River–Lake System Connectivity Effectively Reduced the Salinity of Lake Water in Bosten Lake, Northwest China
Abstract
1. Introduction
2. Study Area and Methods
2.1. Study Area
2.2. Material and Methods
2.2.1. TDS Content Data Monitoring
2.2.2. Pollutants Amount Calculation
2.3. Statistical Analysis
3. Results and Discussions
3.1. Historical Water Quality Problems of Bosten Lake
3.2. Background of the River–Lake System Connectivity Implementation
3.3. Improvement Evaluation of River–Lake System Connectivity on TDS Content
3.3.1. Improvement in the Temporal Change of TDS Content
3.3.2. Improvement in the Spatial Change of TDS Content
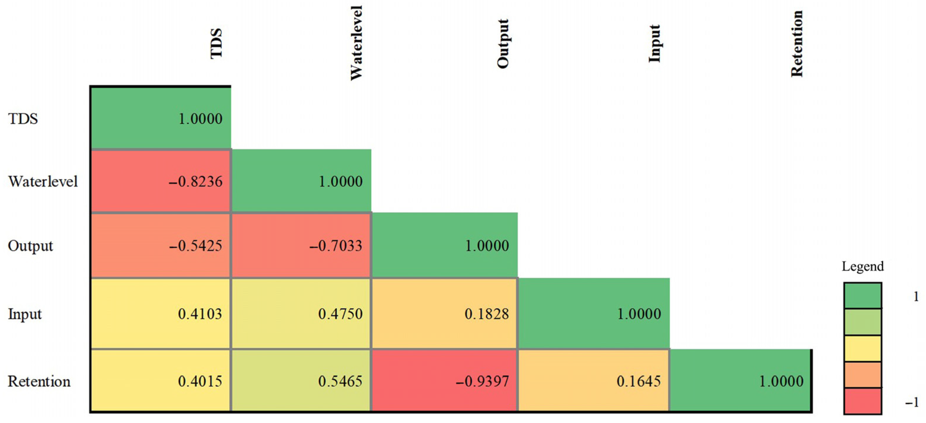
3.4. Improvement Mechanism of River–Lake System Connectivity on Water Quality
4. Conclusions
Author Contributions
Funding
Data Availability Statement
Conflicts of Interest
References
- Li, Y.; Li, Z.; Hu, X.; Tan, L.; Jiang, H. Evaluation of improvement effect of the water system connection projects on aquatic environment in the Datong Lake area. J. Water Resour. Water Eng. 2021, 32, 116–123. [Google Scholar]
- Tang, C.; He, C.; Li, Y.; Acharya, K. Diverse responses of hydrodynamics, nutrients and algal biomass to water diversion in a eutrophic shallow lake. J. Hydrol. 2021, 593, 125933. [Google Scholar] [CrossRef]
- Cardona, A.; Carrillo-Rivera, J.J.; Huizar-Álvarez, R.; Graniel-Castro, E. Salinization in coastal aquifers of arid zones: An example from Santo Domingo, Baja California Sur, Mexico. Environ. Geol. 2004, 45, 350–366. [Google Scholar] [CrossRef]
- Liu, X.; Lu, X.; Chen, Y. The effects of temperature and nutrient ratios on Microcystisblooms in Lake Taihu, China: An 11-year investigation. Harmful Algae 2011, 10, 337–343. [Google Scholar] [CrossRef]
- Yao, J.; Chen, Y.; Zhao, Y.; Yu, X. Hydroclimatic changes of Lake Bosten in Northwest China during the last decades. Sci. Rep. 2018, 8, 9118. [Google Scholar] [CrossRef]
- Ma, L.; Abuduwaili, J.; Liu, W. Environmentally sensitive grainsize component records and its response to climatic and anthropogenic influences in Bosten Lake region, China. Sci. Rep. 2020, 10, 942. [Google Scholar] [CrossRef]
- Sierp, M.T.; Qin, J.G.; Recknagel, F. Biomanipulation: A review of biological control measures in eutrophic waters and the potential for murray cod Maccullochellapeeliipeelii, to promote water quality in temperate Australia. Rev. Fish Biol. Fish. 2009, 19, 143–165. [Google Scholar] [CrossRef]
- James, R.T.; Pollman, C.D. Sediment and nutrient management solutions to improve the water quality of Lake Okeechobee. Lake Reserv. Manag. 2011, 27, 28–40. [Google Scholar] [CrossRef]
- Wang, L.; Li, C.; Sun, B. Determination total phosphorus concentration and evaluation eutrophication of Hulun Lake with MODIS data. Chin. J. Environ. Eng. 2014, 12, 5527–5534. [Google Scholar]
- Qin, B.; Zhang, Y.; Deng, J.; Zhu, G.; Liu, J.; Hamilton, D.P.; Paerl, H.W.; Brookes, J.D.; Wu, T.; Peng, K.; et al. Polluted lake restoration to promote sustainability in the Yangtze River Basin, China. Natl. Sci. Rev. 2022, 9, nwab207. [Google Scholar] [CrossRef]
- Zhang, M.; Dolatshah, A.; Zhu, W.; Yu, G. Case study on water quality improvement in Xihu Lake through diversion and water distribution. Water 2018, 10, 333. [Google Scholar] [CrossRef]
- Dai, J.; Wu, S.; Wu, X.; Lv, X.; Sivakumar, B.; Wang, F.; Zhang, Y.; Yang, Q.; Gao, A.; Zhao, Y.; et al. Impacts of a large river-to-lake water diversion project on lacustrine phytoplankton communities. J. Hydrol. 2020, 587, 124938. [Google Scholar] [CrossRef]
- Yu, M.; Wang, C.; Liu, Y.; Olsson, G.; Wang, C. Sustainability of mega water diversion projects: Experience and lessons from China. Sci. Total Environ. 2018, 619–620, 721–731. [Google Scholar] [CrossRef] [PubMed]
- Hu, L.; Hu, W.; Zhai, S.; Wu, H. Effects on water quality following water transfer in Lake Taihu, China. Ecol. Eng. 2010, 36, 471–481. [Google Scholar] [CrossRef]
- Hilt, S.; Köhler, J.; Kozerski, H.; van Nes, E.H.; Scheffer, M. Abrupt regime shifts in space and time along rivers and connected lake systems. Oikos 2011, 120, 766–775. [Google Scholar] [CrossRef]
- Amano, Y.; Sakai, Y.; Sekiya, T.; Takeya, K.; Taki, K.; Machida, M. Effect of phosphorus fluctuation caused by river water dilution in eutrophic lake on competition between blue-green alga Microcystis aeruginosa and diatom Cyclotella sp. J. Environ. Sci. 2010, 22, 1666–1673. [Google Scholar] [CrossRef]
- Zhou, H.; Li, W.; Chen, Y.; Fu, A. Water-salt succession patterns (1951–2011) and its response to climate change in Lake Bosten. J. Lake Sci. 2014, 26, 55–65. [Google Scholar]
- Mischke, S.; Wünnemann, B. The Holocene salinity history of Bosten Lake (Xinjiang, China) inferred from ostracod species assemblages and shell chemistry: Possible paleoclimatic implications. Quatern. Int. 2006, 154, 100–112. [Google Scholar] [CrossRef]
- Zhou, H.; Chen, Y.; Perry, L.; Li, W. Implications of climate change for water management of an arid inland lake in Northwest China. Lake Reserv. Manag. 2015, 31, 202–213. [Google Scholar] [CrossRef]
- Zhang, L.; Shen, T.; Cheng, Y.; Zhao, T.; Li, L.; Qi, P. Temporal and spatial variations in the bacterial community composition in Lake Bosten, a large, brackish lake in China. Sci. Rep. 2020, 10, 304. [Google Scholar] [CrossRef]
- Wünnemann, B.; Mischke, S.; Chen, F. A Holocene sedimentary record from Bosten Lake, China. Palaeogeogr. Palaeoclimatol. Palaeoecol. 2006, 234, 223–238. [Google Scholar] [CrossRef]
- Wu, J.; Ma, L.; Zeng, H. Water quality and quantity characteristics and its evolution in Lake Bosten, Xinjiang over the past 50 years. Sci. Geogr. 2013, 33, 231–237. [Google Scholar]
- Wang, J. Water environment quality of Bosten Lake and pollution prevention and Control Measures. Environ. Prot. Xinjiang 2019, 41, 29–32. [Google Scholar]
- Li, H.; Lei, X.; Li, Y.; Wang, X. Analysis of variation characteristics of nitrogen and phosphorus in typical farmland and drainage ditches of Bosten Lake Basin. Water Sav. Irrig. 2014, 9, 57–62. [Google Scholar]
- Li, W.; Fu, A.; Zhou, H.; Zhu, C.G.; Aji, D. Analysis of trends and changes in the water environment of an inland river basin in an arid area. Water Environ. Res. 2014, 86, 104–110. [Google Scholar] [CrossRef] [PubMed]
- Zhuang, Q.; Ying, L. The Characteristics of spatial distribution of the agricultural drainage and pollutions into Bosten Lake. Adv. Environ. Prot. 2015, 5, 91–102. [Google Scholar] [CrossRef]
- Cheng, Y.; Zhou, H.; Chen, S.; Ye, Z.; Zhu, C. Spatial-temporal variation of water quality and its driver-factors analysis in Bosten Lake, China. J. Water Resour. Res. 2022, 11, 169–180. [Google Scholar] [CrossRef]
- Yang, W.; Xu, M.; Li, R.; Zhang, L.; Deng, Q. Study on the water diversion regulation scheme of interconnected river system network oriented to ecological environment. Eng. J. Wuhan Univ. 2020, 53, 861–868. [Google Scholar]
- Pan, H.; Li, Y.; Tang, C.; Acharya, K.; Yao, X.; Zhang, J.; Zhu, Y.; Cheng, Y.; Cheng, Y.; Yu, S.; et al. Evaluation of the effect of water diversion on improving water environment in plain river network under the multi-objective optimization. J. Lake Sci. 2021, 33, 1138–1152. [Google Scholar]
- Welch, E.B. Phosphorus reduction by dilution and shift in fish species in Moses Lake, WA. Lake Reserv. Manag. 2009, 25, 276–283. [Google Scholar] [CrossRef]
- Mishra, D.R.; Mishra, S. Plume and bloom: Effect of the Mississippi River diversion on the water quality of Lake Pontchartrain. Geocarto Int. 2010, 25, 555–568. [Google Scholar] [CrossRef]
- Das, D.K. Environmental impact of inter-basin water transfer projects: Some evidence from Canada. Econ. Polit. Wkly. 2006, 41, 1703–1707. [Google Scholar]
- Khorasani, H.; Kerachian, R.; Malakpour-Estalaki, S. Developing a comprehensive framework for eutrophication management in off-stream artificial lakes. J. Hydrol. 2018, 562, 103–124. [Google Scholar] [CrossRef]
- Qin, B.; Paerl, H.W.; Brookes, J.D.; Liu, J.; Jeppesen, E.; Zhu, G.; Zhang, Y.; Xu, H.; Shi, K.; Deng, J. Why Lake Taihu continues to be plagued with cyanobacterial blooms through 10 years (2007–2017) efforts. Chin. Sci. Bull. 2019, 64, 354–356. [Google Scholar] [CrossRef]
- Nong, X.; Shao, D.; Zhong, H.; Liang, J. Evaluation of water quality in the South to-North Water Diversion Project of China using the water quality index (WQI) method. Water Res. 2020, 178, 115781. [Google Scholar] [CrossRef] [PubMed]
- Wang, H. Study on Hydrological Change and Water Balance in Bosten Lake Basin; Xinjiang Institute of Ecology and Geography, Chinese Academy of Sciences: Xinjiang, China, 2015. [Google Scholar]












| Classification Standard | Fresh Water | Brackish Water | Salt Water | Brine | Bittern |
|---|---|---|---|---|---|
| TDS (g/L) | <1.0 | 1 ~ < 3.0 | 3 ~ < 10.0 | 10 ~ < 50.0 | ≥50.0 |
Publisher’s Note: MDPI stays neutral with regard to jurisdictional claims in published maps and institutional affiliations. |
© 2022 by the authors. Licensee MDPI, Basel, Switzerland. This article is an open access article distributed under the terms and conditions of the Creative Commons Attribution (CC BY) license (https://creativecommons.org/licenses/by/4.0/).
Share and Cite
Zhou, H.; Chen, Y.; Ye, Z.; Li, Y.; Zhu, C. River–Lake System Connectivity Effectively Reduced the Salinity of Lake Water in Bosten Lake, Northwest China. Water 2022, 14, 4002. https://doi.org/10.3390/w14244002
Zhou H, Chen Y, Ye Z, Li Y, Zhu C. River–Lake System Connectivity Effectively Reduced the Salinity of Lake Water in Bosten Lake, Northwest China. Water. 2022; 14(24):4002. https://doi.org/10.3390/w14244002
Chicago/Turabian StyleZhou, Honghua, Yaning Chen, Zhaoxia Ye, Yupeng Li, and Chenggang Zhu. 2022. "River–Lake System Connectivity Effectively Reduced the Salinity of Lake Water in Bosten Lake, Northwest China" Water 14, no. 24: 4002. https://doi.org/10.3390/w14244002
APA StyleZhou, H., Chen, Y., Ye, Z., Li, Y., & Zhu, C. (2022). River–Lake System Connectivity Effectively Reduced the Salinity of Lake Water in Bosten Lake, Northwest China. Water, 14(24), 4002. https://doi.org/10.3390/w14244002

