Longitudinal Chemical Gradients and the Functional Responses of Nutrients, Organic Matter, and Other Parameters to the Land Use Pattern and Monsoon Intensity
Abstract
1. Introduction
2. Materials and Methods
2.1. The Study Area
2.2. Analysis of Water Quality Parameters and Land Use Coverage
2.3. Biodegradability Index and Trophic State Classification
2.4. Microbial Pollution Indicator and River Pollution Index
2.5. Statistical Analysis
3. Results
3.1. Physicochemical Properties of the Han River Basin
3.2. Seasonal Variations in Water Quality Parameters
3.3. Pearson Correlation Matrix
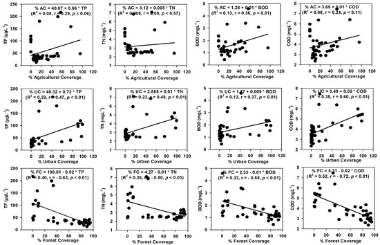
3.4. Associations between Nutrients, Suspended Solids, Organic Matter, and Land Cover Type
3.5. Empirical Relationships between CHL-a and Nutrient Dynamics
3.6. Trophic State Classification
3.7. Organic Matter Enhancement and Biodegradability Index
3.8. Microbial Pollution and Chemical Health
4. Discussion
4.1. Damming and Monsoon Effects on Water Quality at Different Zones
4.2. Land Cover Effects on Nutrients and Algal Dynamics and Environmental Impacts
4.3. Socio-Economic Impacts
4.4. Health Risks
5. Conclusions
Supplementary Materials
Author Contributions
Funding
Institutional Review Board Statement
Informed Consent Statement
Data Availability Statement
Acknowledgments
Conflicts of Interest
References
- Zhang, W.; Chen, D.; Li, H. Spatio-temporal dynamics of water quality and their linkages with the watershed landscape in highly disturbed headwater watersheds in China. Environ. Sci. Pollut. Res. 2018, 25, 35287–35300. [Google Scholar] [CrossRef] [PubMed]
- Wen, T.; Sheng, S.; Xu, C.; Xu, D.; Wan, Y.; An, S. Longitudinal changes in water quality to landscape gradients along sha river basin. Clean-Soil Air Water 2015, 43, 1609–1615. [Google Scholar] [CrossRef]
- Chang, H. Spatial analysis of water quality trends in the Han River basin, South Korea. Water Res. 2008, 42, 3285–3304. [Google Scholar] [CrossRef] [PubMed]
- Luo, P.; He, B.; Takara, K.; Razafindrabe, B.H.N.; Nover, D.; Yamashiki, Y. Spatiotemporal trend analysis of recent river water quality conditions in Japan. J. Environ. Monit. 2011, 13, 2819–2829. [Google Scholar] [CrossRef] [PubMed]
- Mallin, M.A.; Johnson, V.L.; Ensign, S.H. Comparative impacts of stormwater runoff on water quality of an urban, a suburban, and a rural stream. Environ. Monit. Assess. 2009, 159, 475–491. [Google Scholar] [CrossRef]
- Mallin, M.A. Effect of Human Land Development on Water Quality; Elsevier Inc.: Amsterdam, The Nehterlands, 2009; ISBN 9780123741929. [Google Scholar]
- Mallin, M.A.; Turner, M.I.H.; McIver, M.R.; Toothman, B.R.; Freeman, H.C. Significant reduction of fecal bacteria and suspended solids loading by coastal best management practices. J. Coast. Res. 2016, 320, 923–931. [Google Scholar] [CrossRef]
- Mamun, M.; An, K.-G. Ecological health assessments of 72 streams and rivers in relation to water chemistry and land-use patterns in South Korea. Turk. J. Fish. Aquat. Sci. 2018, 18, 871–880. [Google Scholar] [CrossRef]
- Mallin, M.A.; Johnson, V.L.; Ensign, S.H.; MacPherson, T.A. Factors contributing to hypoxia in rivers, lakes, and streams. Limnol. Oceanogr. 2006, 51, 690–701. [Google Scholar] [CrossRef]
- NRC. Clean Coastal Waters: Understanding and Reducing the Effects of Nutrient Pollution; The National Academies Press: Washington, DC, USA, 2000. [Google Scholar]
- Mallin, M.A.; Cahoon, L.B. The hidden impacts of phosphorus pollution to streams and rivers. Bioscience 2020, 70, 315–329. [Google Scholar] [CrossRef]
- Chudoba, E.A.; Mallin, M.A.; Cahoon, L.B.; Skrabal, S.A. Stimulation of fecal bacteria in ambient waters by experimental inputs of organic and inorganic phosphorus. Water Res. 2013, 47, 3455–3466. [Google Scholar] [CrossRef]
- Vannote, R.L.; Minshall, G.W.; Cummins, K.W.; Sedell, J.R.; Cushing, C.E. The river continuum concept. Can. J. Fish. 1980, 37, 130–137. [Google Scholar] [CrossRef]
- HaRa, J.; Mamun, M.; An, K.G. Ecological river health assessments using chemical parameter model and the index of biological integrity model. Water 2019, 11, 1729. [Google Scholar] [CrossRef]
- Alford, J.B.; Debbage, K.G.; Mallin, M.A.; Liu, Z.J. Surface water quality and landscape gradients in the north carolina cape fear river basin: The key role of fecal coliform. Southeast. Geogr. 2016, 56, 428–453. [Google Scholar] [CrossRef]
- Fantin-Cruz, I.; Pedrollo, O.; Girard, P.; Zeilhofer, P.; Hamilton, S.K. Changes in river water quality caused by a diversion hydropower dam bordering the Pantanal floodplain. Hydrobiologia 2016, 768, 223–238. [Google Scholar] [CrossRef]
- Ward, J.V. The four-dimensional nature of lotic ecosystems. N. Am. Benthol. Soc. 1989, 8, 2–8. [Google Scholar] [CrossRef]
- Inoue, M.; Nunokawa, M. Effects of longitudinal variations in stream habitat structure on fish abundance: An analysis based on subunit-scale habitat classification. Freshw. Biol. 2002, 47, 1594–1607. [Google Scholar] [CrossRef]
- Mamun, M.; Kim, J.Y.; An, K.G. Trophic responses of the Asian reservoir to long-term seasonal and interannual dynamic monsoon. Water 2020, 12, 2066. [Google Scholar] [CrossRef]
- Ingole, N.P.; An, K.G. Modifications of nutrient regime, chlorophyll-a, and trophic state relations in daechung reservoir after the construction of an upper dam. J. Ecol. Environ. 2016, 40, 5. [Google Scholar] [CrossRef]
- Choi, Y.; Lee, E.; Ji, J.; Ahn, J.; Kim, T.; Yi, J. Development and evaluation of the hydropower reservoir rule curve for a sustainable water supply. Sustainability 2020, 12, 9641. [Google Scholar] [CrossRef]
- MOST. Studies on Water Pollution of the Han River, Seoul, Korea; MOST: Seoul, Korea, 1975.
- MOE. Water Environment of Seoul. In Status of the Environment in the City of Seoul, Seoul, Korea; MOE: Seoul, Korea, 2003. [Google Scholar]
- Shin, M.S.; Lee, J.Y.; Kim, B.; Bae, Y.J. Long-term variations in water quality in the lower Han River. J. Ecol. Biol. 2011, 34, 31–37. [Google Scholar] [CrossRef][Green Version]
- Chang, H. Spatial and temporal variations of water quality in the han river and its tributaries, Seoul, Korea, 1993–2002. Water. Air. Soil Pollut. 2005, 161, 267–284. [Google Scholar] [CrossRef]
- Kim, J.H.; Jo, J. Chemical Oxygen Demand (COD) model for the assessment of water quality in the Han River, Korea. Korean J. Environ. Health Sci. 2016, 42, 280–292. [Google Scholar] [CrossRef]
- Park, M.; Cho, Y.; Shin, K.; Shin, H.; Kim, S.; Yu, S. Analysis of water quality characteristics in unit watersheds in the hangang basin with respect to tmdl implementation. Sustainability 2021, 13, 9999. [Google Scholar] [CrossRef]
- Choi, E.; Kim, G.; Yun, Z. An approach for the estimation of NPS pollutant discharge. J. Korean Assoc. Water Qual. 1994, 10, 189–194. [Google Scholar]
- Kim, L.H.; Choi, E. Phosphorus Release from Sediment with Environmental Changes in Han River. In Proceedings of the 4th Conference of Korean Association of Water Quality, Pusan, Seoul, Korea, 19–20 April 1996. [Google Scholar]
- Hecky, R.E.; Kilham, P. Nutrient limitation of phytoplankton in freshwater and marine environments: A review of recent evidence on the effects of enrichment. Limnol. Oceanogr. 1988, 33, 796–822. [Google Scholar] [CrossRef]
- Jones, J.R.; Knowlton, M.F.; An, K.G. Trophic state, seasonal patterns and empirical models in South Korean Reservoirs. Lake Reserv. Manag. 2003, 19, 64–78. [Google Scholar] [CrossRef]
- Elser, J.J.; Marzolf, E.R.; Goldman, C.R. Phosphorus and nitrogen limitation of phytoplankton growth in the freshwaters of North America: A review and critique of experimental enrichments. Can. J. Fish. Aquat. Sci. 1990, 47, 1468–1477. [Google Scholar] [CrossRef]
- Gurjar, S.K.; Tare, V. Spatial-temporal assessment of water quality and assimilative capacity of river Ramganga, a tributary of Ganga using multivariate analysis and QUEL2K. J. Clean. Prod. 2019, 222, 550–564. [Google Scholar] [CrossRef]
- Ryu, J.S.; Lee, K.S.; Chang, H.W. Hydrogeochemical and isotopic investigations of the Han River basin, South Korea. J. Hydrol. 2007, 345, 50–60. [Google Scholar] [CrossRef]
- Chang, H.; Kwon, W.T. Spatial variations of summer precipitation trends in South Korea, 1973–2005. Environ. Res. Lett. 2007, 2, 045012. [Google Scholar] [CrossRef]
- Kim, L.H.; Choi, E.; Stenstrom, M.K. Sediment characteristics, phosphorus types and phosphorus release rates between river and lake sediments. Chemosphere 2003, 50, 53–61. [Google Scholar] [CrossRef]
- MOE. Standard Methods for the Examination of Water Quality Contamination, 7th ed.; Ministry of Environemnt (MOE): Gwacheon, Korea, 2000; p. 435. (In Korean)
- Lai, T.M.; Shin, J.K.; Hur, J. Estimating the biodegradability of treated sewage samples using synchronous fluorescence spectra. Sensors 2011, 11, 7382–7394. [Google Scholar] [CrossRef]
- Martín, I.; Betancourt, J. Guía Sobre Tratamientos de Aguas Residuales Urbanas para Pequeños Núcleos de Población. Mejora de la Calidad de los Efluentes, 1st ed.; Daute Diseño, S.L.: Las Palmas, Spain, 2006. [Google Scholar]
- Vizcaino, I.P.; Carrera, E.V.; Sanromán-Junquera, M.; Muñoz-Romero, S.; Rojo-Álvarez, J.L.; Cumbal, L.H. Spatio-temporal analysis of water quality parameters in machángara river with nonuniform interpolation methods. Water 2016, 8, 507. [Google Scholar] [CrossRef]
- Dodds, W.K.; Jones, J.R.; Welch, E.B. Suggested classification of stream trophic state: Distributions of temperate stream types by chlorophyll, total nitrogen, and phosphorus. Water Res. 1998, 32, 1455–1462. [Google Scholar] [CrossRef]
- Čučak, D.I.; Marković, N.V.; Radnović, D.V. Microbiological water quality of the Nišava River. Water Sci. Technol. Water Supply 2016, 16, 1668–1673. [Google Scholar] [CrossRef]
- Kavka, G.; Kasimir, G.; Farnleitner, A. Microbiological water quality of the River Danube (2581 km–15 km): Longitudinal Variation of Pollution as Determined by Standard Parameters. In Proceedings of the 36th International Conference of IAD. Austrian Committee Danube Research/IAD, Vienna, Austria, 24–28 June 2006; pp. 415–421. [Google Scholar]
- Yu, X.; Xia, J.; Yang, J.; Ma, W. Preliminary study on the index system and assessment method of green hydropower. J. Hydroelectr. Eng. 2011, 30, 71–77. (In Chinese) [Google Scholar]
- Son, C.T.; Giang, N.T.H.; Thao, T.P.; Nui, N.H.; Lam, N.T.; Cong, V.H. Assessment of Cau River water quality assessment using a combination of water quality and pollution indices. J. Water Supply Res. Technol—AQUA 2020, 69, 160–172. [Google Scholar] [CrossRef]
- Singh, A.; Maichle, R. ProUCL V. 5.1. Statistical Software for Environmental Applications for Data Sets with and without Nondetect Observations; USEPA: Washington, WA, USA, 2016.
- Mamun, M.; Kwon, S.; Kim, J.E.; An, K.G. Evaluation of algal chlorophyll and nutrient relations and the N:P ratios along with trophic status and light regime in 60 Korea reservoirs. Sci. Total Environ. 2020, 741, 140451. [Google Scholar] [CrossRef]
- SigmaPlot. SigmaPlot Version 10.0; Systat Software, Inc.: San Jose, CA, USA.
- Hammer, Ø.; Harper, D.; Ryan, P. PAST: Paleontological statistics software package for education and data analysis. Palaeontol. Electron. 2001, 4, 9. [Google Scholar]
- Lee, J.; Lee, S.; Yu, S.; Rhew, D. Relationships between water quality parameters in rivers and lakes: BOD5, COD, NBOPs, and TOC. Environ. Monit. Assess. 2016, 188, 252. [Google Scholar] [CrossRef]
- Rosov, K.A.; Mallin, M.A.; Cahoon, L.B. Waste nutrients from U.S. animal feeding operations: Regulations are inconsistent across states and inadequately assess nutrient export risk. J. Environ. Manag. 2020, 269, 110738. [Google Scholar] [CrossRef] [PubMed]
- Schumm, S.A. The Fluvial System; Wiley: Hoboken, NJ, USA, 1977. [Google Scholar]
- Kennedy, R.H. Toward integration in reservoir management. Lake Reserv. Manag. 2005, 21, 128–138. [Google Scholar] [CrossRef][Green Version]
- Straskraba, M.; Tundisi, G. Guidelines Of Lake Management: Volume 9 Reservoir Water Quality Management; United Nations Environment Programme: Washington, DC, USA, 1999; Volume 9, ISBN 4906356265. [Google Scholar]
- Jones, J.; McEachern, P.; Seo, D. Empirical evidence of monsoon Influences on Asian Lakes. Aquat. Ecosyst. Health Manag. 2009, 12, 129–137. [Google Scholar] [CrossRef]
- An, K.G.; Park, S.S. Influence of seasonal monsoon on the trophic state deviation in an Asian reservoir. Water. Air. Soil Pollut. 2003, 145, 267–287. [Google Scholar] [CrossRef]
- Alexander, R.B.; Boyer, E.W.; Smith, R.A.; Schwarz, G.E.; Moore, R.B. The role of headwater streams in downstream water quality. J. Am. Water Resour. Assoc. 2007, 43, 41–59. [Google Scholar] [CrossRef] [PubMed]
- Lee, Y.; Woo, J.-M.; Hong, Y. The economic valuation of water quality degradation from river algae blooms: Evidence from the Han River. J. Environ. Policy Adm. 2019, 27, 51–75. [Google Scholar] [CrossRef]
- Sharpley, A.; Daniel, T.; Edwards, D. Phosphorus movement in the landscape. J. Prod. Agric. 1993, 6, 492–500. [Google Scholar] [CrossRef]
- Kolpin, D.W.; Furlong, E.T.; Meyer, M.T.; Thurman, E.M.; Zaugg, S.D.; Barber, L.B.; Buxton, H.T. Pharmaceuticals, hormones, and other organic wastewater contaminants in U.S. streams, 1999–2000: A national reconnaissance. Environ. Sci. Technol. 2002, 36, 1202–1211. [Google Scholar] [CrossRef]
- Mamun, M.; An, K.G. The application of chemical and biological multi-metric models to a small urban stream for ecological health assessments. Ecol. Inform. 2019, 50, 1–12. [Google Scholar] [CrossRef]
- Munn, M.D.; Frey, J.W.; Tesoriero, A.J.; Black, R.W.; Duff, J.H.; Lee, K.E.; Maret, T.R.; Mebane, C.; Waite, I.; Zelt, R.B. Understanding the influence of nutrients on stream ecosystems in agricultural landscapes. U.S. Geol. Surv. Circ. 2018, 1437, 80. [Google Scholar]
- Dillon, P.J. The phosphorus-chlorophyll in lakes. Limnol. Oceanogr. 1974, 19, 767–773. [Google Scholar] [CrossRef]
- Sakamoto, M. Primary production by phytoplankton community in some Japanese lakes and its dependence on lake depth. Arch. Hydrobiol. 1966, 62, 1–28. [Google Scholar]
- Edmondson, W. Nutrients and phytoplankton in Lake Washington. In Nutrients and Eutrophication; Likens, G.E., Ed.; American Society of Limnology and Oceanography: Lawrence, KS, USA, 1972. [Google Scholar]
- Pringle, C.M.; Bowers, J. An in situ substratum fertilization technique—Diatom colonization on nutrientenriched, sand substrata. Can. J. Fish. Aquat. Sci. 1984, 41, 247–251. [Google Scholar] [CrossRef]
- Pringle, C. Effects of water and substratum nutrient supplies on lotic periphyton growth—An integrated bioassay. Can. J. Fish. Aquat. Sci. 1987, 44, 619–629. [Google Scholar] [CrossRef]
- Corkum, L. Responses of chlorophyll-a, organic matter, and macroinvertebrates to nutrient additions in rivers flowing through agricultural and forested land. Arch. Hydrobiol. 1996, 136, 391–411. [Google Scholar] [CrossRef]
- Munn, M.; Frey, J.; Tesoriero, A. The influence of nutrients and physical habitat in regulating algal biomass in agricultural streams. Environ. Manag. 2010, 45, 603–615. [Google Scholar] [CrossRef] [PubMed]
- MOSF (Ministry of Strategy and Finance). 2012 Modularization of Korea’s Development Experience: Korea’s River Basin Management Policy; Ministry of Strategy and Finance: Seoul, Korea, 2013.
- Yasarer, L.M.W.; Sturm, B.S.M. Potential impacts of climate change on reservoir services and management approaches. Lake Reserv. Manag. 2016, 32, 13–26. [Google Scholar] [CrossRef]
- Haseena, M.; Muhammad, M.F.; Javed, A.; Arshad, S.; Asif, N.; Zulfiqar, S.; Hanif, J. Water pollution and human health. Environ. Risk Assess. Remediat. 2017, 1, 16–19. [Google Scholar] [CrossRef]
- Ahmed, T.; Scholz, M.; Al-Faraj, F.; Niaz, W. Water-related impacts of climate change on agriculture and subsequently on public health: A review for generalists with particular reference to Pakistan. Int. J. Environ. Res. Public Health 2016, 13, 1051. [Google Scholar] [CrossRef]







| Water Quality Parameters | Hz | Rz1 (CR) | Mz | Rz2 (PR) | Dz | |||||
|---|---|---|---|---|---|---|---|---|---|---|
| Min–Max | Mean ± SD CV | Min–Max | Mean ± SD CV | Min–Max | Mean ± SD CV | Min–Max | Mean ± SD CV | Min–Max | Mean ± SD CV | |
| pH | 6.9–9.7 | 8.41 ± 0.35 0.04 | 7.2–9 | 8.10 ± 0.32 0.04 | 7–9.2 | 8.14 ± 0.31 0.03 | 7.3–8.8 | 7.93 ± 0.33 0.04 | 6.5–9.2 | 7.86 ± 0.37 0.04 |
| WT (°C) | 0–29.6 | 14.42 ± 8.17 0.56 | 2.7–29.6 | 14.07 ± 6.67 0.47 | 0.2–31 | 14.38 ± 7.40 0.51 | 2.2–28.3 | 15.28 ± 7.70 0.50 | 0–32 | 15.26 ± 8.37 0.54 |
| EC (µS/cm) | 56–327 | 244 ± 125.8 0.51 | 2–390 | 245.6 ± 35.46 0.14 | 120–383 | 247.1 ± 30.68 0.12 | 139–345 | 243.1 ± 47.46 0.19 | 25–863 | 350.4 ± 77.2 0.36 |
| DO (mg/L) | 6.7–18.5 | 11.45 ± 2.13 0.18 | 3.9–20.6 | 10.32 ± 2.95 0.28 | 5.7–17.7 | 11.46 ± 2.06 0.18 | 4.3–14.4 | 10.25 ± 2.38 0.23 | 4–16.8 | 10.52 ± 2.37 0.22 |
| BOD (mg/L) | 0.1–4.3 | 1.10 ± 0.58 0.53 | 0.2–3.9 | 1.48 ± 0.63 0.42 | 0.3–4.1 | 1.29 ± 0.67 0.52 | 0.5–3.2 | 1.51 ± 0.67 0.44 | 0.3–12.8 | 2.12 ± 1.58 0.74 |
| COD (mg/L) | 1–3.18 | 3.03 ± 1.22 0.40 | 1.5–4.7 | 2.55 ± 0.46 0.18 | 1.1–10.6 | 3.51 ± 0.98 0.28 | 2.6–5.9 | 4.05 ± 0.68 0.16 | 1–12.6 | 5.09 ± 1.55 0.30 |
| TSS (mg/L) | 0.1–21.8 | 6.29 ± 6.77 0.66 | 0.2–209.3 | 4.06 ± 15.17 3.72 | 0.2–194.3 | 6.09 ± 12.21 2.0 | 1–36.2 | 5.66 ± 3.66 0.64 | 0.3–181 | 15.5 ± 23.97 1.54 |
| TOC (mg/L) | 0.1–8 | 1.95 ± 0.88 0.45 | 0.7–3.5 | 1.63 ± 0.50 0.31 | 0.5–6.7 | 2.14 ± 0.70 0.32 | 1.5–3.9 | 2.37 ± 0.43 0.18 | 1–7.8 | 2.75 ± 0.93 0.34 |
| TN (mg/L) | 0.98–5.59 | 2.94 ± 0.75 0.25 | 1.40–5.03 | 2.47 ± 0.51 0.20 | 1.07–5.85 | 2.52 ± 0.49 0.19 | 1.15–3.35 | 2.34 ± 0.50 0.21 | 1.14–14.77 | 4.13 ± 2.17 0.52 |
| TN:TP | 25.19–793 | 234.4 ± 199.8 0.85 | 16.52–629 | 272.7 ± 81.2 1.03 | 66.3–711 | 131.6 ± 102.2 0.77 | 16.3–198.3 | 81.55 ± 40.8 0.5 | 5.33–326.8 | 70.97 ± 44.23 0.62 |
| TP (µg/L) | 1–90 | 30.66 ± 7.21 0.91 | 1–147 | 15.03 ± 13.45 0.89 | 2–76 | 34.35 ± 5.14 0.48 | 9–179 | 36.34 ± 21.5 0.59 | 8–637 | 70.97 ± 113 1.15 |
| CHL-a (µg/L) | 0.1–34.3 | 3.83 ± 4.15 0.8 | 0.6–67.4 | 3.32 ± 5.08 1.2 | 0.4–62.3 | 7.32 ± 1.52 0.56 | 1.1–45.1 | 14.47 ± 8.29 0.57 | 0.5–145 | 16.54 ± 15.64 0.94 |
| Water Quality Variables | pH | WT (°C) | EC (µS/cm) | DO (mg/L) | BOD (mg/L) | COD (mg/L) | TSS (mg/L) | TOC (mg/L) | TN (mg/L) | TN:TP | TP (µg/L) | CHL-a (µg/L) |
|---|---|---|---|---|---|---|---|---|---|---|---|---|
| pH | 1.00 | |||||||||||
| WT (°C) | −0.31 | 1.00 | ||||||||||
| EC (µS/cm) | −0.51 | 0.52 | 1.00 | |||||||||
| DO (mg/L) | 0.80 | −0.05 | −0.41 | 1.00 | ||||||||
| BOD (mg/L) | −0.58 | 0.45 | 0.65 | −0.41 | 1.00 | |||||||
| COD (mg/L) | −0.72 | 0.67 | 0.71 | −0.46 | 0.70 | 1.00 | ||||||
| TSS (mg/L) | −0.49 | 0.55 | 0.94 | −0.33 | 0.61 | 0.78 | 1.00 | |||||
| TOC (mg/L) | −0.59 | 0.51 | 0.60 | −0.40 | 0.82 | 0.87 | 0.64 | 1.00 | ||||
| TN (mg/L) | −0.57 | 0.46 | 0.80 | −0.50 | 0.80 | 0.80 | 0.80 | 0.83 | 1.00 | |||
| TN:TP | 0.65 | −0.44 | −0.30 | 0.33 | −0.44 | −0.78 | −0.38 | −0.72 | −0.38 | 1.00 | ||
| TP (µg/L) | −0.69 | 0.44 | 0.74 | −0.52 | 0.90 | 0.84 | 0.73 | 0.89 | 0.92 | −0.58 | 1.00 | |
| CHL-a (µg/L) | −0.68 | 0.63 | 0.57 | −0.38 | 0.59 | 0.92 | 0.65 | 0.75 | 0.66 | −0.72 | 0.66 | 1.00 |
| Sites | Empirical Models | Equations | R2 | p-Value |
|---|---|---|---|---|
| Hz | CHL-a-TP | L.(CHL-a) = 0.35 − 0.11 ∗ L.(TP) | 0.02 | 0.05 |
| CHL-a-TN | L.(CHL-a) = −0.55 + 2.31 ∗ L.(TN) | 0.26 | <0.001 | |
| Rz1 (CR) | CHL-a-TP | L.(CHL-a) = −0.52 − 0.53 ∗ L.(TP) | 0.16 | 0.02 |
| CHL-a-TN | L.(CHL-a) = 0.18 + 0.71 ∗ L.(TN) | 0.03 | 0.05 | |
| Mz | CHL-a-TP | L.(CHL-a) = 1.89 + 0.72 ∗ L.(TP) | 0.33 | <0.001 |
| CHL-a-TN | L.(CHL-a) = 0.13 + 1.67 ∗ L.(TN) | 0.07 | 0.02 | |
| Rz2 (PR) | CHL-a-TP | L.(CHL-a) = 1.69 + 0.37 ∗ L.(TP) | 0.11 | <0.001 |
| CHL-a-TN | L.(CHL-a) = 1.05 + 0.27 ∗ L.(TN) | 0.01 | <0.001 | |
| Dz | CHL-a-TP | L.(CHL-a) = 1.37 + 0.16 ∗ L.(TP) | 0.10 | <0.001 |
| CHL-a-TN | L.(CHL-a) = −0.87 + 0.53 ∗ L.(TN) | 0.24 | <0.001 | |
| Entire River | CHL-a-TP | L.(CHL-a) = −0.43 + 0.81 ∗ L.(TP) | 0.47 | <0.001 |
| CHL-a-TN | L.(CHL-a) = 0.25 + 1.26 ∗ L.(TN) | 0.22 | <0.001 |
Publisher’s Note: MDPI stays neutral with regard to jurisdictional claims in published maps and institutional affiliations. |
© 2022 by the authors. Licensee MDPI, Basel, Switzerland. This article is an open access article distributed under the terms and conditions of the Creative Commons Attribution (CC BY) license (https://creativecommons.org/licenses/by/4.0/).
Share and Cite
Mamun, M.; Kim, J.Y.; Kim, J.-E.; An, K.-G. Longitudinal Chemical Gradients and the Functional Responses of Nutrients, Organic Matter, and Other Parameters to the Land Use Pattern and Monsoon Intensity. Water 2022, 14, 237. https://doi.org/10.3390/w14020237
Mamun M, Kim JY, Kim J-E, An K-G. Longitudinal Chemical Gradients and the Functional Responses of Nutrients, Organic Matter, and Other Parameters to the Land Use Pattern and Monsoon Intensity. Water. 2022; 14(2):237. https://doi.org/10.3390/w14020237
Chicago/Turabian StyleMamun, Md, Ji Yoon Kim, Jeong-Eun Kim, and Kwang-Guk An. 2022. "Longitudinal Chemical Gradients and the Functional Responses of Nutrients, Organic Matter, and Other Parameters to the Land Use Pattern and Monsoon Intensity" Water 14, no. 2: 237. https://doi.org/10.3390/w14020237
APA StyleMamun, M., Kim, J. Y., Kim, J.-E., & An, K.-G. (2022). Longitudinal Chemical Gradients and the Functional Responses of Nutrients, Organic Matter, and Other Parameters to the Land Use Pattern and Monsoon Intensity. Water, 14(2), 237. https://doi.org/10.3390/w14020237

