Assessment of Cyprinus carpio Scales as a Low-Cost and Effective Biosorbent for the Removal of Heavy Metals from the Acidic Mine Drainage Generated at Rosia Montana Gold Mine (Romania)
Abstract
1. Introduction
2. Materials and Methods
2.1. Acidic Mine Drainage Sample
2.2. Biosorbent Preparation
2.3. Batch Adsorption Experiments and Metal Analysis
2.4. Desorption Experiments
2.5. Fourier Transform Infrared Spectroscopy (FTIR)
2.6. Scanning Electron Microscopy-Energy-Dispersive X-ray Spectroscopy (SEM-EDX)
3. Results and Discussion
3.1. Characterization of AMD Collected from the “Rosia Montana” Gold Mine
3.2. Batch Adsorption Experiments
3.3. SEM-EDX Analysis
3.4. Fourier Transform Infrared Spectroscopy Analysis
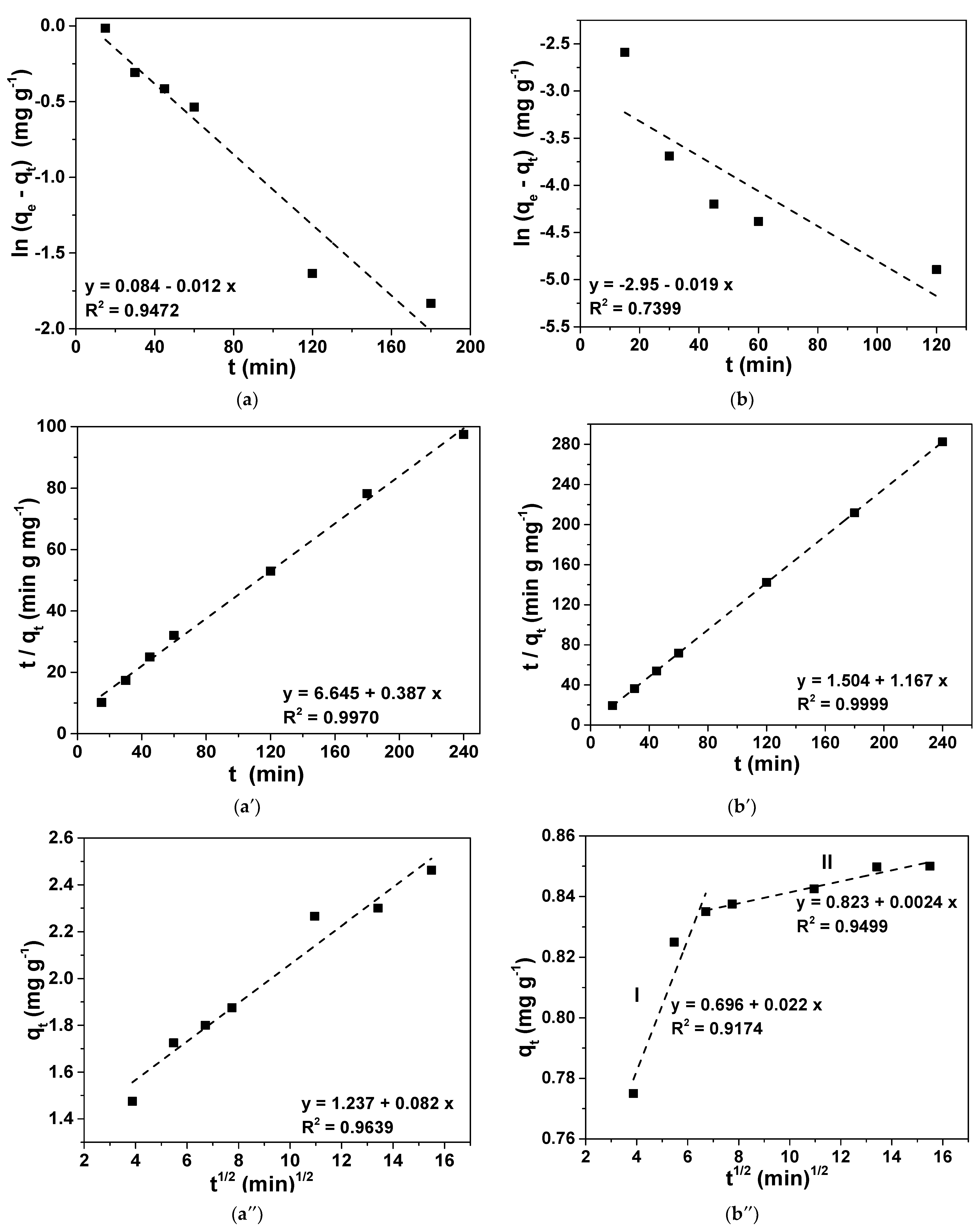
3.5. Adsorption Kinetics Studies
3.6. Desorption and Adsorbent Reusability Tests
4. Conclusions
- Cyprinus carpio scales are able to remove significant concentrations of Fe, Zn, and Mn ions from AMD, and their performances depend on the dosage and particle sizes, solution pH, and contact time. A solid:liquid ratio of 20:1 (g:L) was sufficient to reduce the concentrations of Fe and Zn ions below the threshold limits imposed by legislation, and 100%, 87.1%, and 100% of Fe, Mn, and Zn ions were removed from AMD after 240 min of contact with the powder-sized scales.
- SEM-EDX investigations confirmed the ability of Cyprinus carpio scales to retain heavy metals from an AMD solution.
- FTIR analysis suggested that both phosphate ions from the apatite network and the functional groups from collagen might be involved as potential active sites for the retention of metal ions onto the scales’ surface.
- The adsorption process of metals ions on the scales follows the pseudo-second kinetic model.
- Cyprinus carpio scales present some neutralization capacity of acidic mine drainage related to the leaching of their inorganic phase, which allowed the concomitant iron precipitation.
- In spite of the rather limited capacity of Cyprinus carpio scales to be repeatedly used in the adsorption process, there might be other possibilities to recycle the metals-loaded sorbent (i.e., as a bio-modifier for asphalt binders [96]), which makes it a sustainable material for real AMD remediation.
Author Contributions
Funding
Data Availability Statement
Acknowledgments
Conflicts of Interest
References
- Arvanitoyannis, I.S.; Kassaveti, A. Fish industry waste: Treatments, environmental impacts, current and potential uses. Int. J. Food Sci. Technol. 2008, 43, 726–745. [Google Scholar] [CrossRef]
- Coppola, D.; Lauritano, C.; Esposito, F.P.; Riccio, G.; Rizzo, C.; de Pascale, D. Fish Waste: From Problem to Valuable Resource. Mar. Drugs 2021, 19, 116. [Google Scholar] [CrossRef] [PubMed]
- Zhan, X.; Xiao, L.; Liang, B. Removal of Pb(II) from Acid Mine Drainage with Bentonite-Steel Slag Composite Particles. Sustainability 2019, 11, 4476. [Google Scholar] [CrossRef]
- Masindi, V.; Foteinis, S.; Renforth, P.; Ndiritu, J.; Maree, J.P.; Tekere, M.; Chatzisymeon, E. Challenges and avenues for acid mine drainage treatment, beneficiation, and valorisation in circular economy: A review. Ecol. Eng. 2022, 183, 106740. [Google Scholar] [CrossRef]
- Othman, N.; Abd-Kadir, A.; Zayadi, N. Waste fish scale as cost effective adsorbent in removing zinc and ferum ion in wastewater. ARPN J. Eng. Appl. Sci. 2016, 11, 1584–1592. [Google Scholar]
- Varvara, S.; Popa, M.; Bostan, R.; Damian, G. Preliminary Considerations on the adsorption of heavy metals from acidic mine drainage using natural zeolite. J. Environ. Prot. Ecol. 2013, 14, 1506–1514. [Google Scholar]
- Hanfi, M.Y.; Seleznev, A.A.; Yarmoshenko, I.V.; Malinovsky, G.; Konstantinova, E.Y.; Alsafi, K.G.; Sakr, A.K. Potentially harmful elements in urban surface deposited sediment of Ekaterinburg, Russia: Occurrence, source appointment and risk assessment. Chemosphere 2022, 307, 135898. [Google Scholar] [CrossRef]
- Sephton, M.G.; Webb, J.A. The role of secondary minerals in remediation of acid mine drainage by Portland cement. J. Hazard. Mater. 2019, 367, 267–276. [Google Scholar] [CrossRef]
- Stylianou, M.; Montel, E.; Zissimos, A.; Christoforou, I.; Dermentzis, K.; Agapiou, A. Removal of toxic metals and anions from acid mine drainage (AMD) by electrocoagulation: The case of North Mathiatis open cast mine. Sustain. Chem. Pharm. 2022, 29, 100737. [Google Scholar] [CrossRef]
- Pat-Espadas, A.M.; Portales, R.L.; Amabilis-Sosa, L.E.; Gomez, G.; Vidal, G. Review of Constructed Wetlands for Acid Mine Drainage Treatment. Water 2018, 10, 1685. [Google Scholar] [CrossRef]
- Park, I.; Tabelin, C.B.; Jeon, S.; Li, X.; Seno, K.; Ito, M.; Hiroyoshi, N. A review of recent strategies for acid mine drainage prevention and mine tailings recycling. Chemosphere 2019, 219, 588–606. [Google Scholar] [CrossRef] [PubMed]
- Kabir, M.M.; Akter, M.M.; Khandaker, S.; Gilroyed, B.H.; Didar-ul-Alam, M.; Hakim, M.; Awual, M.R. Highly effective agro-waste based functional green adsorbents for toxic chromium(VI) ion removal from wastewater. J. Mol. Liq. 2022, 347, 118327. [Google Scholar] [CrossRef]
- Ighalo, J.O.; Kurniawan, S.B.; Iwuozor, K.O.; Aniagor, C.O.; Ajala, O.J.; Oba, S.N.; Iwuchukwu, F.U.; Ahmadi, S.; Igwegbe, C.A. A review of treatment technologies for the mitigation of the toxic environmental effects of acid mine drainage (AMD). Process Saf. Environ. Prot. 2022, 157, 37–58. [Google Scholar] [CrossRef]
- Chen, G.; Ye, Y.; Yao, N.; Hu, N.; Zhang, J.; Huang, Y. A critical review of prevention, treatment, reuse, and resource recovery from acid mine drainage. J. Clean. Prod. 2021, 329, 129666. [Google Scholar] [CrossRef]
- Mariana, M.; Khalil, A.H.P.S.; Mistar, E.M.; Yahya, E.B.; Alfatah, T.; Danish, M.; Amayreh, M. Recent advances in activated carbon modification techniques for enhanced heavy metal adsorption. J. Water Process Eng. 2021, 43, 102221. [Google Scholar] [CrossRef]
- Khandaker, S.; Hossain, M.T.; Saha, P.K.; Rayhan, U.; Islam, A.; Choudhury, T.R.; Awual, M.R. Functionalized layered double hydroxides composite bio-adsorbent for efficient copper(II) ion encapsulation from wastewater. J. Environ. Manag. 2021, 300, 113782. [Google Scholar] [CrossRef]
- Awual, M.R. A novel facial composite adsorbent for enhanced copper(II) detection and removal from wastewater. Chem. Eng. J. 2015, 266, 368–375. [Google Scholar] [CrossRef]
- Awual, M.R. A facile composite material for enhanced cadmium(II) ion capturing from wastewater. J. Environ. Chem. Eng. 2019, 7, 103378. [Google Scholar] [CrossRef]
- Awual, M.R. Innovative composite material for efficient and highly selective Pb(II) ion capturing from wastewater. J. Mol. Liq. 2019, 284, 502–510. [Google Scholar] [CrossRef]
- Weshahy, A.R.; Sakr, A.K.; Gouda, A.A.; Atia, B.M.; Somaily, H.H.; Hanfi, M.Y.; Sayyed, M.I.; El Sheikh, R.; El-Sheikh, E.M.; Radwan, H.A.; et al. Selective recovery of cadmium, cobalt, and nickel from spent Ni–Cd batteries using Adogen® 464 and mesoporous silica derivatives. Int. J. Mol. Sci. 2022, 23, 8677. [Google Scholar] [CrossRef]
- Khanday, W.A.; Khanday, S.A.; Danish, M. Application of erionite as an adsorbent for Cd2+, Cu2+, and Pb2+ ions in water. Desalin Water Treat. 2020, 205, 328–335. [Google Scholar] [CrossRef]
- Wadhawan, S.; Jain, A.; Nayyar, J.; Mehta, S.K. Role of nanomaterials as adsorbents in heavy metal ion removal from waste water: A review. J. Water Process Eng. 2020, 33, 101038. [Google Scholar] [CrossRef]
- Moodley, I.; Sheridan, C.M.; Kappelmeyer, U.; Akcil, A. Environmentally sustainable acid mine drainage remediation: Research developments with a focus on waste/by-products. Miner. Eng. 2018, 126, 207–220. [Google Scholar] [CrossRef]
- Imran-Shaukat, M.; Wahi, R.; Ngaini, Z. The application of agricultural wastes for heavy metals adsorption: A meta-analysis of recent studies. Bioresour. Technol. Rep. 2022, 17, 100902. [Google Scholar] [CrossRef]
- Nayagam, J.O.P.; Prasanna, K. Utilization of shell-based agricultural waste adsorbents for removing dyes: A review. Chemosphere 2022, 291, 132737. [Google Scholar] [CrossRef]
- Teo, S.H.; Ng, C.H.; Islam, A.; Abdulkareem-Alsultan, G.; Joseph, C.G.; Janaun, J.; Taufiq-Yap, Y.H.; Khandaker, S.; Islam, G.J.; Znad, H.; et al. Sustainable toxic dyes removal with advanced materials for clean water production: A comprehensive review. J. Clean. Prod. 2022, 332, 130039. [Google Scholar] [CrossRef]
- Sridhar, A.; Ponnuchamy, M.; Kapoor, A.; Prabhakar, S. Valorization of food waste as adsorbents for toxic dye removal from contaminated waters: A review. J Hazard Mater. 2022, 424, 127432. [Google Scholar] [CrossRef]
- Ahmad, T.; Danish, M. Prospects of banana waste utilization in wastewater treatment: A review. J. Environ. Manag. 2018, 206, 330–348. [Google Scholar] [CrossRef]
- Ahmad, T.; Danish, M. A review of avocado waste-derived adsorbents: Characterizations, adsorption characteristics, and surface mechanism. Chemosphere 2022, 296, 134036. [Google Scholar] [CrossRef]
- Srivastava, S.; Agrawal, S.B.; Mondal, M.K. Animal wastes: An alternative adsorbent for removal of toxic heavy metals from industrial wastewater. J. Sci. Res. 2016, 60, 65–72. [Google Scholar]
- Anastopoulos, I.; Pashalidis, I.; Hosseini-Bandegharaei, A.; Giannakoudakis, D.A.; Robalds, A.; Usman, M.; Escudero, L.B.; Zhou, Y.; Colmenares, J.C.; Núñez-Delgado, A.; et al. Agricultural biomass/waste as adsorbents for toxic metal decontamination of aqueous solutions. J. Mol. Liq. 2019, 295, 111684. [Google Scholar] [CrossRef]
- Znad, H.; Awual, M.R.; Martini, S. The Utilization of Algae and Seaweed Biomass for Bioremediation of Heavy Metal-Contaminated Wastewater. Molecules 2022, 27, 1275. [Google Scholar] [CrossRef] [PubMed]
- Thakur, A.K.; Singh, R.; Pullela, R.T.; Pundir, V. Green adsorbents for the removal of heavy metals from Wastewater: A review. Mater. Today Proc. 2022, 57, 1468–1472. [Google Scholar] [CrossRef]
- Yadav, S.; Yadav, A.; Bagotia, N.; Sharma, A.K.; Kumar, S. Adsorptive potential of modified plant-based adsorbents for sequestration of dyes and heavy metals from wastewater—A review. J. Water Process Eng. 2021, 42, 102148. [Google Scholar] [CrossRef]
- Carrasco, K.H.; Höfgen, E.G.; Brunner, D.; Borchert, K.B.L.; Reis, B.; Steinbach, C.; Mayer, M.; Schwarz, S.; Glas, K.; Schwarz, D. Removal of Iron, Manganese, Cadmium, and Nickel Ions Using Brewers’ Spent Grain. Polysaccharides 2022, 3, 356–379. [Google Scholar] [CrossRef]
- Mo, W.Y.; Man, Y.B.; Wong, M.H. Use of food waste, fish waste and food processing waste for China’s aquaculture industry: Needs and challenge. Sci. Total Environ. 2018, 613, 635–643. [Google Scholar] [CrossRef]
- Stevens, J.R.; Newton, R.W.; Tlusty, M.; Little, D.C. The rise of aquaculture by-products: Increasing food production, value, and sustainability through strategic utilisation. Mar. Policy 2018, 90, 115–124. [Google Scholar] [CrossRef]
- Foroutani, B.M.; Parrish, C.C.; Wells, J.; Taylor, R.G.; Rise, M.L.; Shahidi, F. Minimizing marine ingredients in diets of farmed Atlantic salmon (Salmo salar): Effects on growth performance and muscle lipid and fatty acid composition. PLoS ONE 2018, 13, e0198538. [Google Scholar]
- Ahuja, I.; Dauksas, E.; Remme, J.F.; Richardsen, R.; Løes, A.-K. Fish and fish waste-based fertilizers in organic farming—With status in Norway: A review. Waste Manag. 2020, 115, 95–112. [Google Scholar] [CrossRef]
- Guillen, J.; Holmes, S.J.; Carvalho, N.; Casey, J.; Dörner, H.; Gibin, M.; Mannini, A.; Vasilakopoulos, P.; Zanzi, A. A Review of the European Union Landing Obligation Focusing on Its Implications for Fisheries and the Environment. Sustainability 2018, 10, 900. [Google Scholar] [CrossRef]
- Teshale, F. Removal of Chromium from Tannery Wastewater Using Modified Fish Scales as Adsorbent. Master’s Thesis, Addis Ababa University, Addis Ababa, Ethiopia, November 2017. [Google Scholar]
- Ooi, J.; Lee, L.Y.; Hiew, B.Y.Z.; Thangalazhy-Gopakumar, S.; Lim, S.S.; Gan, S. Assessment of fish scales waste as a low cost and eco-friendly adsorbent for removal of an azo dye: Equilibrium, kinetic and thermodynamic studies. Bioresour. Technol. 2017, 245, 656–664. [Google Scholar] [CrossRef] [PubMed]
- Jaafar, A.; Darchen, A.; Driouich, A.; Lakbaibi, Z.; Boussaoud, A.; Chatib, B.; Laftani, Y.; El Makhfouk, M.; Hachkar, M. Fish scale of Sardina pilchardus as a biosorbent for the removal of Ponceau S dye from water: Experimental, designing and Monte Carlo investigations. Inorg. Chem. Commun. 2022, 137, 109196. [Google Scholar] [CrossRef]
- Ribeiro, C.; Scheufele, F.B.; Alves, H.J.; Kroumov, A.D.; Espinoza-Quiñones, F.R.; Módenes, A.N.; Borba, C.E. Evaluation of hybrid neutralization/biosorption process for zinc ions removal from automotive battery effluent by dolomite and fish scales. Environ. Technol. 2019, 40, 2373–2388. [Google Scholar] [CrossRef]
- Kabir, S.M.F.; Cueto, R.; Balamurugan, S.; Romeo, L.D.; Kuttruf, J.T.; Marx, B.D.; Negulescu, I.I. Removal of acid dyes from textile wastewaters using fish scales by absorption process. Clean Technol. 2019, 1, 311–324. [Google Scholar] [CrossRef]
- Vieira, E.F.S.; Cestari, A.R.; Carvalho, W.A.; Oliveira, C.; Chagas, R.A. The use of freshwater fish scale of the species Leporinus elongatus as adsorbent for anionic dyes. J. Therm. Anal. Calorim. 2012, 109, 1407–1412. [Google Scholar] [CrossRef]
- Neves, C.V.; Scheufele, F.B.; Nardino, A.P.; Vieira, M.G.A.; da Silva, M.G.C.; Módenes, A.N.; Borba, C.E. Phenomenological modeling of reactive dye adsorption onto fish scales surface in the presence of electrolyte and surfactant mixtures. Environ. Technol. 2018, 39, 2467–2483. [Google Scholar] [CrossRef] [PubMed]
- Ighalo, J.O.; Eletta, O.A.A. Recent advances in the biosorption of pollutants by fish scales: A mini—Review. Chem. Eng. Commun. 2021, 208, 1301–1312. [Google Scholar] [CrossRef]
- Zayadi, N.; Othman, N. Characterization and Optimization of Heavy Metals Biosorption by Fish Scales. Adv. Mater. Res. 2013, 795, 260–265. [Google Scholar] [CrossRef]
- Ribeiro, C.; Scheufele, F.B.; Espinoza-Quiñones, F.R.; Módenes, A.N.; Vieira, M.G.A.; Kroumov, A.D.; Borba, C.E. A comprehensive evaluation of heavy metals removal from battery industry wastewaters by applying bio-residue, mineral and commercial adsorbent materials. J. Mater. Sci. 2018, 53, 7976–7995. [Google Scholar] [CrossRef]
- Bazarin, G.; Módenes, A.N.; Vieira, M.G.A.; Borba, C.E.; Espinoza-Quiñones, F.R.; Scariotto, M.C. Tilapia scales: Characterization and study of Cu(II) removal by ion exchange with Ca(II). Sep. Sci. Technol. 2020, 55, 186–198. [Google Scholar] [CrossRef]
- Uzunoglu, D.; Ozer, A. Adsorption of hazardous heavy metal copper(II) from aqueous effluents onto waste material fish (Dicentrarchus labrax) scales: Optimization, equilibrium, kinetics, thermodynamic, and characterization studies. Desalin. Water Treat. 2016, 57, 22794–22798. [Google Scholar] [CrossRef]
- Zayadi, N.; Othman, N. Removal of zinc and ferum ions using Tilapia Mossambica fish scale. Int. J. Integr. Eng. 2013, 5, 23–29. [Google Scholar]
- Teshale, F.; Karthikeyan, R.; Sahu, O. Synthesized bioadsorbent from fish scale for chromium (III) removal. Micron 2020, 130, 102817. [Google Scholar] [CrossRef] [PubMed]
- Bamukyaye, S.; Wanasolo, W. Performance of Egg-Shell and Fish-Scale as Adsorbent Materials for Chromium (VI) Removal from Effluents of Tannery Industries in Eastern Uganda. Open Access Libr. J. 2017, 4, e3732. [Google Scholar] [CrossRef]
- Jaafar, A.; Darchen, A.; Hamzi, S.E.; Lakbaibi, Z.; Driouich, A.; Boussaoud, A.; Yaacoubi, A.; El Makhfouk, A.; Hachkar, M. Optimization of cadmium ions biosorption by fish scale from aqueous solutions using factorial design analysis and Monte Carlo simulation studies. J. Environ. Chem. Eng. 2021, 9, 104727. [Google Scholar] [CrossRef]
- Stevens, M.G.F.; Batlokwa, B.S. Environmentally friendly and cheap removal of lead (II) and zinc (II) from wastewater with fish scales waste remains. Int. J. Chem. 2017, 9, 22–30. [Google Scholar] [CrossRef]
- Prabu, K.; Shankarlal, S.; Natarajan, E. A biosorption of heavy metal ions from aqueous solutions using fish scale (Catla catla). WJFMS 2012, 4, 73–77. [Google Scholar]
- Qasem, N.A.A.; Mohammed, R.H.; Lawal, D.U. Removal of heavy metal ions from wastewater: A comprehensive and critical review. Npj Clean Water 2021, 4, 36. [Google Scholar] [CrossRef]
- Ighalo, J.O.; Eletta, O.A.A. Response surface modelling of the biosorption of Zn(II) and Pb(II) onto Micropogonias undulatus scales: Box–Behnken experimental approach. Appl. Water Sci. 2020, 10, 197. [Google Scholar] [CrossRef]
- Awual, M.R. Assessing of lead(III) capturing from contaminated wastewater using ligand doped conjugate adsorbent. Chem. Eng. J. 2016, 289, 65–73. [Google Scholar] [CrossRef]
- Kubra, K.T.; Salman, M.S.; Hasan, M.N.; Islam, A.; Teo, S.H.; Hasan, M.M.; Sheikh, M.C.; Awual, M.R. Sustainable detection and capturing of cerium(III) using ligand embedded solid-state conjugate adsorbent. J. Mol. Liq. 2021, 338, 116667. [Google Scholar] [CrossRef]
- Jarosz, K. Roşia Montană in Romania: Roman gold mines and the power of protests. J. Community Archaeol. 2015, 2, 57–71. [Google Scholar] [CrossRef]
- Florea, R.M.; Stoica, A.I.; Baiulescu, G.E.; Capotă, P. Water pollution in gold mining industry: A case study in Roşia Montană district, Romania. Environ. Geol. 2005, 48, 1132–1136. [Google Scholar] [CrossRef]
- Neamtiu, I.A.; Al-Abed, S.R.; McKernan, J.L.; Baciu, C.L.; Gurzau, E.S.; Pogacean, A.O.; Bessler, S.M. Metal contamination in environmental media in residential areas around Romanian mining sites. Rev. Environ. Health 2017, 32, 215–220. [Google Scholar] [CrossRef] [PubMed]
- OHCHR. Romanian Governmental Resolution No. 188 of 28.02.2002. for the Approval of Norms on Wastewater Discharge Condition in the Aquatic Environment, with Reference to NTPA 001/2002; The Office of the High Commissioner for Human Rights: Geneva, Switzerland, 2002. [Google Scholar]
- Bashir, A.; Malik, L.A.; Ahad, S.; Manzoor, T.; Bhat, M.A.; Dar, G.N.; Pandith, A.H. Removal of heavy metal ions from aqueous system by ion-exchange and biosorption methods. Environ. Chem. Lett. 2019, 17, 729–754. [Google Scholar] [CrossRef]
- Ahmadifar, Z.; Koohi, D.A. Characterization, preparation, and uses of nanomagnetic Fe3O4 impregnated onto fish scale as more efficient adsorbent for Cu2+ ion adsorption. Environ. Sci. Pollut. Res. 2018, 25, 19687–19700. [Google Scholar] [CrossRef]
- Abatan, O.G.; Alaba, P.A.; Oni, B.A.; Akpojevwe, K.; Efeovbokhan, V.; Abnisa, F. Performance of eggshells powder as an adsorbent for adsorption of hexavalent chromium and cadmium from wastewater. SN Appl. Sci. 2020, 2, 1996. [Google Scholar] [CrossRef]
- El Haouti, R.; Anfar, Z.; Chennah, A.; Amaterz, E.; Zbair, M.; El Alem, N.; Benlhachemi, A.; Ezahri, M. Synthesis of sustainable mesoporous treated fish waste as adsorbent for copper removal. Groundw. Sustain. Dev. 2019, 8, 1–9. [Google Scholar] [CrossRef]
- Gogoi, S.; Chakraborty, S.; Saikia, M.D. Surface modified pineapple crown leaf for adsorption of Cr(VI) and Cr(III) ions from aqueous solution. J. Environ. Chem. Eng. 2018, 6, 2492–2501. [Google Scholar] [CrossRef]
- Abdel -Aty, A.M.; Ammar, N.S.; Abdel Ghafar, H.H.; Ali, R.K. Biosorption of cadmium and lead from aqueous solution by fresh water alga Anabaena sphaerica biomass. J. Adv. Res. 2013, 4, 367–374. [Google Scholar] [CrossRef]
- Pellegrino, E.D.; Biltz, R.M. Bone Carbonate and the Ca to P Molar Ratio. Nature 1968, 219, 1261–1262. [Google Scholar] [CrossRef] [PubMed]
- Tan, C.Y.; Singh, R.; Teh, Y.C.; Tan, Y.M.; Yap, B.K. The Effects of Calcium-to-Phosphorus Ratio on the Densification and Mechanical Properties of Hydroxyapatite Ceramic. Int. J. Appl. Ceram. Technol. 2014, 12, 223–227. [Google Scholar] [CrossRef]
- Villanueva-Espinosa, J.F.; Hernández-Esparza, M.; Ruiz-Treviño, F.A. Adsorptive properties of fish scales of Oreochromis Niloticus (Mojarra Tilapia) for metallic ion removal from waste water. Ind. Eng. Chem. Res. 2001, 40, 3563–3569. [Google Scholar] [CrossRef]
- Khamwichit, A.; Dechapanya, W.; Dechapanya, W. Adsorption kinetics and isotherms of binary metal ion aqueous solution using untreated venus shell. Heliyon 2022, 8, e09610. [Google Scholar] [CrossRef] [PubMed]
- Movasaghi, Z.; Rehman, S.; ur Rehman, I. Fourier Transform Infrared (FTIR) Spectroscopy of biological tissues. Appl. Spectrosc. Rev. 2008, 43, 134–179. [Google Scholar] [CrossRef]
- Ribeiro, C.; Scheufele, F.B.; Espinoza-Quiñones, F.R.; Módenes, A.N.; da Silva, M.G.C.; Vieira, M.G.A.; Borba, C.E. Characterization of Oreochromis niloticus fish scales and assessment of their potential on the adsorption of reactive blue 5G dye. Colloids Surf. A Physicochem. Eng. Asp. 2015, 482, 693–701. [Google Scholar] [CrossRef]
- Ikoma, T.; Kobayashi, H.; Tanaka, J.; Walsh, D.; Mann, S. Microstructure, mechanical, and biomimetic properties of fish scales from Pagrus major. J. Struct. Biol. 2003, 142, 327–333. [Google Scholar] [CrossRef]
- Deb, P.; Deoghare, A.B. Effect of Acid, Alkali and Alkali–Acid Treatment on Physicochemical and Bioactive Properties of Hydroxyapatite Derived from Catla catla Fish Scales. Arab. J. Sci. Eng. 2019, 44, 7479–7490. [Google Scholar] [CrossRef]
- Ho, Y.S.; McKay, G. Pseudo-second order model for sorption processes. Process Biochem. 1999, 34, 451–465. [Google Scholar] [CrossRef]
- Nadeem, R.; Ansari, T.M.; Khalid, A.M. Fourier Transform Infrared Spectroscopic characterization and optimization of Pb(II) biosorption by fish (Labeo rohita) scales. J. Hazard. Mater. 2008, 156, 64–73. [Google Scholar] [CrossRef]
- Revellame, E.D.; Fortela, D.L.; Sharp, W.; Hernandez, R.; Zappi, M.E. Adsorption kinetic modeling using pseudo-first order and pseudo-second order rate laws: A review. Clean. Eng. Technol. 2020, 1, 100032. [Google Scholar] [CrossRef]
- Lagergren, S. Zur theorie der sogenannten adsorption gelöster stoffe. K. Sven. Vetenskapsakad. Handl. 1898, 24, 1–39. [Google Scholar]
- Weber, W.J.; Morris, J.C. Kinetics of adsorption on carbon from solutions. J. Sanit. Eng. Div. Am. Soc. Civ. Eng. 1963, 89, 31–60. [Google Scholar] [CrossRef]
- Wu, F.-C.; Tseng, R.-L.; Juang, R.-S. Initial behavior of intraparticle diffusion model used in the description of adsorption kinetics. Chem. Eng. J. 2009, 153, 1–8. [Google Scholar] [CrossRef]
- Ho, Y.S.; McKay, G. Comparative sorption kinetic studies of dye and aromatic compounds onto fly ash. J. Environ. Sci. Health Part A 1999, 34, 1179–1204. [Google Scholar] [CrossRef]
- Wu, F.-C.; Tseng, R.-L.; Juang, R.-S. Characteristics of Elovich equation used for the analysis of adsorption kinetics in dye-chitosan systems. J. Chem. Eng. 2009, 150, 366–373. [Google Scholar] [CrossRef]
- Demiral, H.; Güngör, C. Adsorption of copper(II) from aqueous solutions on activated carbon prepared from grape bagasse. J. Clean. Prod. 2016, 124, 103–113. [Google Scholar] [CrossRef]
- Popa, M.; Bostan, R.; Ilie, N.; Varvara, S. Natural sorbents used for the removal of heavy metals from acidic wastewaters generated at ‘Valea Sesei’ tailing pond from Rosia Poeni mining perimeter (Romania). J. Environ. Prot. Ecol. 2015, 16, 839–848. [Google Scholar]
- Núñez-Gómez, D.; Rodrigues, C.; Lapolli, F.R.; Lobo-Recio, M.Á. Adsorption of heavy metals from coal acid mine drainage by shrimp shell waste: Isotherm and continuous-flow studies. J. Environ. Chem. Eng. 2019, 7, 102787. [Google Scholar] [CrossRef]
- Núñez-Gómez, D.; Lapolli, F.R.; Nagel-Hassemer, M.E.; Lobo-Recio, M.Á. Optimization of Fe and Mn Removal from Coal Acid Mine Drainage (AMD) with Waste Biomaterials: Statistical Modeling and Kinetic Study. Waste Biomass Valoriz. 2020, 11, 1143–1157. [Google Scholar] [CrossRef]
- Fontana, I.B.; Peterson, M.; Cechinel, M.A.P. Application of brewing waste as biosorbent for the removal of metallic ions present in groundwater and surface waters from coal regions. J. Environ. Chem. Eng. 2018, 6, 660–670. [Google Scholar] [CrossRef]
- Chockalingam, E.; Subramanian, S. Utility of Eucalyptus tereticornis (Smith) bark and Desulfotomaculum nigrificans for the remediation of acid mine drainage. Bioresour. Technol. 2009, 100, 615–621. [Google Scholar] [CrossRef] [PubMed]
- Ramírez-Paredes, F.I.; Manzano-Muñoz, T.; Garcia-Prieto, J.C.; Bello-Estévez, J.F.; Zhadan, G.G.; Shnyrov, V.L.; Kennedy, J.F.; Roig, M.G. Biosorption of Heavy Metals from Acid Mine Drainages onto Pig Bristles, Poultry Feathers and Crustacean Shells Industrial Biowastes. J. Basic Appl. 2013, 9, 510–524. [Google Scholar] [CrossRef]
- Lv, S.; Hu, L.; Xia, C.; Borges Cabrera, M.; Guo, Y.; Liu, C.; You, L. Recycling fish scale powder in improving the performance of asphalt: A sustainable utilization of fish scale waste in asphalt. J. Clean. Prod. 2021, 288, 125682. [Google Scholar] [CrossRef]













| Fish Species | Heavy Metal | Conc. (mg L−1) | Optimum Parameters for Biosorption (Dosage, pH, Contact Time) | qmax (mg g−1) | R.E.max (%) | Ref. |
|---|---|---|---|---|---|---|
| Micropogonias undulatus | Zn | 1000 | 7.01 g/L; pH 5.4; 2.5 h | 159.4 | 96.45 | [48] |
| Oreochromis niloticus | Fe Zn | 0.3 0.01 | 0.8 g/100 mL; pH 4.5; 3 h 0.02 g/100 mL; pH 6; 3 h | 0.02407 0.04569 | 64.2 92.3 | [49] |
| Zn | 60 | 1 g/L; pH 3.0; 24 h | 13 | - | [44] | |
| Fe Zn Pb ** | 400 60 30 | 20 g/L; pH 1; 24 h | - | 55 67 69 | [50] | |
| Cu | 175 | 1 g/50 mL; pH 3.0; 12 h | 20.6 | 95 | [51] | |
| Dicentrarchus labrax | Cu | 200 | 1 g/L; pH 3.0 | 77.4 | - | [52] |
| Tilapia mossambica | Fe Zn | 0.3 0.01 | 0.8 g/100 mL; pH 4.5; 3 h 0.02 g/100 mL; pH 6; 3 h | 0.0152 0.04676 | 65.9 93.52 | [53] |
| Fish scale | Cr(III) | 150 | 0.8 g/100 mL; pH 5.0; 1.5 h | 18.7 | 99.75 | [54] |
| Lates niloticus sp. | Cr(VI) *** | 0.158 | 0.5 g/100 mL; pH 2.0; 3.3 h | 27.270 | 50.63 | [55] |
| Sardina pilchardus | Cd | 75 | 0.25 g/L; pH 3.0; 1 h | 12.94 | 88.2 | [56] |
| Mixed fish scale | Zn Pb | 100 100 ** | 76.99 mg/50 mL, pH = 7,52; 1 h | - | 81.97 80.37 | [57] |
| Catla catla | Fe Zn Mn | 50 | 5 mg/50 mL; pH = 7; 5 h | - | 90.0 93.2 88.0 | [58] |
| Element | Unit | Value | Maximum Consent Limits * |
|---|---|---|---|
| Fe | mg L−1 | 201.5 | 5.0 |
| Mn | mg L−1 | 56.5 | 1.0 |
| Zn | mg L−1 | 17 | 0.5 |
| Element | Elemental Chemical Composition of the Powdered Fish Scales (at.%) | ||||
|---|---|---|---|---|---|
| Before Contact with AMD | After Contact with AMD | ||||
| Darker Region (Spectrum 1) | Whiter Region (Spectrum 2) | Whiter Region (Spectrum 1) | Darker Region (Spectrum 2) | Whiter Region (Spectrum 3) | |
| C | 51.89 | 58.46 | 63.80 | 40.83 | 45.15 |
| O | 26.16 | 20.35 | 28.02 | 40.66 | 40.42 |
| Ca | 3.21 | 15.37 | 2.45 | 4.80 | 7.86 |
| P | 2.38 | 5.48 | 1.87 | 3.74 | 5.44 |
| N | 16.10 | - | - | 9.48 | - |
| Mg | 0.20 | 0.26 | 0.24 | 0.15 | 0.25 |
| S | 0.06 | 0.08 | 0.21 | 0.15 | 0.13 |
| Si | - | - | 0.10 | - | 0.10 |
| Fe | - | - | 1.14 | 0.04 | 0.16 |
| Mn | - | - | 0.07 | 0.15 | 0.29 |
| Zn | - | - | 0.07 | 0.05 | 0.20 |
| Ca/P | 1.35 | 2.80 | 1.31 | 1.28 | 1.44 |
| C/O | 1.90 | 2.87 | 2.35 | 1.00 | 1.11 |
| Kinetic Model | Mn2+ Ions Adsorption | Zn2+ Ions Adsorption | |
|---|---|---|---|
| qexp (mg g−1) | 2.463 | 0.850 | |
| Pseudo-first-order model | |||
| k1 (min−1) | 0.012 | 0.019 | |
| qcal (mg−1) | 1.087 | 0.982 | |
| R2 | 0.9472 | 0.7399 | |
| Pseudo-second-order model | |||
| k2 (g min−1 mg−1) | 0.023 | 0.910 | |
| qcal (mg g−1) | 2.584 | 0.855 | |
| R2 | 0.9970 | 0.9999 | |
| Intraparticle diffusion | I | II | |
| k3 (mg g−1 min−1/2) | 0.082 | 0.022 | 0.0024 |
| C (mg g−1) | 1.237 | 0.696 | 0.823 |
| R2 | 0.9639 | 0.9174 | 0.9499 |
| Elovich model | |||
| ae (mg g−1 min−1) | 1.36 | 2.22 × 1012 | |
| be (g mg−1) | 2.78 | 43.48 | |
| R2 | 0.9805 | 0.7545 | |
| Biosorbent | Heavy Metal | Conc. (mg L−1) | Optimum Parameters for Biosorption (Dosage, pH, Contact Time) | q max (mg g−1) | R.E.max (%) | Ref. |
|---|---|---|---|---|---|---|
| Peat moss | Cu Zn * | 116 108 | 20 g/100 mL; pH 2.5; 2 h | - | 87 61.1 | [90] |
| Shrimp shell waste | Fe Zn * | 83.24 5.94 | 11.46 g/L; pH 2.79; 24 h | 17.43 3.87 | 90 88 | [91] |
| Fe Mn * | 11.46 g/L; pH 3.04; 24 h | 1.38 0.65 | 93 90 | [92] | ||
| Brewing waste | Fe * Mn | 2.12 0.39 | 2 g/L; pH 5.9; 5 h | 1.1 0.5 | 88 83 | [93] |
| Eucalyptus tereticornis | Fe Zn * | 127 29 | 10 g/100 mL; pH 2.3; 3 h | - | 96 75 | [94] |
| Pig bristles | Zn * Mn * | 3.55 3.32 | 1 g/200 mL; pH 4.0; 1 h | 0.62 0.36 | 87 56 | [95] |
| Nut hull | Cu Zn * | 116 108 | 10 g/100 mL; pH 2.5; 2 h | - | 40 12.3 | [90] |
| Cyprinus carpio scales | Fe Zn Mn * | 201.5 17 56.5 | 2 g/100 mL; pH 1.8; 4 h | 10.08 0.850 2.463 | 100 100 87.1 | Present study |
| Cycle | R.E. (%) | |||||
|---|---|---|---|---|---|---|
| HCl-Treated Scales | NaCl-Treated Scales | |||||
| Fe | Zn | Mn | Fe | Zn | Mn | |
| I | 48.4 | 8.8 | 11.5 | 66.5 | 60.6 | 11.5 |
| II | 37.7 | 5.9 | 10.7 | 64.5 | - | - |
Publisher’s Note: MDPI stays neutral with regard to jurisdictional claims in published maps and institutional affiliations. |
© 2022 by the authors. Licensee MDPI, Basel, Switzerland. This article is an open access article distributed under the terms and conditions of the Creative Commons Attribution (CC BY) license (https://creativecommons.org/licenses/by/4.0/).
Share and Cite
Damian, G.; Varvara, S. Assessment of Cyprinus carpio Scales as a Low-Cost and Effective Biosorbent for the Removal of Heavy Metals from the Acidic Mine Drainage Generated at Rosia Montana Gold Mine (Romania). Water 2022, 14, 3734. https://doi.org/10.3390/w14223734
Damian G, Varvara S. Assessment of Cyprinus carpio Scales as a Low-Cost and Effective Biosorbent for the Removal of Heavy Metals from the Acidic Mine Drainage Generated at Rosia Montana Gold Mine (Romania). Water. 2022; 14(22):3734. https://doi.org/10.3390/w14223734
Chicago/Turabian StyleDamian, Gianina, and Simona Varvara. 2022. "Assessment of Cyprinus carpio Scales as a Low-Cost and Effective Biosorbent for the Removal of Heavy Metals from the Acidic Mine Drainage Generated at Rosia Montana Gold Mine (Romania)" Water 14, no. 22: 3734. https://doi.org/10.3390/w14223734
APA StyleDamian, G., & Varvara, S. (2022). Assessment of Cyprinus carpio Scales as a Low-Cost and Effective Biosorbent for the Removal of Heavy Metals from the Acidic Mine Drainage Generated at Rosia Montana Gold Mine (Romania). Water, 14(22), 3734. https://doi.org/10.3390/w14223734

