Simulation Study on the Effect of Non-Point Source Pollution on Water Quality in the Upper Reaches of the Lijiang River
Abstract
1. Introduction
2. Materials and Methods
2.1. Overview of the Study Area
2.2. Pollutant Transport Calculation Unit and Node Division
2.3. Establishment of Water Quantity–Water Quality Balance Model
2.3.1. Equilibrium Equation for Water Quantity
2.3.2. Equation for Pollutant Flux Calculation
2.3.3. Modified One-Dimensional Steady-State Model
2.3.4. Water Quantity–Water Quality Balance Model
2.4. Source and Calculation of Model Parameters
2.4.1. Concentration and Discharge of Pollutants in Main Stream and Tributaries
- Pollutant concentration
- Water flow data collection and calculation
- 1.
- Flow data collection
- 2.
- Flow calculation
2.4.2. River Leakage and Pollutant Concentration
2.4.3. Base Value of Runoff Recharge and Pollution Concentration
2.4.4. Point and Non-Point Source Pollution Loads into the River
3. Results and Analysis
3.1. Model Verification
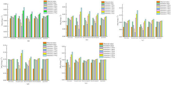
3.2. Scenario Simulation
4. Discussion and Conclusions
- The error in representing the monthly average by substituting it with the daily monitoring value during the actual monitoring of water quality;
- The error in the allocation of total pollutant emission statistics to individual months;
- The error caused by the linear distribution of the total discharge of non-point source pollutants to the periods of wet, normal, and dry water;
- The error caused by the model’s insufficient consideration of pollutant transport and transformation mechanisms in rivers.
Author Contributions
Funding
Data Availability Statement
Acknowledgments
Conflicts of Interest
References
- Ongley, E.D.; Zhang, X.L.; Yu, T. Current status of agricultural and rural non-point source pollution assessment in China. Environ. Pollut. 2010, 158, 1159–1168. [Google Scholar] [CrossRef] [PubMed]
- Yi, X.S.; Lin, D.X.; Li, J.H.; Zeng, J.; Wang, D.X.; Yang, F. Ecological treatment technology for agricultural non-point source pollution in remote rural areas of China. Environ. Sci. Pollut. Res. 2021, 28, 40075–40087. [Google Scholar] [CrossRef] [PubMed]
- Xue, L.H.; Hou, P.F.; Zhang, Z.Y.; Shen, M.X.; Liu, F.X.; Yang, L.Z. Application of systematic strategy for agricultural non-point source pollution control in Yangtze River basin, China. Agric. Ecosyst. Environ. 2020, 304, 107148. [Google Scholar] [CrossRef]
- Li, C.H.; Wang, Y.K.; Ye, C.; Wei, W.W.; Zheng, B.H.; Xu, B. A proposed delineation method for lake buffer zones in watersheds dominated by non-point source pollution. Sci. Total Environ. 2019, 660, 32–39. [Google Scholar] [CrossRef]
- Wang, H.L.; He, P.; Shen, C.Y.; Wu, Z.N. Effect of irrigation amount and fertilization on agriculture non-point source pollution in the paddy field. Environ. Sci. Pollut. Res. 2019, 26, 10363–10373. [Google Scholar] [CrossRef]
- Zhang, T.; Yang, Y.H.; Ni, J.P.; Xie, D.T. Adoption behavior of cleaner production techniques to control agricultural non-point source pollution: A case study in the Three Gorges Reservoir Area. J. Clean. Prod. 2019, 223, 897–906. [Google Scholar] [CrossRef]
- He, X.; Shahab, A.; Xi, B.D.; Chang, Q.X.; You, S.H.; Li, J.Y.; Sun, X.J.; Huang, H.W.; Li, X.K. Heavy metal pollution, ecological risk, spatial distribution, and source identification in sediments of the Lijiang River, China. Environ. Pollut. 2021, 269, 116189. [Google Scholar]
- Dai, J.F.; Quan, Q.H.; Fang, R.J.; Zeng, H.H.; Zhang, H.Y.; Xu, Q.X.; Yang, L.C. Estimation of non-point source pollution load in upstream of Lijiang River. Adv. Sci. Technol. Water Resour. 2017, 37, 57–63. (In Chinese) [Google Scholar]
- Zhu, D.T.; Cheng, X.J.; Li, W.H.; Niu, F.J.; Wen, J.H. Temporal and Spatial Variation Characteristics of Water Quality in the Middle and Lower Reaches of the Lijiang River, China and Their Responses to Environmental Factors. Int. J. Environ. Res. Public Health 2022, 19, 8089. [Google Scholar] [CrossRef]
- Xiao, Y.T.; Yao, J.; Shen, S.; Fan, M. Temporal and spatial Evolution of Non-point source pollution load of Total Nitrogen in Tuojiang River Basin. Environ. Sci. 2021, 42, 3773–3784. (In Chinese) [Google Scholar]
- Tahmasebi, N.M.; Grimm, K.; Bazrkar, M.H.; Zeng, L.; Shabani, A.; Zhang, X.D.; Chu, X.F. SWAT modeling of non-point source pollution in depression-dominated basins under varying hydroclimatic conditions. Int. J. Environ. Res. Public Health 2018, 15, 2492. [Google Scholar] [CrossRef]
- Wang, Q.R.; Liu, R.M.; Men, C.; Guo, L.J. Application of genetic algorithm to land use optimization for non-point source pollution control based on CLUE-S and SWAT. J. Hydrol. 2018, 560, 86–96. [Google Scholar] [CrossRef]
- Shen, Z.Y.; Qiu, J.L.; Hong, Q.; Chen, L. Simulation of spatial and temporal distributions of non-point source pollution load in the Three Gorges Reservoir Region. Sci. Total Environ. 2014, 493, 138–146. [Google Scholar] [CrossRef]
- Geng, R.Z.; Sharpley, A.N. A novel spatial optimization model for achieve the trad-offs placement of best management practices for agricultural non-point source pollution control at multi-spatial scales. J. Clean. Prod. 2019, 234, 1023–1032. [Google Scholar] [CrossRef]
- Wang, H.L.; Wu, Z.N.; Hu, C.H.; Du, X.Z. Water and nonpoint source pollution estimation in the watershed with limited data availability based on hydrological simulation and regression model. Environ. Sci. Pollut. Res. 2015, 22, 14095–14103. [Google Scholar]
- Jiang, Y.; Liu, C.M.; Hao, S.N.; Zhao, H.T.; Li, X.Y. A framework to develop a watershed pollution load model for semiarid and semihumid areas. J. Hydrol. 2019, 579, 124179. [Google Scholar] [CrossRef]
- Wang, W.Z.; Chen, L.; Shen, Z.Y. Dynamic export coefficient model for evaluating the effects of environmental changes on non-point source pollution. Sci. Total Environ. 2020, 747, 141164. [Google Scholar] [CrossRef]
- Zhou, G.; Hei, P.F.; Lei, K.; Fu, G.; Qiao, F. Numerical modeling of the relationship between pollution loads and water quality in lower reach of Ganjiang River. Adv. Water Sci. 2013, 24, 883–893. (In Chinese) [Google Scholar]
- Yakubu, M.L.; Yusop, Z. Adaptability of rainfall simulators as a research tool on urban sealed surfaces—A review. Hydrol. Sci. J. 2017, 62, 996–1012. [Google Scholar] [CrossRef]
- Cheng, X.; Chen, L.D.; Sun, R.H. Modeling the non-point source pollution risks by combing pollutant sources, precipitation, and landscape structure. Environ. Sci. Pollut. Res. 2019, 26, 11856–11863. [Google Scholar] [CrossRef]
- Ustaoğlu, F.; Tepe, Y.; Taş, B. Assessment of stream quality and health risk in a subtropical Turkey river system: A combined approach using statistical analysis and water quality index. Ecol. Indic. 2020, 113, 105815. [Google Scholar] [CrossRef]
- Chen, Y.Y.; Song, L.H.; Liu, Y.Q.; Yang, L.; Li, D.L. A review of the artificial neural network models for water quality prediction. Appl. Sci. 2020, 10, 5776. [Google Scholar] [CrossRef]
- Kadam, A.K.; Wagh, V.M.; Muley, A.A.; Umrikar, B.N.; Sankhua, R.N. Prediction of water quality index using artificial neural network and multiple linear regression modelling approach in Shivganga River basin, India. Modeling Earth Syst. Environ. 2019, 5, 951–962. [Google Scholar] [CrossRef]
- García-Alba, J.; Bárcena, J.F.; Ugarteburu, C.; García, A. Artificial neural networks as emulators of process-based models to analyse bathing water quality in estuaries. Water Res. 2019, 150, 283–295. [Google Scholar] [CrossRef] [PubMed]
- Ji, H.; Peng, D.; Fan, C.; Zhao, K.; Gu, Y.; Liang, Y. Assessing effects of non-point source pollution emission control schemes on Beijing’s sub-center with a water environment model. Urban Clim. 2022, 43, 101148. [Google Scholar] [CrossRef]
- Cai, D.S.; Ma, Z.L. Main Ecological Problems in Lijiang River Watershed. J. Guangxi Norm. Univ. (Nat. Sci. Ed.) 2008, 26, 110–112. (In Chinese) [Google Scholar]
- Li, W.; Huang, H.L.; Yan, J.L.; Li, Y.B. Investigation on Water Pollution of Nanxi River of Guilin City Based on 3S Technology. Environ. Monit. China 2012, 28, 141–148. (In Chinese) [Google Scholar]
- HJ/T 91-2002; Technical Specification for Surface Water and Sewage Monitoring. China Environmental Protection Bureau: Beijing, China; China Environmental Science Press: Beijing, China, 2003. (In Chinese)
- National Environmental Protection Bureau Book Editorial Board. Methods for Monitoring and Analysis of Water and Wastewater, 4th ed.; China Environmental Science Press: Beijing, China, 1989; pp. 210–255. (In Chinese) [Google Scholar]
- Bulletin of the Second National Pollution Source Survey. Environ. Prot. 2020, 48, 8–10. (In Chinese)
- Zhang, G.H.; Nie, Z.L.; Liu, S.Y.; Chen, Z.Y.; Zhang, C.Y.; Shen, J.M.; Wang, J.Z.; Cheng, X.X.; Zhang, H.S. Characteristic and variation of groundwater recharge resources in the middle reaches of Heihe River basin. Adv. Water Sci. 2005, 16, 673–678. (In Chinese) [Google Scholar]
- McMahon, T.A.; Peel, M.C. Uncertainty in stage–discharge rating curves: Application to Australian Hydrologic Reference Stations data. Hydrol. Sci. J. 2019, 64, 255–275. [Google Scholar] [CrossRef]
- Yuan, D.Z.; Li, Y.; Chen, L. Research on flow calculation of provincial border cross-sections in un-gauged area. Yangtze River 2015, 46, 32–35. (In Chinese) [Google Scholar]
- Wang, T.H.; Zhang, Z.; Zhang, Z.; Chen, S.W.; Chen, L. Research on the Calculation Method of the Flow of Water Supply Guarantee Rate in Small Southwest Mountainous Area. China Rural. Water Hydropower 2014, 10, 92–95. (In Chinese) [Google Scholar]
- Li, X.J.; Liu, S.G.; Liang, M.Y.; Cai, Y.; Gu, S.; Chen, L.M.; Su, S.H.; Jiang, L.X.; Chen, L.G.; Wu, Q.F.; et al. Innovation and Application of Key Technology for Water Quality and Water Safety of Lijiang River. In Proceedings of the Guangxi Science and Technology Progress Award, Nanning, China, 4 April 2018. (In Chinese). [Google Scholar]
- Dai, J.F.; Han, P.L.; Zheng, Y.L.; Fang, R.J. Analysis and Characteristics of Inflow Runoff Components in Reservoir Catchment. J. Guilin Univ. Technol. 2013, 33, 438–442. (In Chinese) [Google Scholar]
- Xu, J.X.; Dai, J.F. Trend Test on Water Quality in the Upper Reaches of Lijiang River in Recent Years. Pearl River 2018, 39, 6–10. (In Chinese) [Google Scholar]
- Zhou, Y.L. Real-time probabilistic forecasting of river water quality under data missing situation: Deep learning plus post-processing techniques. J. Hydrol. 2020, 589, 125164. [Google Scholar] [CrossRef]
- Lin, F.; Chen, X.W.; Yao, H.X. Evaluating the use of Nash-Sutcliffe efficiency coefficient in goodness-of-fit measures for daily runoff simulation with SWAT. J. Hydrol. Eng. 2017, 22, 05017023. [Google Scholar] [CrossRef]
- Moriasi, D.N.; Arnold, J.G.; Van Liew, M.W.; Bingner, R.L.; Harmel, R.D.; Veith, T.L. Model evaluation guidelines for systematic quantification of accuracy in watershed simulations. Trans. ASABE 2007, 50, 885–900. [Google Scholar] [CrossRef]
- Donigian, A.S.; Imhoff, J.C.; Bicknell, B.R. Predicting water quality resulting from agricultural nonpoint source pollution via simulation-HSPF. In Agricultural Management and Water Quality; Iowa State University Press: Ames, IA, USA, 1983. [Google Scholar]
- Ramanarayanan, T.S.; Williams, J.R.; Dugas, W.A.; Hauck, L.M.; McFarland, A.M.S. Using APEX to Identify Alternative Practices for Animal Waste Management; ASAE: Washington, DC, USA, 1997. [Google Scholar]
- Motovilov, Y.G.; Gottschalk, L.; England, K.; Rodhe, A. Validation of distributed hydrological model against spatial observations. Agric. For. Meteorol. 1999, 98, 257–277. [Google Scholar] [CrossRef]
- Santhi, C.; Arnold, J.G.; Williams, J.R.; Dugas, W.A.; Srinivasan, R.; Hauck, L.M. Validation of the SWAT model on a large river basin with point and nonpoint sources. J. Am. Water Resour. Assoc. 2001, 37, 1169–1188. [Google Scholar] [CrossRef]
- Singh, J.; Knapp, H.V.; Arnold, J.G.; Demissie, M. Hydrological modeling of the Iroquois river watershed using HSPF and SWAT1. JAWRA J. Am. Water Resour. Assoc. 2005, 41, 343–360. [Google Scholar] [CrossRef]
- Singh, S.K.; Pahlow, M.; Booker, D.J.; Shankar, U.; Chamorro, A. Towards baseflow index characterisation at national scale in New Zealand. J. Hydrol. 2019, 568, 646–657. [Google Scholar] [CrossRef]
- Zhu, Y.; Chen, L.; Wang, K.; Wang, W.; Wang, C.; Shen, Z. Evaluating the spatial scaling effect of baseflow and baseflow nonpoint source pollution in a nested watershed. J. Hydrol. 2019, 579, 124221. [Google Scholar] [CrossRef]
- Zhang, H.; Li, H.F.; Yu, H.R.; Chen, S.Q. Water quality assessment and pollution source apportionment using multi-statistic and APCS-MLR modeling techniques in Min River Basin, China. Environ. Sci. Pollut. Res. 2020, 27, 41987–42000. [Google Scholar] [CrossRef] [PubMed]
- Zhang, X.Q.; Chen, P.; Dai, S.N.; Han, Y.H. Analysis of non-point source nitrogen pollution in watersheds based on SWAT model. Ecol. Indic. 2022, 138, 108881. [Google Scholar] [CrossRef]




| Area Unit | Main Stream Node Interval | Interval Distance/km | The Inflow of Major Tributaries |
|---|---|---|---|
| Lingchuan Sub-basin | Dabutou-Sugar Garden | 31.5 | / |
| Gantang River Sub-basin | Sugar Garden -Bedding Face | 1.8 | Gantang River |
| Qixing Sub-basin1, Taohua River Sub-basin2 | Bedding Face -Jiefang Bridge | 9.0 | / |
| Taohua River Sub-basin1, Nanxi River Sub-basin Wayao Sub-basin, Qixing Sub-basin2 | Jiefang Bridge -Jingping Bridge | 6.0 | Taohua River, Nanxi River, Xiaodong River |
| Liangfeng River Sub-basin, Qixing Sub-basin3 Overseas Chinese Farm Sub-basin1 | Jingping Bridge -Gangjian Bridge | 12.3 | Liangfeng River |
| Huajiang River Sub-basin, Chaotian River Sub-basin Overseas Chinese Farm Sub-basin2 | Gangjian Bridge -Mopan Mountain | 6.4 | Hua River, Chaotian River, Jiansha River |
| Node | Method | Node | Method | ||
|---|---|---|---|---|---|
| Main stream | Dabutou | Z–Q curves | Tributary | Gantang river | Hydrologic analogy method |
| Sanjie | Z–Q curves | Taohua river | Z–Q curves | ||
| Gantan pontoon bridge | Hydrologic analogy method, contour map method | Nanxi river | Z–Q curves | ||
| Bedding face | Hydrologic analogy method, contour map method | Xiaodong river | Hydrologic analogy method | ||
| Jiefang bridge | Hydrologic analogy method, contour map method | Liangfeng river | Z–Q curves | ||
| Jingping bridge | Measured data from Guilin hydrologic Station | Huajiang river | Z–Q curves | ||
| Gangjian bridge | hydrologic analogy method, contour map method | Jiansha river | Z–Q curves | ||
| Mopan Mountain | Hydrologic analogy method, contour map method | Chaotian river | Z–Q curves |
| Water Period | Dabutou | Sugar Garden | Leakage | Total Runoff Recharge | Surface Runoff Recharge | Underground Runoff Recharge |
|---|---|---|---|---|---|---|
| Wet season | 104.33 | 183.80 | 4.32 | 83.79 | 67.03 | 16.76 |
| Normal season | 20.75 | 59.17 | 1.20 | 39.63 | 31.70 | 7.93 |
| Dry season | 7.79 | 21.47 | 0.44 | 14.12 | 11.30 | 2.82 |
Publisher’s Note: MDPI stays neutral with regard to jurisdictional claims in published maps and institutional affiliations. |
© 2022 by the authors. Licensee MDPI, Basel, Switzerland. This article is an open access article distributed under the terms and conditions of the Creative Commons Attribution (CC BY) license (https://creativecommons.org/licenses/by/4.0/).
Share and Cite
Li, Z.; Dai, J.; Li, Z.; Liu, Y.; Xu, J.; Zhang, Z.; Xu, B. Simulation Study on the Effect of Non-Point Source Pollution on Water Quality in the Upper Reaches of the Lijiang River. Water 2022, 14, 3995. https://doi.org/10.3390/w14243995
Li Z, Dai J, Li Z, Liu Y, Xu J, Zhang Z, Xu B. Simulation Study on the Effect of Non-Point Source Pollution on Water Quality in the Upper Reaches of the Lijiang River. Water. 2022; 14(24):3995. https://doi.org/10.3390/w14243995
Chicago/Turabian StyleLi, Zitao, Junfeng Dai, Zhangnan Li, Yan Liu, Jingxuan Xu, Zhenyu Zhang, and Baoli Xu. 2022. "Simulation Study on the Effect of Non-Point Source Pollution on Water Quality in the Upper Reaches of the Lijiang River" Water 14, no. 24: 3995. https://doi.org/10.3390/w14243995
APA StyleLi, Z., Dai, J., Li, Z., Liu, Y., Xu, J., Zhang, Z., & Xu, B. (2022). Simulation Study on the Effect of Non-Point Source Pollution on Water Quality in the Upper Reaches of the Lijiang River. Water, 14(24), 3995. https://doi.org/10.3390/w14243995

