Evaluation of Potential Seawater Intrusion in the Coastal Aquifers System of Benin and Effect of Countermeasures Considering Future Sea Level Rise
Abstract
1. Introduction
2. Materials and Methods
2.1. Study Area
2.2. Model Configuration
2.2.1. Conceptual Model
2.2.2. Hydrogeologic Parameters and Observation Wells
2.2.3. Boundary and Initial Conditions
2.3. Model Calibration
2.4. Impact of SLR and Pumping Rate Increase in 2050
3. Results
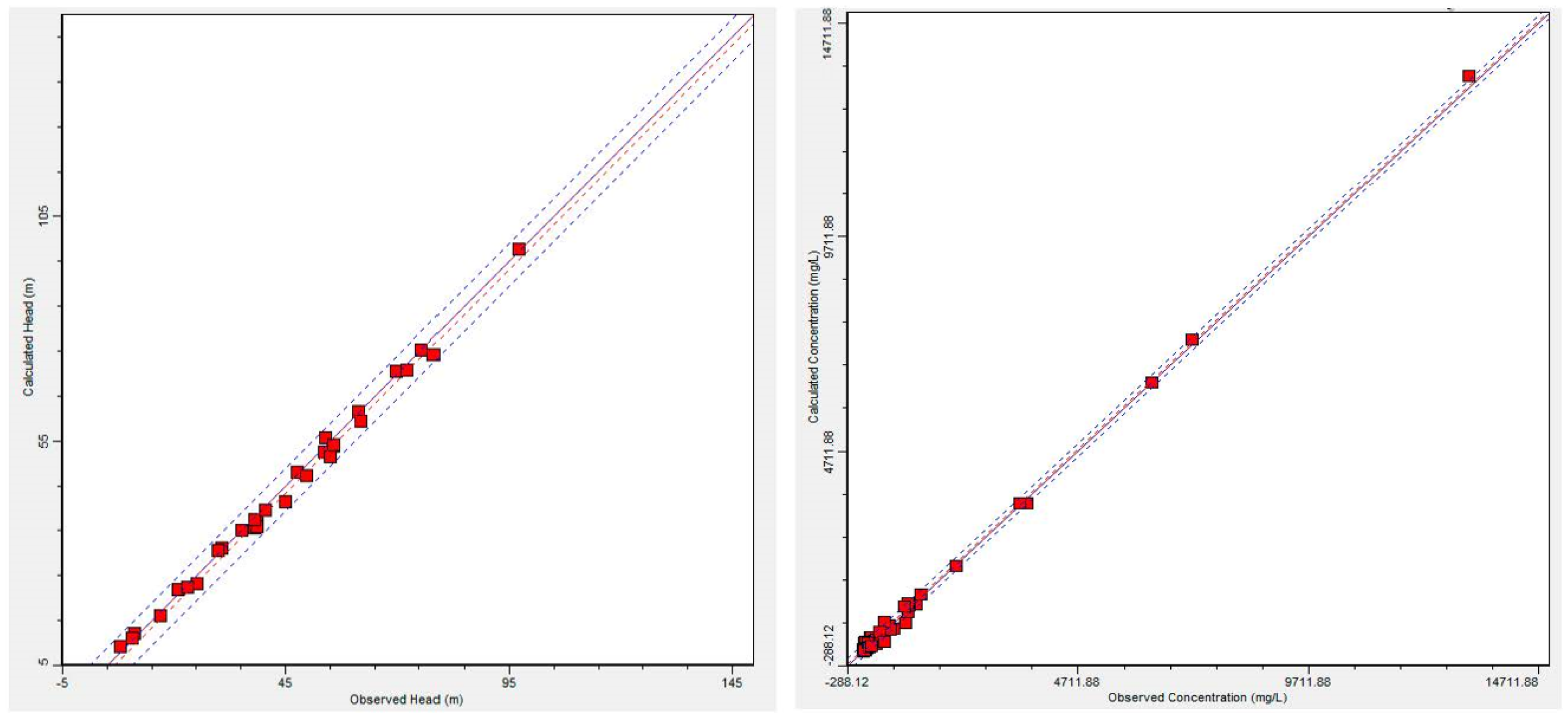
3.1. Model Calibration
3.2. Zone Budget
3.3. Parameter Sensitivity Analysis
3.4. Fresh Groundwater–Saltwater Interface (SHARP Interface)
3.5. Impact of SLR and Pumping Rate Increase in 2050
3.6. Effect of Countermeasures
4. Discussion
5. Discussion and Conclusions
Author Contributions
Funding
Institutional Review Board Statement
Informed Consent Statement
Data Availability Statement
Acknowledgments
Conflicts of Interest
References
- Werner, A.D. Simmons CT Impact of sea-level rise on seawater intrusion in coastal aquifers. Ground Water 2009, 47, 197–204. [Google Scholar] [CrossRef] [PubMed]
- Antonellini, M.; Mollema, P.; Giambastiani, B.; Bishop, K.; Caruso, L.; Minchio, A.; Pellegrini, L.; Sabia, M.; Ulazzi, E.; Gabbianelli, G. Saltwater intrusion in the coastal aquifer of the southern Po Plain, Italy. Hydrogeol. J. 2008, 16, 1541–1556. [Google Scholar] [CrossRef]
- Alfarrah, N.; Walraevens, K. Groundwater Overexploitation and Seawater Intrusion in Coastal Areas of Arid and Semi-Arid Regions. Water 2018, 10, 143. [Google Scholar] [CrossRef]
- Kouzana, L.; Benassi, R.; Ben Mammou, A.; Sfar Felfoul, M. Geophysical and hydrochemical study of the seawater intrusion in Mediterranean semi-arid zones. Case of the Korba coastal aquifer (Cap-Bon, Tuni-sia). J. Afr. Earth Sci. 2010, 58, 242–254. [Google Scholar] [CrossRef]
- Goldman, M.; Gilad, D.; Ronen, A.; Melloul, A. Mapping of seawater intrusion into the coastal aquifer of Israel by the time domain electromagnetic method. Geoexploration 1991, 28, 153–174. [Google Scholar] [CrossRef]
- Torres-Martinez, J.A.; Mora, A.; Ramos-Leal, J.A. Constraining a density-dependent flow model with the transient electromagnetic method in a coastal aquifer in Mexico to assess seawater intrusion. Hydrogeol. J. 2019, 27, 2955–2972. [Google Scholar] [CrossRef]
- Qahman, K.; Larabi, A. Evaluation and numerical modeling of seawater intrusion in the Gaza aquifer (Pal-estine). Hydrogeol. J. 2006, 14, 713–728. [Google Scholar] [CrossRef]
- Saadeh, M. Seawater Intrusion in Greater Beirut, Lebanon. In Climatic Changes and Water Resources in the Middle East and North Africa; Environmental Science and Engineering; Springer: Berlin, Germany, 2008. [Google Scholar]
- Barlow, P.; Reichard, E. Saltwater intrusion in coastal regions of North America. Hydrogeol. J. 2010, 18, 247–260. [Google Scholar] [CrossRef]
- Chang, S.W.; Chung, I.-M.; Kim, M.-G.; Tolera, M.; Koh, G.-W. Application of GALDIT in Assessing the Sea-waterIntrusion Vulnerability of Jeju Island, South Korea. Water 2019, 11, 1824. [Google Scholar] [CrossRef]
- Krystel, M.R.D. The vulnerability to climate change of Cotonou (Benin): The rise in sea level. Environ. Urban. 2007, 19, 65–79. [Google Scholar] [CrossRef]
- Hu, B.X.; Cao, Y.; Zhao, W.; Bao, F. Identification of hydraulic conductivity distributions in density dependent flow fields of submarine groundwater discharge modeling using adjoint-state sensitivities. Sci. China Earth Sci. 2016, 59, 770–779. [Google Scholar] [CrossRef]
- Chang, Y.; Hu, B.X.; Xu, Z.; Li, X.; Tong, J.; Chen, L.; Zhang, H.; Miao, J.; Liu, H.; Ma, Z. Numerical simulation of sea-water intrusion to coastal aquifers and brine water/freshwater interaction in south coast of Laizhou Bay, China. J. Contam. Hydrol. 2018, 215, 1–10. [Google Scholar] [CrossRef] [PubMed]
- Priyanka, B.N.; Maheshab, A. Parametric studies on saltwater intrusion into coastal aquifers for anticipate sea level rise. Aquat. Procedia 2015, 4, 103–108. [Google Scholar] [CrossRef]
- Rajabi, M.M.; Ataie-Ashtiani, B.; Simmons, C.T. Polynomial chaos expansions for uncertainty propagation and moment independent sensitivity analysis of seawater intrusion simulations. J. Hydrol. 2015, 520, 101–122. [Google Scholar] [CrossRef]
- Langevin, C.D.; Shoemaker, W.B.; Guo, W. MODFLOW-2000, the U.S. Geological Survey Modular Ground-Water Model: Documentation of the SEAWAT-2000 Version with Variable Density Flow Process (VDF) and the Integrated MT3DMS Transport Process (IMT); Open File Report 2003-426; U.S. Geological Survey: Reston, VA, USA, 2003. [CrossRef]
- Dunlop, G.; Palanichamy, J.; Kokkat, A.; James, E.J.; Palani, S. Simulation of saltwater intrusion into coastal aquifer of Nagapattinam in the lower cauvery basin using SEAWAT. Groundw. Sustain. Dev. 2019, 8, 294–301. [Google Scholar] [CrossRef]
- Mastrocicco, M.; Busico, G.; Colombani, N.; Vigliotti, M.; Ruberti, D. Modeling actual and future seawater intrusion in the Variconi coastal wetland (Italy) due to climate and landscape changes. Water 2019, 11, 1502. [Google Scholar] [CrossRef]
- Diersch, H.J.G. Feflow Finite Element Subsurface Flow and Transport Simulation System-Reference Manual; Uer’s Manual, White Papers-Release 5.3; DHI-WASY: Berlin, Germany, 2006. [Google Scholar]
- Voss, C.I.; Provost, A.M. SUTRA, a Model for Saturated–Unsaturated Variable Density Ground-Water Flow with Energy or Solute Transport; U.S. Geological Survey: Reston, VA, USA, 2002; Volume 2, p. 4231.
- ELHamidi, M.J.; Larabi, A.; Faouzi, M. Numerical Modeling of Saltwater Intrusion in the Rmel-Oulad Og-bane Coastal Aquifer (Larache, Morocco) in the Climate Change and Sea-Level Rise Context (2040). Water 2021, 13, 2167. [Google Scholar] [CrossRef]
- Ranjbar, A.; Cherubini, C.; Saber, A. Investigation of transient sea level rise impacts on water quality of unconfined shallow coastal aquifers. Int. J. Environ. Sci. Technol. 2020, 17, 2607–2622. [Google Scholar] [CrossRef]
- Tiruneh, N.D.; Motz, L.H. Three Dimensional Modeling of Saltwater Intrusion Coupled with the Impact of Climate Change and Pumping. In Proceedings of the World Water and Environmental Resources Congress, Philadelphia, PA, USA, 23–26 June 2003; pp. 1–9. [Google Scholar]
- Ferguson, G.; Gleeson, T. Vulnerability of coastal aquifers to groundwater use and climate change. Nat. Clim. Chang. 2012, 2, 342. [Google Scholar] [CrossRef]
- Solomon, S.; Qin, D.; Manning, M.; Averyt, K.; Marquis, M. Climate Change 2007: The Physical Science Basis: Working Group I Contribution to the Fourth Assessment Report of the IPCC; Cambridge University Press: Cambridge, UK, 2007. [Google Scholar]
- Sefelnasr, A.; Sherif, M. Impacts of seawater rise on seawater intrusion in the Nile Delta aquifer, Egypt. Groundwater 2014, 52, 264–276. [Google Scholar] [CrossRef]
- Rasmussen, P.; Sonnenborg, T.; Goncear, G.; Hinsby, K. Assessing impacts of climate change, sea level rise, and drainage canals on saltwater intrusion to coastal aquifer. Hydrol. Earth Syst. Sci. 2013, 17, 421–443. [Google Scholar] [CrossRef]
- Uddameri, V.; Singaraju, S.; Hernandez, E.A. Impacts of sea-level rise and urbanization on groundwater availability and sustainability of coastal communities in semi-arid South Texas. Environ. Earth Sci. 2014, 71, 2503–2515. [Google Scholar] [CrossRef]
- Dibaj, M.; Javadi, A.A.; Akrami, M. Modelling seawater intrusion in the Pingtung coastal aquifer in Taiwan, under the influence of sea-level rise and changing abstraction regime. Hydrogeol. J. 2020, 28, 2085–2103. [Google Scholar] [CrossRef]
- Sognon, L.M.; Yalo, N.; Lawson, F.A.; Alle, C. Geophysical characterization of salted bevel of the continental terminal aquifer at the southwestern edge of lake Nokoué in Benin. Larhyss J. 2018, 34, 69–95. [Google Scholar]
- Hounsinou, S.P. Assessment of potential seawater intrusion in a coastal aquifer system at Abomey—Ca-lavi Benin. Heliyon 2020, 6, e03173. [Google Scholar] [CrossRef]
- Datta, B.; Vennalakanti, H.; Dhar, A. Modeling and control of saltwater intrusion in a coastal aquifer of Andhra Pradesh, India. J. Hydrol. Environ. Res. 2009, 3, 148–159. [Google Scholar] [CrossRef]
- Abd-Elhamid, H.F.; Javadi, A.A. A Cost-Effective Method to Control Seawater Intrusion in Coastal Aquifers. Water Resour. Manag. 2011, 25, 2755–2780. [Google Scholar] [CrossRef]
- Yang, Y.; Song, J.; Simmons, C.T.; Ataie-Ashtiani, B.; Wu, J.; Wang, J.; Wu, J. A conjunctive management framework for the optimal design of pumping and injection strategies to mitigate seawater intrusion. J. Environ. Manag. 2021, 282, 111964. [Google Scholar] [CrossRef]
- Hussain, M.S.; Javadi, A.A.; Sherif, M.M. Three Dimensional Simulation of Seawater Intrusion in a Regional Coastal Aquifer in UAE. Procedia Eng. 2015, 119, 1153–1160. [Google Scholar] [CrossRef]
- Rejani, R.; Jha, M.K.; Panda, S.N.; Mull, R. Simulation Modeling for Efficient Groundwater Management in Balasore Coastal Basin, India. Water Resour. Manag. 2007, 22, 23–50. [Google Scholar] [CrossRef]
- Boukari, M.; Alassane, A. Les ressources en eaux souterraines du bassin sédimentaire côtier de la Répu-blique du Bénin. Afr. Geosci. Rev. 2007, 14, 283–301. [Google Scholar]
- Alassane, A.; Dovonon, L.F.; Trabelsi, R.; Boukar, M.; Zouari, K.; Odeloui, D.J.; Mama, D. Chemical evolu-tion of the continental terminal shallow aquifer in the south of coastal sedimentary basin of Benin (West- Africa) using multivariate factor analysis. J. Water Resour. Prot. 2015, 7, 496–515. [Google Scholar] [CrossRef]
- Kumar, C.P. Estimation of Natural Ground Water Recharge. ISH J. Hydraul. Eng. 1977, 3, 61–74. [Google Scholar] [CrossRef]
- Gomaa, M.A.; Mohallel, S.A.; Elsheikh, A.E. Estimation of Recharge Quantity of the Fractured Basement Aquifer in the Southern Portion of Eastern Desert, Egypt; Critical Importance of the Hydrological and Chemical Criteria. Middle East J. Appl. Sci. 2016, 6, 759–773. [Google Scholar]
- Ezz, H.; Gomaah, M.; Abdelwares, M. Watershed Delineation and Estimation of Groundwater Recharge for Ras Gharib Region, Egypt. J. Geosci. Environ. Prot. 2019, 7, 202–213. [Google Scholar] [CrossRef]
- Caletka, M.; Šulc, M.M.; Karásek, P.; Fučík, P. Improvement of SCS-CN initial abstraction coefficient in the Czech Republic: A study of five catchment. Water 2020, 12, 1964. [Google Scholar] [CrossRef]
- International Panel on Climate Change (IPCC). AR5 Synthesis Report: Climate Change; IPCC: Geneva, Switzerland, 2007. [Google Scholar]
- Boukari, M.; Viaene, P.; Azonsi, F. Three-dimensional modeling of a coastal sedimentary basin of south-ern Benin (West Africa). In Applied Groundwater Studies in Africa; IAH Selected Papers Volume 13; Ad-elana, S., MacDonald, A., Eds.; CRC Press: New York, NY, USA, 2008; Chapter 26; pp. 437–456. [Google Scholar]
- Essaid, H.I. The Computer Model SHARP, A Quasi-Three-Dimensional Finite-Difference Model to Simulate Freshwater and Saltwater Flow in Layered Coastal Aquifer Systems; Water-Resources Investigations Report 90-4130; U.S. Geological Survey: Reston, VA, USA, 1990; 181p.
- Guttman, J.; Negev, I.; Rubin, G. Design and Testing of Recharge Wells in a Coastal Aquifer: Summary of Field Scale Pilot Tests. Water 2017, 9, 53. [Google Scholar] [CrossRef]
- Agossou, A.; Yang, J. Comparative study of groundwater vulnerability to contamination assessment meth-ods applied to the southern coastal sedimentary basin of Benin. J. Hydrol. Reg. Stud. 2021, 35, 100803. [Google Scholar] [CrossRef]
- IRB. Etude de Cartographie Géologique et Prospection Minérale de Reconnaissance au Sud du 9ème Paral-Lèle. Report; Istituto Recerche Breda, FED-OBEMINES: Milano, Italy, 1987. [Google Scholar]
- Géohydraulique. Notice Explicative de la Carte Hydrogéologique á L’échelle 1/200 000 du Bassin Sédi-mentaire Côtier du Benin Report; Direction Générale de l’Hydraulique: Cotonou, Benin, 1985; 23p. [Google Scholar]
- EIES/PGES. Projet de renforcement du systeme d’alimentation en eau potable de Cotonou et de ses agglomérations—Phase III. In Rapport d’EIES/PGES validé par ABE—Volume I; SONEB: Cotonou, Benin, 2017. [Google Scholar]
- Bouwer, H. Artificial recharge of groundwater: Hydrogeology and engineering. Hydrogeol. J. 2002, 10, 121–142. [Google Scholar] [CrossRef]
- Yang, J.S.; Lee, J.B.; Kim, I.l.H. Analysis of the effects of the seawater intrusion countermeasures considering future SLR in Yeosu region using SEAWAT. J. Korea Water Resour. Assoc. 2018, 51, 515–521. [Google Scholar]
- Kambiri, S.C. An Investigation of Decreasing Groundwater Levels in Hand-Dug Wells in Ouédo, Southern Benin. The Fate of Shallow Groundwater Resources in a Fast-Growing Suburban Area. Master’s Thesis, IHE Delft Institute for Water Education, Igrac, France, 2018. [Google Scholar]
- Angelo, F.K. Impact du Changement Climatique sur L’approvisionnement en eau Potable des Populations: Cas de la Commune de Kpomasse en Republic de Benin; Projet de Travail Personnel 2010–2011; Mairie de Kpomasse: Segbohoué, Bénin, 2011. [Google Scholar]
- Amoussou, E.; Camberlin, P.; Mahé, G. Impact de la variabilité climatique et du barrage Nangbéto sur l’hydrologie du système Mono- Couffo (Afrique de l’Ouest) l’hydrologie du système Mono-Couffo (Afrique de l’Ouest). Hydrol. Sci. J. 2016, 57, 37–41. [Google Scholar]
- Yang, J.-S.; Jeong, Y.-W.; Agossou, A.; Sohn, J.-S.; Lee, J.-B. GALDIT Modification for Seasonal Seawater Intrusion Mapping Using Multi Criteria Decision Making Methods. Water 2022, 14, 2258. [Google Scholar] [CrossRef]
- Ministère de l’Environnement de l’Habitat et de l’Urbanisme (MEHU). Deuxième Communication National sur les Changements Climatiques; Ministère de l’Environnement de l’Habitat et de l’Urbanisme (MEHU): Cotonou, Benin, 2011. [Google Scholar]
- Batablinlè, L.E.; Agnidé, K.D.; Japhet, A.; Ernest, V.E. Future changes in precipitation, evapotranspiration and streamflows in the Mono Basin of West Africa. Proc. IAHS 2021, 384, 283–288. [Google Scholar] [CrossRef]
- Abd-Elhamid, H.F.; Abd-Elaty, I.; Hussain, M.S. Mitigation of seawater intrusion in coastal aquifers using coastal earth fill considering future sea level rise. Environ. Sci. Pollut. Res. 2020, 27, 23234–23245. [Google Scholar] [CrossRef] [PubMed]
- Abd-Elhamid, H.; Abd-Elaty, I. Application of A new Methodology (TRAD) to Control Sea-water Intrusion in the Nile Delta Aquifer, Egypt. In Proceedings of the Solutions to Water Challenges in MENA Region Proceedings of the Regional Workshop, Cairo, Egypt, 25–30 April 2017. [Google Scholar]
- K-water. Research Planning for the Key Technology Development of Riverbank Filtration in Korea; K-Water: Daejeon, Korea, 2016; 162p. (In Korean) [Google Scholar]








| Parameter | Initial Value | Optimized Value |
|---|---|---|
| Hydraulic conductivity | 2 × 10−5–7 × 10−3 m/s | 2 × 10−6–4 × 10−3 m/s |
| Specific storage | 2 × 10−4–9 × 10−4 | 5 × 10−6–3 × 10−4 |
| Specific yield | 0.21 | 0.33 |
| Inland SWI Area in km2 | |||
|---|---|---|---|
| Groundwater Pumping Increase | SLR | SLR + Groundwater Pumping Increase | |
| 2015 | 20.03 | ||
| 2020 | 21.95 | ||
| 2050 | 41.61 | 43.15 | 57.48 |
| SWI Area (km2) | |||
|---|---|---|---|
| Artificial recharge well | SLR + Groundwater Pumping Increase | ||
| Storage | SWI Area (km2) in 2050 Without Countermeasures | SWI Area (km2) in 2050 Countermeasures Applied | |
| 200 m3/d | 57.48 | 57.48 | |
| 400 m3/d | |||
| 600 m3/d | |||
| 800 m3/d | |||
| 1000 m3/d | 57.47 | ||
| 2000 m3/d | 57.45 | ||
| Pond | 250,000 m3 | 53.28 | |
| Pond + Artificial recharge well | 250,000 m3 + 2000 m3/d | 53.24 | |
Publisher’s Note: MDPI stays neutral with regard to jurisdictional claims in published maps and institutional affiliations. |
© 2022 by the authors. Licensee MDPI, Basel, Switzerland. This article is an open access article distributed under the terms and conditions of the Creative Commons Attribution (CC BY) license (https://creativecommons.org/licenses/by/4.0/).
Share and Cite
Agossou, A.; Yang, J.-S.; Lee, J.-B. Evaluation of Potential Seawater Intrusion in the Coastal Aquifers System of Benin and Effect of Countermeasures Considering Future Sea Level Rise. Water 2022, 14, 4001. https://doi.org/10.3390/w14244001
Agossou A, Yang J-S, Lee J-B. Evaluation of Potential Seawater Intrusion in the Coastal Aquifers System of Benin and Effect of Countermeasures Considering Future Sea Level Rise. Water. 2022; 14(24):4001. https://doi.org/10.3390/w14244001
Chicago/Turabian StyleAgossou, Amos, Jeong-Seok Yang, and Jae-Boem Lee. 2022. "Evaluation of Potential Seawater Intrusion in the Coastal Aquifers System of Benin and Effect of Countermeasures Considering Future Sea Level Rise" Water 14, no. 24: 4001. https://doi.org/10.3390/w14244001
APA StyleAgossou, A., Yang, J.-S., & Lee, J.-B. (2022). Evaluation of Potential Seawater Intrusion in the Coastal Aquifers System of Benin and Effect of Countermeasures Considering Future Sea Level Rise. Water, 14(24), 4001. https://doi.org/10.3390/w14244001

