Nutrient Thresholds Required to Control Eutrophication: Does It Work for Natural Alkaline Lakes?
Abstract
1. Introduction
2. Materials and Methods
2.1. Study Area and Field Method
2.2. Nutrient Limitation Bioassay Experiments
2.3. Effect of pH Range on the Growth of Phytoplankton
3. Results and Discussion
3.1. Seasonal Variation of Phytoplankton Density and Water Quality
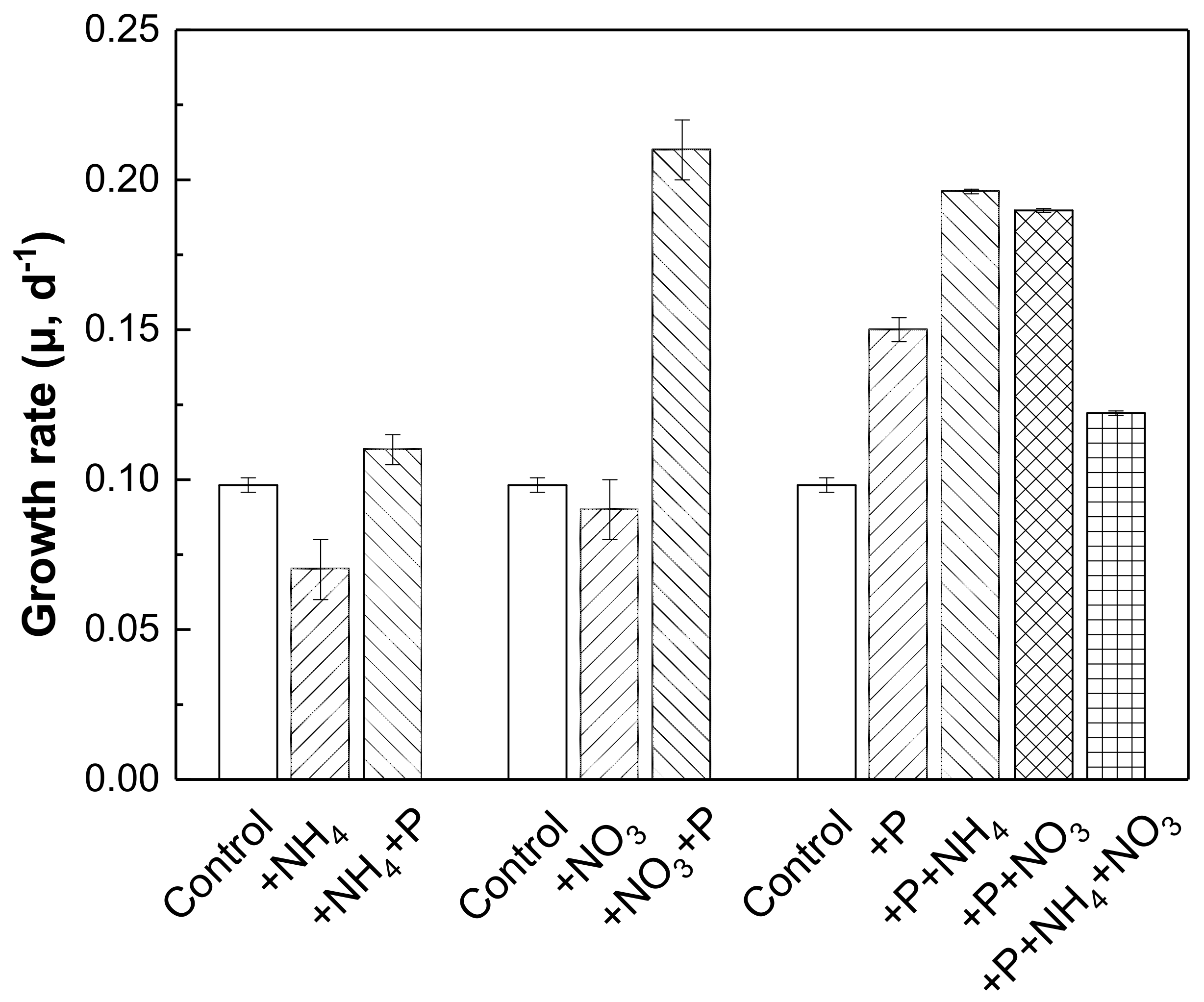
3.2. Nutrient Thresholds Required to Control Eutrophication in Chenghai Lake
3.3. Effect of High Alkalinity Background on Nutrient Thresholds
4. Conclusions
Supplementary Materials
Author Contributions
Funding
Conflicts of Interest
References
- Paerl, H.W.; Xu, H.; McCarthy, M.J.; Zhu, G.; Qin, B.; Li, Y.; Gardner, W.S. Controlling harmful cyanobacterial blooms in a hyper-eutrophic lake (Lake Taihu, China): The need for a dual nutrient (N & P) management strategy. Water Res. 2011, 45, 1973–1983. [Google Scholar]
- Zhang, L.; Wang, Z.S.; Wang, N.; Gu, L.; Sun, Y.F.; Huang, Y.; Chen, Y.F.; Yang, Z. Mixotrophic Ochromonas Addition Improves the Harmful Microcystis-Dominated Phytoplankton Community in In Situ Microcosms. Environ. Sci. Technol. 2020, 54, 4609–4620. [Google Scholar] [CrossRef]
- Wang, H.; Zhang, Z.Z.; Liang, D.F.; Du, H.B.; Pang, Y.; Hu, K.M.; Wang, J.J. Separation of wind’s influence on harmful cyanobacterial blooms. Water Res. 2016, 98, 280–292. [Google Scholar] [CrossRef]
- Olson, N.E.; Cooke, M.E.; Shi, J.H.; Birbeck, J.A.; Westrick, J.A.; Ault, A.P. Harmful Algal Bloom Toxins in Aerosol Generated from Inland Lake Water. Environ. Sci. Technol. 2020, 54, 4769–4780. [Google Scholar] [CrossRef]
- Wang, H.; Xu, C.; Liu, Y.; Jeppesen, E.; Svenning, J.-C.; Wu, J.; Zhang, W.; Zhou, T.; Wang, P.; Nangombe, S.; et al. From unusual suspect to serial killer: Cyanotoxins boosted by climate change may jeopardize megafauna. Innovation 2021, 2, 100092. [Google Scholar] [CrossRef]
- Huisman, J.; Codd, G.A.; Paerl, H.W.; Ibelings, B.W.; Verspagen, J.M.H.; Visser, P.M. Cyanobacterial blooms. Nat. Rev. Microbiol. 2018, 16, 471–483. [Google Scholar] [CrossRef]
- Su, X.M.; Steinman, A.D.; Tang, X.M.; Xue, Q.J.; Zhao, Y.Y.; Xie, L.Q. Response of bacterial communities to cyanobacterial harmful algal blooms in Lake Taihu, China. Harmful Algae 2017, 68, 168–177. [Google Scholar] [CrossRef]
- Wang, H.J.; Wang, H.Z.; Liang, X.M.; Wu, S.K. Total phosphorus thresholds for regime shifts are nearly equal in subtropical and temperate shallow lakes with moderate depths and areas. Freshw. Biol. 2014, 59, 1659–1671. [Google Scholar] [CrossRef]
- Kwak, D.-H.; Kim, M.-S. Flotation of algae for water reuse and biomass production: Role of zeta potential and surfactant to separate algal particles. Water Sci. Technol. 2015, 72, 762–769. [Google Scholar] [CrossRef][Green Version]
- Cao, X.F.; Wang, J.; Liao, J.Q.; Sun, J.H.; Huang, Y. The threshold responses of phytoplankton community to nutrient gradient in a shallow eutrophic Chinese lake. Ecol. Indic. 2016, 61, 258–267. [Google Scholar] [CrossRef]
- Ma, S.N.; Wang, H.J.; Wang, H.Z.; Li, Y.; Liu, M.; Liang, X.M.; Yu, Q.; Jeppesen, E.; Søndergaard, M. High ammonium loading can increase alkaline phosphatase activity and promote sediment phosphorus release: A two-month mesocosm experiment. Water Res. 2018, 145, 388–397. [Google Scholar] [CrossRef]
- Ma, S.N.; Wang, H.J.; Wang, H.Z.; Zhang, M.; Li, Y.; Bian, S.-J.; Liang, X.-M.; Søndergaard, M.; Jeppesen, E. Effects of nitrate on phosphorus release from lake sediments. Water Res. 2021, 194, 116894. [Google Scholar] [CrossRef]
- Xu, H.; Paerl, H.W.; Qin, B.; Zhu, G.; Hall, N.S.; Wu, Y. Determining Critical Nutrient Thresholds Needed to Control Harmful Cyanobacterial Blooms in Eutrophic Lake Taihu, China. Environ. Sci. Technol. Environ. Sci. Technol. 2015, 49, 1051–1059. [Google Scholar] [CrossRef]
- Huo, S.L.; Ma, C.Z.; Xi, B.D.; Zhang, Y.L.; Wu, F.C.; Liu, H.L. Development of methods for establishing nutrient criteria in lakes and reservoirs: A review. J. Environ. Sci. 2018, 67, 54–66. [Google Scholar] [CrossRef]
- Newell, S.E.; Davis, T.W.; Johengen, T.H.; Gossiaux, D.; Burtner, A.; Palladino, D.; McCarthy, M.J. Reduced forms of nitrogen are a driver of non-nitrogen-fixing harmful cyanobacterial blooms and toxicity in Lake Erie. Harmful Algae 2019, 81, 86–93. [Google Scholar] [CrossRef]
- Yuan, W.Z.; Su, X.S.; Cui, G.; Wang, H. Microbial community structure in hypolentic zones of a brine lake in a desert plateau, China. Environ. Earth Sci. 2016, 75, 1–14. [Google Scholar] [CrossRef]
- Wang, Y.J.; Peng, J.F.; Cao, X.F.; Xu, Y.; Yu, H.W.; Duan, G.Q.; Qu, J.H. Isotopic and chemical evidence for nitrate sources and transformation processes in a plateau lake basin in Southwest China. Sci. Total Environ. 2020, 711, 134856. [Google Scholar]
- Yan, D.N.; Xu, H.; Yang, M.; Lan, J.H.; Hou, W.G.; Wang, F.S.; Zhang, J.X.; Zhou, K.E.; An, Z.S.; Goldsmith, Y. Responses of cyanobacteria to climate and human activities at Lake Chenghai over the past 100 years. Ecol. Indic. 2019, 104, 755–763. [Google Scholar] [CrossRef]
- Jeppesen, E.; Beklioglu, M.; Ozkan, K.; Akyurek, Z. Salinization Increase due to Climate Change Will Have Substantial Negative Effects on Inland Waters: A Call for Multifaceted Research at the Local and Global Scale. Innovation 2020, 1, 100030. [Google Scholar] [CrossRef]
- Wang, M.; Wu, X.F.; Li, D.P.; Li, X.; Huang, Y. Annual variation of different phosphorus forms and response of algae growth in Meiliang bay of Taihu Lake. Huanjing Kexue 2015, 36, 80–86. [Google Scholar]
- Li, B.; Yang, G.S.; Wan, R.R. Multidecadal water quality deterioration in the largest freshwater lake in China (Poyang Lake): Implications on eutrophication management. Environ. Pollut. 2020, 260, 114033. [Google Scholar] [CrossRef]
- Zhang, Y.; Song, C.L.; Ji, L.; Liu, Y.Q.; Xiao, J.; Cao, X.Y.; Zhou, Y.Y. Cause and effect of N/P ratio decline with eutrophication aggravation in shallow lakes. Sci. Total Environ. 2018, 627, 1294–1302. [Google Scholar]
- Ni, M.; Yuan, J.L.; Liu, M.; Gu, Z.M. Assessment of water quality and phytoplankton community of Limpenaeus vannamei pond in intertidal zone of Hangzhou Bay, China. Aquac. Rep. 2018, 11, 53–58. [Google Scholar] [CrossRef]
- Su, X.M.; Steinman, A.D.; Xue, Q.J.; Zhao, Y.Y.; Tang, X.M.; Xie, L.Q. Temporal patterns of phyto- and bacterioplankton and their relationships with environmental factors in Lake Taihu, China. Chemosphere 2017, 184, 299–308. [Google Scholar] [CrossRef]
- Zhang, Y.L.; Huo, S.L.; Zan, F.Y.; Xi, B.D.; Zhang, J.T.; Wu, F.C. Historical records of multiple heavy metals from dated sediment cores in Lake Chenghai, China. Environ. Earth Sci. 2015, 74, 3897–3906. [Google Scholar] [CrossRef]
- Banerjee, M.; Bar, N.; Basu, R.K.; Das, S.K. Comparative study of adsorptive removal of Cr (VI) ion from aqueous solution in fixed bed column by peanut shell and almond shell using empirical models and ANN. Environ. Sci. Pollut. Res. Int. 2017, 24, 10604–10620. [Google Scholar] [CrossRef]
- Laskar, H.S.; Gupta, S. Phytoplankton community and limnology of Chatla floodplain wetland of Barak valley, Assam, North-East India. Knowl. Manag. Aquat. Ecosyst. 2013, 411, 06. [Google Scholar] [CrossRef][Green Version]
- Hwang, S.J.; Kim, H.S.; Shin, J.K.; Oh, J.M.; Kong, D.S. Grazing effects of a freshwater bivalve (Corbicula leanaPrime) and large zooplankton on phytoplankton communities in two Korean lakes. Hydrobiologia 2004, 515, 161–179. [Google Scholar] [CrossRef]
- Monod, J. Technique, Theory and Applications of Continuous Culture. Ann. Inst. Pasteur 1950, 79, 390–410. [Google Scholar]
- Swamy, M.; Norlina, W.; Azman, W.; Suhaili, D.; Sirajudeen, K.N.S.; Mustapha, Z.; Govindasamy, C. Restoration of glutamine synthetase activity, nitric oxide levels and amelioration of oxidative stress by propolis in kainic acid mediated excitotoxicity. Afr. J. Tradit. Complementary Altern. Med. 2014, 11, 458–463. [Google Scholar] [CrossRef]
- Valla, L.; Janson, H.; Wentzel-Larsen, T.; Slinning, K. Analysing four Norweigian population-based samples using the six-month version of the Ages and Stages Questionnaire showed few relevant clinical differences. Acta Paediatr. 2016, 105, 924–929. [Google Scholar] [CrossRef]
- Schmadel, N.M.; Harvey, J.W.; Alexander, R.B.; Schwarz, G.E.; Moore, R.B.; Eng, K.; Gomez-Velez, J.D.; Boyer, E.W.; Scott, D. Thresholds of lake and reservoir connectivity in river networks control nitrogen removal. Nat. Commun. 2018, 9, 1–10. [Google Scholar] [CrossRef]
- Jiang, Z.; Du, P.; Liu, J.; Chen, Y.; Zhu, Y.; Shou, L.; Zeng, J.; Chen, J. Phytoplankton biomass and size structure in Xiangshan Bay, China: Current state and historical comparison under accelerated eutrophication and warming. Mar. Pollut. Bull. 2019, 142, 119–128. [Google Scholar] [CrossRef]
- Wu, J.L.; Gagan, M.K.; Jiang, X.Z.; Xia, W.L.; Wang, S.M. Sedimentary geochemical evidence for recent eutrophication of Lake Chenghai, Yunnan, China. J. Paleolimnol. 2004, 32, 85–94. [Google Scholar]
- Abell, J.M.; Oezkundakci, D.; Hamilton, D.P. Nitrogen and phosphorus limitation of phytoplankton growth in New Zealand lakes: Implications for eutrophication control. Ecosystems 2010, 13, 966–977. [Google Scholar] [CrossRef]
- Janssen, A.B.G.; de Jager, V.C.L.; Janse, J.H.; Kong, X.; Liu, S.; Ye, Q.; Mooij, W.M. Spatial identification of critical nutrient loads of large shallow lakes: Implications for Lake Taihu (China). Water Res. 2017, 119, 276–287. [Google Scholar] [CrossRef]
- Peterson, B.J.; Barlow, J.P.; Savage, A.E. The Physiological State with Respect to Phosphorus of Cayuga Lake Phytoplankton. Limnol. Oceanogr. 1974, 19, 396–408. [Google Scholar] [CrossRef]
- Zhang, Y.F.; Gao, Y.H.; Kirchman, D.L.; Cottrell, M.T.; Chen, R.; Wang, K.; Ouyang, Z.X.; Xu, Y.Y.; Chen, B.S.; Yin, K.D.; et al. Biological regulation of pH during intensive growth of phytoplankton in two eutrophic estuarine waters. Mar. Ecol. Prog. Ser. 2019, 609, 87–99. [Google Scholar] [CrossRef]
- Hama, T.; Inoue, T.; Suzuki, R.; Kashiwazaki, H.; Wada, S.; Sasano, D.; Kosugi, N.; Ishii, M. Response of a phytoplankton community to nutrient addition under different CO2 and pH conditions. J. Oceanogr. 2016, 72, 207–223. [Google Scholar] [CrossRef]
- Middelboe, A.L.; Hansen, P.J. Direct effects of pH and inorganic carbon on macroalgal photosynthesis and growth. Mar. Biol. Res. 2007, 3, 134–144. [Google Scholar] [CrossRef]
- Chakraborty, P.; Acharyya, T.; Babu, P.V.R.; Bandyopadhyay, D. Impact of salinity and pH on phytoplankton communities in a tropical freshwater system: An investigation with pigment analysis by HPLC. J. Environ. Monit. 2011, 13, 614–620. [Google Scholar] [CrossRef] [PubMed]
- Chen, C.Y.; Durbin, E.G. Effects of pH on the growth and carbon uptake of marine phytoplankton. Mar. Ecol. Prog. 1994, 109, 83–94. [Google Scholar] [CrossRef]
- Shi, D.; Xu, Y.; Morel, F.M.M. Effects of the pH/pCO(2) control method on medium chemistry and phytoplankton growth. Biogeosciences 2009, 6, 1199–1207. [Google Scholar] [CrossRef]






| NO. | Nutrient Addition | ||
|---|---|---|---|
| Control | 0 | - | |
| A | 1-1 | 0.5 mg N/L NH4Cl | Without P |
| 1-2 | 1.0 mg N/L NH4Cl | ||
| 1-3 | 2.0 mg N/L NH4Cl | ||
| 1-4 | 4.0 mg N/L NH4Cl | ||
| 2-1 | 0.5 mg N/L NH4Cl | 5.0 mg P/L, K2HPO4 | |
| 2-2 | 1.0 mg N/L NH4Cl | ||
| 2-3 | 2.0 mg N/L NH4Cl | ||
| 2-4 | 4.0 mg N/L NH4Cl | ||
| B | 1-1 | 0.5 mg N/L NaNO3 | Without P |
| 1-2 | 1.0 mg N/L NaNO3 | ||
| 1-3 | 2.0 mg N/L NaNO3 | ||
| 1-4 | 4.0 mg N/L NaNO3 | ||
| 2-1 | 0.5 mg N/L NaNO3 | 5.0 mg P/L, K2HPO4 | |
| 2-2 | 1.0 mg N/L NaNO3 | ||
| 2-3 | 2.0 mg N/L NaNO3 | ||
| 2-4 | 4.0 mg N/L NaNO3 | ||
| C | 1-1 | 0.02 mg P/L K2HPO4 | Without N |
| 1-2 | 0.5 mg P/L K2HPO4 | ||
| 1-3 | 1.0 mg P/L K2HPO4 | ||
| 1-4 | 2.0 mg P/L K2HPO4 | ||
| 2-1 | 0.02 mg P/L K2HPO4 | 10 mg N/L, NH4Cl | |
| 2-2 | 0.5 mg P/L K2HPO4 | ||
| 2-3 | 1.0 mg P/L K2HPO4 | ||
| 2-4 | 2.0 mg P/L K2HPO4 | ||
| 3-1 | 0.02 mg P/L K2HPO4 | 10 mg N/L, NaNO3 | |
| 3-2 | 0.5 mg P/L K2HPO4 | ||
| 3-3 | 1.0 mg P/L K2HPO4 | ||
| 3-4 | 2.0 mg P/L K2HPO4 | ||
| 4 | 2.0 mg P/L K2HPO4 | 5.0 mg N/L NH4Cl + 5.0 mg N/L NaNO3 |
Publisher’s Note: MDPI stays neutral with regard to jurisdictional claims in published maps and institutional affiliations. |
© 2022 by the authors. Licensee MDPI, Basel, Switzerland. This article is an open access article distributed under the terms and conditions of the Creative Commons Attribution (CC BY) license (https://creativecommons.org/licenses/by/4.0/).
Share and Cite
Qi, J.; Deng, L.; Song, Y.; Qi, W.; Hu, C. Nutrient Thresholds Required to Control Eutrophication: Does It Work for Natural Alkaline Lakes? Water 2022, 14, 2674. https://doi.org/10.3390/w14172674
Qi J, Deng L, Song Y, Qi W, Hu C. Nutrient Thresholds Required to Control Eutrophication: Does It Work for Natural Alkaline Lakes? Water. 2022; 14(17):2674. https://doi.org/10.3390/w14172674
Chicago/Turabian StyleQi, Jing, Le Deng, Yongjun Song, Weixiao Qi, and Chengzhi Hu. 2022. "Nutrient Thresholds Required to Control Eutrophication: Does It Work for Natural Alkaline Lakes?" Water 14, no. 17: 2674. https://doi.org/10.3390/w14172674
APA StyleQi, J., Deng, L., Song, Y., Qi, W., & Hu, C. (2022). Nutrient Thresholds Required to Control Eutrophication: Does It Work for Natural Alkaline Lakes? Water, 14(17), 2674. https://doi.org/10.3390/w14172674
