Research on Financial Support, Technological Improvement and Marine Economic Development for China’s Coastal Regions
Abstract
:1. Introduction
2. Literature Review
2.1. The Relationship between Financial Support and Marine Economic Efficiency
2.2. The Relationship between Technological Improvement and Marine Economic Efficiency
2.3. The Relationship between Financial Support and Technological Innovation
3. Analysis of the Impact Mechanism of Financial Support and Technological Improvement on the Development of Marine Economy
3.1. Financial Support to Promote the Development of Marine Economy by the Utilization of Marine Capital
3.2. Technological Improvement in Marine Economic Efficiency through Technological Innovation and Scientific Research Person Training
3.3. Financial Supports Promote Steady Growth of Marine Economic Efficiency by Strengthening Capital Investment in Scientific Research and Technological Innovation
4. Empirical Research
4.1. Data Sources
4.2. Variable Selection
4.2.1. Financial Support Indicators
4.2.2. Technology Innovation Indicators
4.2.3. Marine Economic Efficiency Indicators
4.3. Model
4.3.1. SBM-DEA Model
4.3.2. BVAR Model
4.4. Model Correlation Analysis
4.4.1. Marine Economic Development Efficiency Analysis
4.4.2. T-Distribution and Descriptive Statistics
4.4.3. Smoothing Test
4.4.4. Co-Integration Test
4.4.5. GMM Test
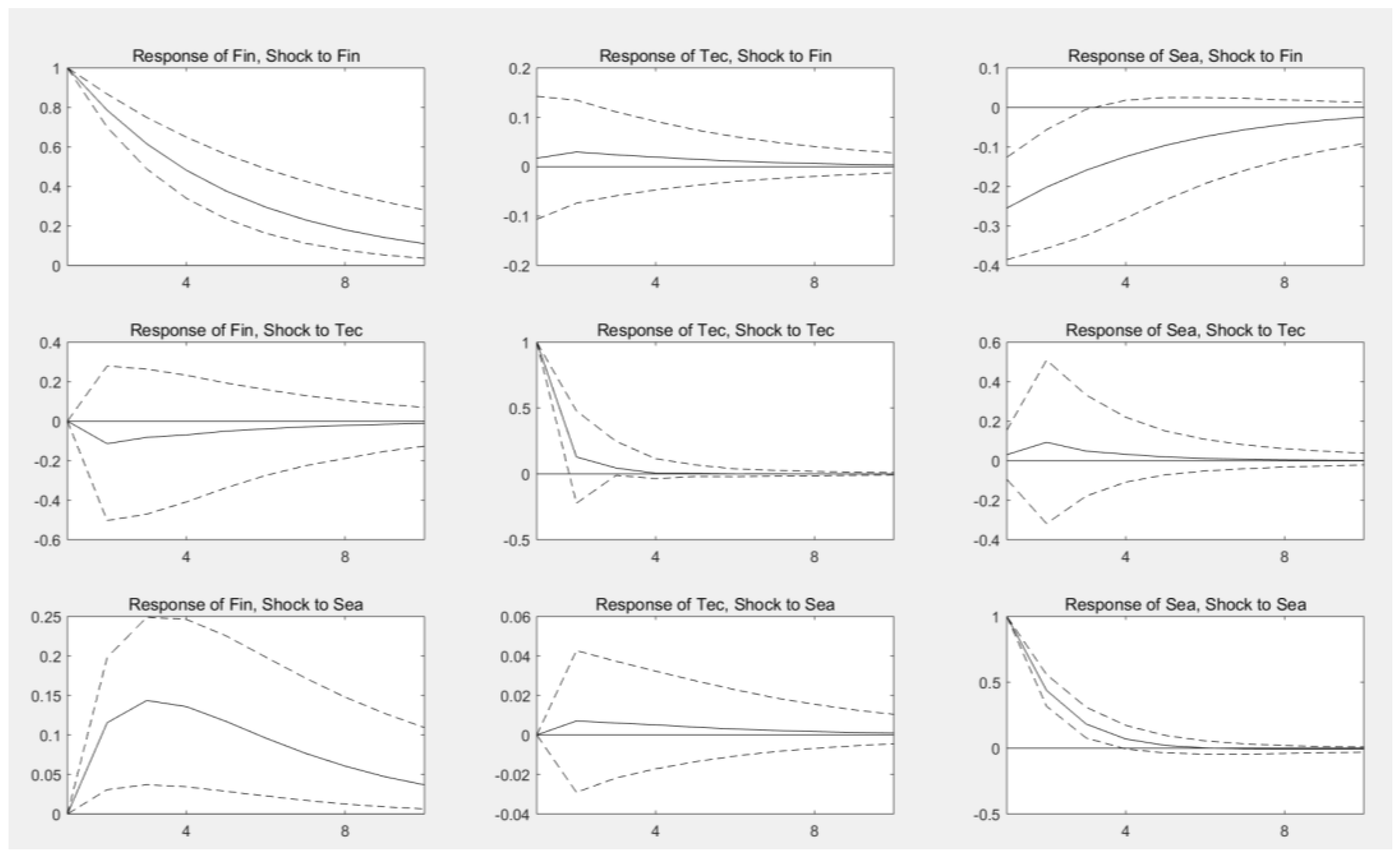
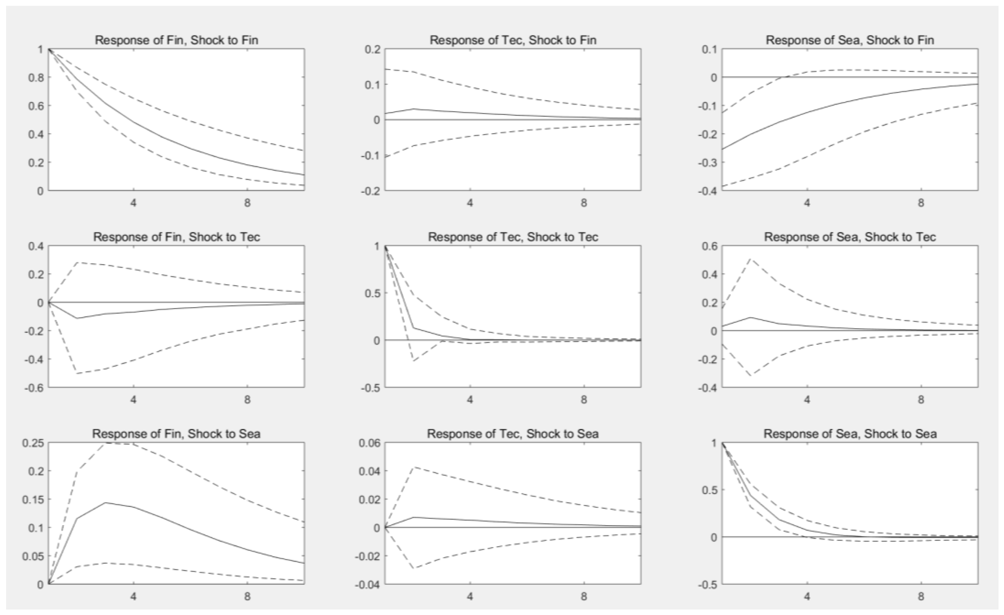
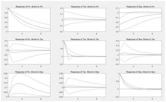
4.4.6. Impulse Response Function Analysis
5. Conclusions and Recommendations
5.1. Science and Technology to Promote the Development of Marine Wealth Management
5.2. Financial Supports for the Development of Marine Enterprises
5.2.1. The Volume of Foreign Trade Cargo Transportation in Marine Logistics Industry
5.2.2. Accelerate the Pace of Science and Technology Empowerment and Enhance the Strength of Enterprise Science and Technology
5.3. Insurance against Marine Business Services to Promote the Development of Marine Economy
5.4. Tourism Cultures
5.5. The Development of Marine Biology Will Generate a New Industrial Revolution in the Development of Marine Economy
Author Contributions
Funding
Data Availability Statement
Conflicts of Interest
References
- Sheng, X.U.; Lu, B.; Yue, Q. Impact of sci-tech finance on the innovation efficiency of China’s marine industry. Mar. Policy 2021, 133, 104708. [Google Scholar] [CrossRef]
- Wang, S.; Lu, B.; Yin, K. Financial development, productivity, and high-quality development of the marine economy. Mar. Policy 2021, 130, 104553. [Google Scholar] [CrossRef]
- Shao, Q. Nonlinear effects of marine economic growth and technological innovation on marine pollution: Panel threshold analysis for China’s 11 coastal regions. Mar. Policy 2020, 121, 104110. [Google Scholar] [CrossRef]
- Shuhong, W.; Huike, W. Factor market distortion, technological innovation, and environmental pollution. Environ. Sci. Pollut. Res. 2022, 29, 37. [Google Scholar] [CrossRef]
- Su, C.-W.; Song, Y.; Umar, M. Financial aspects of marine economic growth: From the perspective of coastal provinces and regions in China. Ocean Coast. Manag. 2021, 204, 105550. [Google Scholar] [CrossRef]
- Ma, J. Influence of the Evolution of Marine Industry Structure on the Green Total Factor Productivity of Marine Economy. Water 2021, 13, 1108. [Google Scholar]
- Wang, S.; Yi, X. Can the financial industry ‘Anchor’ carbon emission reductions? The mediating and moderating effects of the technology market. Energy Environ. 2022, 0958305X211061810. [Google Scholar] [CrossRef]
- Pan, J.; Yan, X.Q. Marine industy development and effective financial support: Taking Zhejiang province as an example. Sci.-Technol. Manag. 2012, 14, 64–67+71. [Google Scholar] [CrossRef]
- An, H.; Li, J. Financial Support for Marine Economic Development and Industrial Structure Optimization. J. Coast. Res. 2020, 110 (Suppl. 1), 171–174. [Google Scholar] [CrossRef]
- Wang, S.; Chen, H.; Yin, K. The employment effect of Chinese industrial enterprises embedded in environmental cost-adjusted global value chains. Environ. Sci. Pollut. Res. 2022, 29, 18160–18176. [Google Scholar] [CrossRef]
- He, H.; Tian, D.; Yi, S.; Liu, W. Analysis of Financial Demand and Financial Support Model for the Development of Marine Economy. J. Coast. Res. 2020, 107 (Suppl. 1), 77. [Google Scholar] [CrossRef]
- Yao, X.Y.; Zhou, J. A Study on Strategy of Coordinated Development between Zhejiang Financial Industry and Marine Economy. J. Zhejiang Bus. Technol. Inst. 2012, 11, 5–8. [Google Scholar]
- Liang, Y.; Guo, L.; Li, J.; Zhang, S.; Fei, X. The Impact of Trade Facilitation on Cross-Border E-Commerce Transactions: Analysis Based on the Marine and Land Cross-Border Logistical Practices between China and Countries along the “Belt and Road”. Water 2021, 13, 3567. [Google Scholar] [CrossRef]
- Wang, S.; Chen, S.; Zhang, H. Effect of income and energy efficiency on natural capital demand. Environ. Sci. Pollut. Res. 2021, 28, 45402–45413. [Google Scholar] [CrossRef] [PubMed]
- Lv, Z.; Li, B. Evaluation of Coupling and Coordinated Development of Marine Economic Policy and Marine Service Industry. E3S Web Conf. 2021, 235, 01011. [Google Scholar] [CrossRef]
- Shao, Q.; Chen, L.; Zhong, R.; Weng, H. Marine economic growth, technological innovation, and industrial upgrading: A vector error correction model for China. Ocean Coast. Manag. 2021, 200, 105481. [Google Scholar] [CrossRef]
- Davies, M.; Lin, J. Shanghai Jinchang Dredging Engineering Co., Ltd. v. Zhejiang Tianhai Marine Economic & Technology Development Co., Ltd. In Chinese Maritime Cases Series; Springer: Berlin, Heidelberg, 2021. [Google Scholar] [CrossRef]
- Yu, D.; Zou, Z. Empirical Research on the Interaction between Marine Scientific and Technological Innovation and Marine Economic Development. J. Coast. Res. 2020, 108, 7–11. [Google Scholar] [CrossRef]
- Wang, S.; Chen, S.; Zhang, H.; Song, M. The Model of Early Warning for China’s Marine Ecology-Economy Symbiosis Security. Mar. Policy 2021, 128, 104476. [Google Scholar] [CrossRef]
- Merey, S. Technically recoverable methane hydrate potential of the marine regions in the exclusive economic zone of Turkey. In Proceedings of the IV International Scientific and Technical Conference-Gas Hydrate Technologies: Global Trends, Challenges and Horizons, Dnipro, Ukraine, 11–12 November 2020. [Google Scholar]
- Ren, W.; Wang, Q.; Ji, J. Research on China’s marine economic growth pattern: An empirical analysis of China’s eleven coastal regions. Mar. Policy 2018, 87, 158–166. [Google Scholar] [CrossRef]
- Carvalho, A.B.; Moraes, G. The Brazilian coastal and marine economies: Quantifying and measuring marine economic flow by input-output matrix analysis. Ocean Coast. Manag. 2021, 213, 105885. [Google Scholar] [CrossRef]
- Tao, W.; He, G.-S.; Deng, L.-J.; Rui, Z.; Lu, Y.; Yue, Y. The framework design and empirical study of China’s marine ecological-economic accounting. Ecol. Indic. 2021, 132, 108325. [Google Scholar] [CrossRef]
- Xu, X.; Cui, Y. Is Financial Structure Good for Marine Economic Growth? An Evidence from China. J. Coast. Res. 2020, 112 (Suppl. 1), 311–314. [Google Scholar] [CrossRef]
- Xiu, J.; Wang, W. Analysis of Financial Demand and Financial Support Mode for Marine Economic Development. J. Coast. Res. 2020, 115 (Suppl. 1), 214. [Google Scholar] [CrossRef]
- Wu, H.; Fu, C. The Influence of Marine Port Finance on Port Economic Development. J. Coast. Res. 2020, 103 (Suppl. 1), 163. [Google Scholar] [CrossRef]
- Yan, Y.; Tsydypova, A.; Zhang, Y. Evaluation of Marine Economic Efficiency of China’s Coastal Provinces Based on DEA Model. J. Coast. Res. 2020, 112 (Suppl. 1), 315–318. [Google Scholar] [CrossRef]
- Tian, J.; Xia, Q.; Wang, P. Comprehensive Management and Coordination Mechanism of Marine Economy. Math. Probl. Eng. 2021, 2021, 6616412. [Google Scholar] [CrossRef]
- Song, Y.; Chen, B.; Tao, R.; Su, C.-W.; Umar, M. Too much or less? Financial development in Chinese marine economic growth. Reg. Stud. Mar. Sci. 2020, 37, 101324. [Google Scholar] [CrossRef]
- Yan, X.; Shi, X.; Fang, X. The internal dynamics and regional differences of China’s marine economic evolution based on comprehensive evaluation—ScienceDirect. Alex. Eng. J. 2022, 61, 7571–7583. [Google Scholar] [CrossRef]
- Wang, Y.; Sun, C.; Zou, W. Study on the Interactive Relationship Between Marine Economic Growth and Marine Environmental Pressure in China. Environ. Resour. Econ. 2021, 79, 117–133. [Google Scholar] [CrossRef]
- Wen, M.; Liu, C.; Mamonov, K.A.; Du, J. Measurement of Coordinated and Coupled Development and Evaluation of Sustainable Development for Marine Economic-Ecological Complex System. Discret. Dyn. Nat. Soc. 2021, 2021, 2043635. [Google Scholar] [CrossRef]
- Tan, E.C.D.; Hawkins, T.R.; Lee, U.; Tao, L.; Meyer, P.A.; Wang, M.; Thompson, T. Biofuel Options for Marine Applications: Technoeconomic and Life-Cycle Analyses. Environ. Sci. Technol. 2021, 55, 7561–7570. [Google Scholar] [CrossRef] [PubMed]
- Lee, J.-W.; Chang, Y.-T.; Park, H.-S.; Jeong, J.-B. Evaluating economic and environmental efficiency of global airlines: A SBM-DEA approach. Transp. Res. Part D Transp. Environ. 2014, 27, 46–50. [Google Scholar]
- Xuan, H.F. Analysis of Macroeconomic Factors Affecting Stock Price in China Based on BVAR Model. Master’s Thesis, Jinan University, Guangzhou, China, 2014. [Google Scholar]
- Hu, C. Research on the Relationship between Interest Rate, Exchange Rate and Stock Market Based on BVAR. Master’s Thesis, Hunan University, Changsha, China, 2016. [Google Scholar]
- Wang, S.; Xing, L.; Chen, H. Impact of marine industrial structure on environmental efficiency. Manag. Environ. Qual. Int. J. 2020, 31, 111–129. [Google Scholar] [CrossRef]
- Lin, T. Research on High-Quality Development of Guangdong-Hong Kong-Macao Greater Bay Area Marine Economy. In Proceedings of the 3rd Guangzhou International Forum on Finance (GZIFF 2020), Guangzhou, China, 19–22 November 2020; pp. 198–207. [Google Scholar] [CrossRef]
- Segura, E.; Morales, R.; Somolinos, J.A. Economic-financial modeling for marine current harnessing projects. Energy 2018, 158, 859–880. [Google Scholar] [CrossRef]
- Nguyen, H.H.; Phan, L.N.; Bui, T.T. Credit Solutions for Sustainable Marine Economic Development in Tra Vinh Province: The Case of Aquaculture. Sci. J. Tra Vinh Univ. 2020, 1, 129–136. [Google Scholar] [CrossRef]
- Wang, H. A Cointegration Test and Granger Causality of Ocean Tourism and Marine Economic Growth. J. Coast. Res. 2020, 112 (Suppl. 1), 148–151. [Google Scholar] [CrossRef]
- Zhai, S. Spatio-Temporal Differences of the Contributions of Marine Industrial Structure Changes to Marine Economic Growth. J. Coast. Res. 2020, 103 (Suppl. 1), 1–5. [Google Scholar] [CrossRef]
- Huynh, H.V.; Cong, T.N.; Hao, P.B. Marine Economic Development Solutions Associated with New Rural Construction Planning for Coastal Communes in Tra Vinh Province. Sci. J. Tra Vinh Univ. 2020, 1, 149–158. [Google Scholar] [CrossRef]
- Jin, Y.; Shi, X. A Study on the Innovation of Marine Economic Management System. J. Coast. Res. 2020, 107 (Suppl. 1), 37. [Google Scholar] [CrossRef]
- Song, M.; Wang, Q.; Wang, S.; Zhou, L. Specialization and Diversification of the Marine Industry and Marine Economic Growth: An Example from Chinese Coastal Areas. J. Coast. Res. 2021, 37, 203–215. [Google Scholar] [CrossRef]
- Chen, Y.; Cheng, Q. Investment Heterogeneity among Sectors and Asymmetric Effects of Monetary Policies: A Case Study of China’s Marine Economic Development Demonstration Zone. J. Coast. Res. 2020, 111 (Suppl. 1), 198–203. [Google Scholar] [CrossRef]
- Cao, Y.; Ding, J. The Optimization of China’s Bank Supervision Path Based on Cost-Benefit Perspective in the Context of Marine Economic Development. J. Coast. Res. 2020, 107 (Suppl. 1), 149. [Google Scholar] [CrossRef]
- Zhang, Q. Regional Marine Economic Development and Gray Prediction Based on Comprehensive Evaluation System. J. Coast. Res. 2020, 112 (Suppl. 1), 191–194. [Google Scholar] [CrossRef]
- Zhao, J.; Xiu, Y. An Empirical Study on Marine Economic Efficiency of the Liaoning Coastal Economic Belt. J. Coast. Res. 2020, 106 (Suppl. 1), 325. [Google Scholar] [CrossRef]
- Chen, Z. Financial Support and Risk Management Based on Regional Marine Economic Prediction. J. Coast. Res. 2020, 107 (Suppl. 1), 137. [Google Scholar] [CrossRef]
- Xu, S.; Sun, P.; Yin, K. Innovation Driving Effect of Marine Economic Structure Transformation. J. Coast. Res. 2020, 115 (Suppl. 1), 184. [Google Scholar] [CrossRef]
- Liu, Y. Construction of Marine Economic Forecast Management System Based on Artificial Intelligence. J. Coast. Res. 2020, 112 (Suppl. 1), 228–230. [Google Scholar] [CrossRef]
- Jarvis, R.M.; Young, T. Key research priorities for the future of marine science in New Zealand. Mar. Policy 2019, 106, 103539. [Google Scholar] [CrossRef]
- Su, T. Research on the Change of Marine Industrial Structure in Marine Economic Zone to Marine Economic Growth. J. Coast. Res. 2020, 106 (Suppl. 1), 49. [Google Scholar] [CrossRef]
- Tao, W.; Guang-Shun, H.; Jing, G.; Yue, Y.; Lin-Lin, L. Energy consumption and economic growth in China’s marine economic zones—An estimation based on partial linear model. Energy 2020, 205, 118028. [Google Scholar] [CrossRef]
- Gao, L.; Bao, W.; Shi, L. Governance mechanism and performance of marine eco-economic system: Evidence from China. Ecol. Indic. 2022, 136, 108668. [Google Scholar] [CrossRef]
- Iannacone, J.; Príncipe, F.; Minaya, D.; Panduro, G.; Carhuapoma, M.; Alvarino, L. Microplastics in marine fishes of economic importance in Lima, Peru. Rev. Investig. Vet. Peru 2021, 32, 20038. [Google Scholar] [CrossRef]
- Surís-Regueiro, J.C.; Santiago, J.L.; González-Martínez, X.M.; Garza-Gil, M.D. An applied framework to estimate the direct economic impact of Marine Spatial Planning. Mar. Policy 2021, 127, 104443. [Google Scholar] [CrossRef]
- Peng, D.; Yang, Q.; Yang, H.-J.; Liu, H.; Zhu, Y.; Mu, Y. Analysis on the relationship between fisheries economic growth and marine environmental pollution in China’s coastal regions. Sci. Total Environ. 2020, 713, 136641. [Google Scholar] [CrossRef] [PubMed]
- Lin, X.; Chen, C. Research on Coupled Model of the Marine Energy-Economic-Environment System. J. Coast. Res. 2020, 106 (Suppl. 1), 89. [Google Scholar] [CrossRef]
- Wu, J.; Qiao, Y.; Xu, Y.; Xiao, M.; Feng, H. Analysis and Optimization of Factors Influencing Marine Tourism Economic Development of Beibu Gulf. J. Coast. Res. 2020, 106 (Suppl. 1), 73. [Google Scholar] [CrossRef]
- Li, D.; Yu, X. Analysis and Optimization of Influencing Factors of Zhuhai Marine Tourism Economic Development. J. Coast. Res. 2020, 106 (Suppl. 1), 101. [Google Scholar] [CrossRef]
- Liu, P. Marine Ecological Construction and Economic Coordination in Beibu Gulf City Cluster of China. J. Coast. Res. 2020, 109 (Suppl. 1), 19–26. [Google Scholar] [CrossRef]
- Chávez, C.; Eggert, H.; Reimer, M. Economics of Marine Resources in the Global South—Meeting the Challenge of Agenda 2030. Mar. Resour. Econ. 2021, 36, 307–318. [Google Scholar] [CrossRef]
- Liu, Y.L.; Li, X. An empirical analysis of the relationship between China’s marine economy and marine environment. Appl. Nanosci. 2022. [Google Scholar] [CrossRef]
- Ma, J.; Shang, Y.; Zhang, H. Application of Bayesian Vector Autoregressive Model in Regional Economic Forecast. Complexity 2021, 2021, 9985072. [Google Scholar] [CrossRef]







| 2009 | 2010 | 2011 | 2012 | 2013 | 2014 | 2015 | 2016 | 2017 | 2018 | |
|---|---|---|---|---|---|---|---|---|---|---|
| Tianjin | 2.21 | 2.22 | 2.23 | 2.28 | 2.33 | 2.40 | 2.56 | 2.63 | 2.54 | 2.69 |
| Hebei | 1.40 | 1.41 | 1.56 | 1.69 | 1.83 | 2.01 | 2.26 | 2.33 | 2.40 | 2.43 |
| Liaoning | 1.93 | 1.56 | 2.01 | 2.13 | 2.20 | 2.19 | 2.57 | 2.23 | 2.23 | 2.18 |
| Shanghai | 2.37 | 2.41 | 2.41 | 2.50 | 2.53 | 2.50 | 2.62 | 2.62 | 2.66 | 2.69 |
| Jiangsu | 1.60 | 1.52 | 1.67 | 1.77 | 1.83 | 1.88 | 1.92 | 1.96 | 1.99 | 1.95 |
| Zhejiang | 2.32 | 2.10 | 2.20 | 2.33 | 2.40 | 2.48 | 2.55 | 2.51 | 2.44 | 2.39 |
| Fujian | 1.54 | 1.52 | 1.78 | 1.92 | 2.00 | 2.12 | 2.22 | 2.20 | 2.21 | 2.11 |
| Shandong | 1.43 | 1.54 | 1.50 | 1.52 | 1.65 | 1.72 | 1.82 | 1.86 | 1.87 | 1.88 |
| Guangdong | 1.93 | 2.08 | 1.55 | 1.28 | 1.72 | 1.77 | 1.79 | 1.95 | 2.03 | 2.06 |
| Guangxi | 2.26 | 2.29 | 1.98 | 2.13 | 2.04 | 2.09 | 2.24 | 2.32 | 2.61 | 2.56 |
| Hainan | 1.38 | 2.06 | 2.21 | 2.44 | 2.66 | 2.72 | 2.97 | 3.17 | 3.29 | 3.33 |
| Indicator 1 | Indicator 2 | Indicator 3 |
|---|---|---|
| Inputs: | Capital: | Total social fixed investment (billion yuan) |
| Labor: | Employment of sea-related personnel (people) | |
| Expected Output: | Gross marine product (billion yuan) | |
| Non-Expected Output: | Wastewater (million tons) | |
| Waste residue (million tons) | ||
| Exhaust gas (million tons) | ||
| Distribution of T_i: | Min | 5% | 25% | 50% | 75% | 95% | Max |
|---|---|---|---|---|---|---|---|
| 10 | 10 | 10 | 10 | 10 | 10 | 10 |
| Variable | Observation | Mean | Standard Deviation | Sum | Minimum | Median | Maximum |
|---|---|---|---|---|---|---|---|
| Fin | 110 | 2.1425 | 0.4040 | 235.68 | 1.27565 | 2.1810 | 3.3298 |
| Tec | 110 | 0.0319 | 0.0209 | 3.51 | 0.00707 | 0.0285 | 0.11022 |
| Sea | 110 | 0.3627 | 0.4214 | 39.90 | 0 | 0.15794 | 1 |
| Variables | Fin | Tec | Sea |
|---|---|---|---|
| Statistic | −3.8661 *** | −5.3900 *** | −3.6588 *** |
| p-Value | (0.0001) | (0.000) | (0.0001) |
| Statistic | p-Value | |
|---|---|---|
| Kao Test | −3.3859 *** | 0.0004 |
| Pedroni Test | −4.7248 *** | 0.0000 |
| Westerlund Test | −0.0074 | 0.4970 |
| Statistic | p-Value | ||
|---|---|---|---|
| lnFin | Sea | 1.65 * | 0.099 |
| lnFin | 5.81 *** | 0.000 | |
| lnTec | −2.79 ** | 0.005 | |
| lnTec | Sea | 0.88 | 0.376 |
| lnFin | 3.6 *** | 0.000 | |
| lnTec | −1.36 | 0.173 | |
| Sea | Sea | 3.93 *** | 0.000 |
| lnFin | 1.22 | 0.222 | |
| lnTec | −1.30 | 0.195 |
| Fee Type | Fee (CNY) |
|---|---|
| Terminal Operation Fee | 566 |
| VGM filing fee | 164 |
| Document Fee | 50 |
| Document processing fee | 450 |
| Unloading Fee | 50 |
| Equipment handover order | 50 |
| Booking Fee | 65 |
| Operating fee | 100 |
| Sea freight | 50 |
| Packing fee | 2840 |
| Customs clearance fee | 350 |
| Handling fee | 200 |
| Labor packing fee | 110 |
| Pallet fee | 100/PCS |
Publisher’s Note: MDPI stays neutral with regard to jurisdictional claims in published maps and institutional affiliations. |
© 2022 by the authors. Licensee MDPI, Basel, Switzerland. This article is an open access article distributed under the terms and conditions of the Creative Commons Attribution (CC BY) license (https://creativecommons.org/licenses/by/4.0/).
Share and Cite
Liang, Y.; Zhang, S.; Li, J.; Guo, L. Research on Financial Support, Technological Improvement and Marine Economic Development for China’s Coastal Regions. Water 2022, 14, 2740. https://doi.org/10.3390/w14172740
Liang Y, Zhang S, Li J, Guo L. Research on Financial Support, Technological Improvement and Marine Economic Development for China’s Coastal Regions. Water. 2022; 14(17):2740. https://doi.org/10.3390/w14172740
Chicago/Turabian StyleLiang, Yingying, Shuang Zhang, Jianlu Li, and Liangliang Guo. 2022. "Research on Financial Support, Technological Improvement and Marine Economic Development for China’s Coastal Regions" Water 14, no. 17: 2740. https://doi.org/10.3390/w14172740
APA StyleLiang, Y., Zhang, S., Li, J., & Guo, L. (2022). Research on Financial Support, Technological Improvement and Marine Economic Development for China’s Coastal Regions. Water, 14(17), 2740. https://doi.org/10.3390/w14172740
