6 | 244.56 | 66 ± 4 |
| 0.9 | 2.5 | 0.5 | 1.33 | 2.33 | 221.17 | 69 ± 7 |
| 0.9 | 2 | 0.2 | 5.00 | 12 | 226.71 | 43 ± 4 |
| 0.9 | 2 | 0.5 | 3.33 | 6 | 244.56 | 66 ± 5 |
| 0.9 | 2 | 1.0 | 1.33 | 3 | 353.60 | 71 ± 6 |
| H | v | (t0.6) Exp | C0 | N0 | (t0.6) Cal | ε |
|---|---|---|---|---|---|---|
| (mm) | (mm/min) | (d) | (mg/L) | (mg/L) | (d) | (%) |
| 0.9 | 2.95 | 2.97 | 0.67 | |||
| 2.2 | 6.37 | 7.42 | 0.5 | 77.87 | 7.48 | 0.80 |
| 4.2 | 14.30 | 14.33 | 0.21 |
Publisher’s Note: MDPI stays neutral with regard to jurisdictional claims in published maps and institutional affiliations. |
© 2022 by the authors. Licensee MDPI, Basel, Switzerland. This article is an open access article distributed under the terms and conditions of the Creative Commons Attribution (CC BY) license (https://creativecommons.org/licenses/by/4.0/).
Share and Cite
Wang, J.; Man, H.; Sun, L.; Zang, S. Carbon Black: A Good Adsorbent for Triclosan Removal from Water. Water 2022, 14, 576. https://doi.org/10.3390/w14040576
Wang J, Man H, Sun L, Zang S. Carbon Black: A Good Adsorbent for Triclosan Removal from Water. Water. 2022; 14(4):576. https://doi.org/10.3390/w14040576
Chicago/Turabian StyleWang, Jing, Haoran Man, Li Sun, and Shuying Zang. 2022. "Carbon Black: A Good Adsorbent for Triclosan Removal from Water" Water 14, no. 4: 576. https://doi.org/10.3390/w14040576
APA StyleWang, J., Man, H., Sun, L., & Zang, S. (2022). Carbon Black: A Good Adsorbent for Triclosan Removal from Water. Water, 14(4), 576. https://doi.org/10.3390/w14040576

