Straw Strip Mulching Increased Soil Organic Carbon Components of a Wheat Field in Dry Farming Regions of the Loess Plateau
Abstract
:1. Introduction
2. Materials and Methods
2.1. Site Description
2.2. Experimental Design and Field Management
2.3. Sampling and Measurements
- (1)
- Soil organic carbon (SOC): weigh 0.1 g soil sample passed with 0.25 mm sieve, treat it and then analyze it using an organic carbon analyzer (TOC-2000, Shanghai Metash Instruments Co., Ltd. Shanghai, China).
- (2)
- Soil microbial biomass carbon (MBC): according to the reference [20], the chloroform fumigation method was used. Weigh 25 g fresh soil passed through a 2 mm sieve in a beaker, carry out chloroform fumigation in a desiccator and set up a control treatment without fumigation. After one day, add 0.5 mol·L−1 K2SO4 solution to extract and compute the MBC content by shaking, filtration and titration with FeSO4 solution (0.5 mL·L−1) after heating.
- (3)
- Soil dissolved organic carbon content (DOC): according to the reference [21], DOC was measured through the cold-water leaching method. Weigh 10 g fresh soil passed through a 2 mm sieve into a centrifuge tube and add 50 mL of deionized water at room temperature. Shake and centrifuge the tube, pass the supernatant with a 0.45-μm filter membrane, and place the filtrate in a total organic carbon (TOC) analyzer for determination.
- (4)
- Soil easily oxidized carbon content (EOC): the KMnO4 oxidation method was used [22]. Weigh 1.5 g soil sample passed through a 0.25 mm sieve in a centrifuge tube, add 25 mL of potassium permanganate solution (the concentration was 333 mmol·L−1), shake and centrifuge the tube at room temperature, separate out the supernatant and add deionized water at a ratio of 1:250, colorimetrically analyze the diluted solution using a Visible Spectrophotometer (V1800, Unico (Shanghai) Instruments Co., Ltd. Shanghai, China) at a wavelength of 565 nm; repeat three times and calculate oxidized carbon content of the sample according to the change in the KMnO4 concentration.
- (5)
- Soil mineralizable carbon content (PCM): the incubation method was used [23]. Weigh 10 g soil sample passed through a 2 mm sieve in a beaker, fill it to 60% of the field capacity, place the sample in a culture flask, add 4 mL of 0.5 mol·L−1 NaOH solution to the flask and incubate this under airtight conditions for 10 days. After 10 days, titrate the mixture with BaCl2 solution at a concentration of 1.5 mol·L−1 and 0.1 mol·L−1 HCl, calculate the amount of CO2 absorbed by the NaOH solution and calculate the mineralized organic carbon content.
2.4. Data Analysis
3. Results
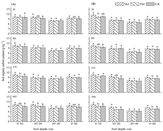
3.1. Differences in SOC Contents under Different Mulching Treatments
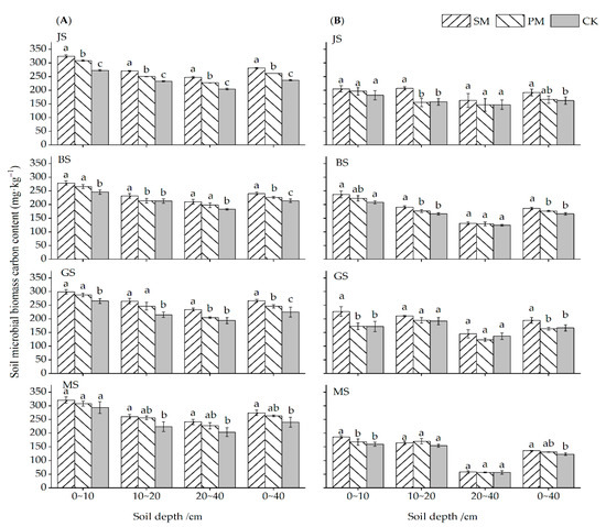
3.2. Differences in MBC Contents under Different Mulching Treatments
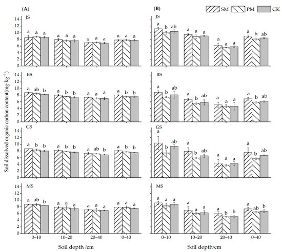
3.3. Differences in DOC Content under Different Mulching Treatments
3.4. Differences in PCM Content under Different Mulching Treatments
3.5. Differences in EOC Contents under Different Mulching Treatments
4. Discussion
4.1. Effects of Mulching on SOC
4.2. Effects of Mulching on MBC
4.3. Effects of Mulching on DOC
4.4. Effects of Mulching on PCM and EOC
5. Conclusions
Author Contributions
Funding
Institutional Review Board Statement
Informed Consent Statement
Data Availability Statement
Acknowledgments
Conflicts of Interest
References
- Štursová, M.; Baldrian, P. Effects of soil properties and management on the activity of soil organic matter transforming enzymes and the quantification of soil-bound and free activity. Plant Soil 2011, 338, 99–110. [Google Scholar] [CrossRef]
- Monaco, S.; Hatch, D.; Sacco, D.; Bertora, C.; Grignani, C. Changes in chemical and biochemical soil properties induced by 11-yr repeated additions of different organic materials in maize-based forage systems. Soil Biol. Biochem. 2008, 40, 608–615. [Google Scholar] [CrossRef]
- Zhao, Q.; Tariq, S.; Li, Z.; Liu, H.; Peng, S.; Nie, L. Effect of straw returning on soil organic carbon in rice–wheat rotation system: A review. Food Energy Secur. 2020, 9, 1–13. [Google Scholar] [CrossRef]
- Benbi, D.K.; Dar, R.A.; Toor, A.S. Improving soil organic carbon and microbial functionality through different rice straw management approaches in rice–wheat cropping sequence. Biomass Convers. Biorefnery 2021. [Google Scholar] [CrossRef]
- Shen, X.; Wang, L.; Yang, Q.; Xiu, W.; Li, G.; Zhao, J.; Zhang, G. Dynamics of soil organic carbon and labile carbon fractions in soil aggregates affected by different tillage managements. Sustainability 2021, 13, 1541. [Google Scholar] [CrossRef]
- Dalal, R.; Chen, K. Soil organic matter in rainfed cropping systems of the Australian cereal belt. Aust. J. Soil Res. 2001, 39, 435–464. [Google Scholar] [CrossRef]
- Klaus, L.; Rattan, L. Soil Organic Carbon Stocks. In Soil Organic Carbon Sequestration in Terrestrial Biomes of the United States; Springer: Berlin/Heidelberg, Germany, 2022; Volume 5, pp. 33–54. [Google Scholar]
- Stockmann, U.; Adams, M.; Crawford, J. The knowns, known unknowns and unknowns of sequestration of soil organic carbon. Agric. Ecosyst. Environ. 2013, 164, 80–99. [Google Scholar] [CrossRef]
- Yan, D.; Wang, D.; Yang, L. Long-term effect of chemical fertilizer, straw and manure on labile organic matter fractions in a paddy soil. Biol. Fertil. Soi. 2007, 44, 93–101. [Google Scholar] [CrossRef]
- Schulz, E. Influence of site conditions and management on different soil organic matter (SOM) pools. Arch. Agron. Soil Sci. 2004, 50, 33–48. [Google Scholar] [CrossRef]
- Feng, J.; Chen, C.; Zhang, Y.; Song, Z.; Deng, A.; Zheng, C.; Zhang, W. Impacts of cropping practices on yield-scaled greenhouse gas emissions from rice fields in China: A meta-analysis. Agric. Ecosyst. Environ. 2013, 164, 220–228. [Google Scholar] [CrossRef]
- Liu, X.; Li, X.; Hai, L.; Wang, Y.; Fu, T.; Turner, N.; Li, F. Film mulched ridge-furrow management increases maize productivity and sustains soil organic carbon in a dryland cropping system. Soil Sci. Soc. Am. J. 2014, 78, 1434–1441. [Google Scholar] [CrossRef]
- Tian, J.; Lu, S.; Fan, M.; Li, X.; Kuzyakov, Y. Labile soil organic matter fractions as influenced by non-flooded mulching cultivation and cropping season in rice-wheat rotation. Eur. J. Soil Biol. 2013, 56, 19–25. [Google Scholar] [CrossRef]
- Hu, Y.; Sun, B.; Wu, S.; Feng, H.; Gao, M.; Ma, P.; Zhang, T.; Pi, X. Soil carbon and nitrogen of wheat–maize rotation system under continuous straw and plastic mulch. Nutr. Cycl. Agroecosyst. 2021, 119, 181–193. [Google Scholar] [CrossRef]
- Zhou, L.; Jin, S.; Liu, C.; Xiong, Y.; Si, J.; Li, X.; Gan, Y.; Li, F. Ridge furrow and plastic-mulching tillage enhances maize soil interactions: Opportunities and challenges in a semiarid agroecosystem. Field Crops Res. 2012, 126, 181–188. [Google Scholar] [CrossRef]
- Li, F.; Song, Q.; Jjemba, P.; Shi, Y. Dynamics of soil microbial biomass C and soil fertility in cropland mulched with plastic film in a semiarid agro-ecosystem. Soil Biol. Biochem. 2004, 36, 1893–1902. [Google Scholar] [CrossRef]
- Chang, L.; Han, F.; Chai, S.; Cheng, H.; Yang, D.; Chen, Y. Straw strip mulching affects soil moisture and temperature for potato yield in semiarid regions. Agron. J. 2020, 112, 1–14. [Google Scholar] [CrossRef]
- Chen, Y.; Chai, S.; Tian, H.; Chai, Y.; Li, Y.; Chang, L.; Cheng, H. Straw strips mulch on furrows improves water use efficiency and yield of potato in a rain-fed semiarid area. Agric. Water Manag. 2019, 211, 142–151. [Google Scholar] [CrossRef]
- Soil Survey Staff. Keys to Soil Taxonomy; United States Department of Agriculture Natural Resources Conservation Service: Washington, DC, USA, 1998.
- Lin, Q.; Wu, Q.; Liu, H. Modification of Fumigation Extraction Method for Meansuring Soil Microbial Biomass Carbon. Chin. J. Ecol. 1999, 2, 64–67. [Google Scholar]
- Jones, D.; Willett, V. Experimental evaluation of methods to quantify dissolved organic nitrogen (DON) and dissolved organic carbon (DOC) in soil. Soil Biol. Biochem. 2005, 38, 991–999. [Google Scholar] [CrossRef]
- Chen, X.; Liu, J.; Deng, Q.; Chu, G.; Zhou, G.; Zhang, D. Effects of precipitation intensity on soil organic carbon fractions and their distribution under subtropical forests of South China. Chin. J. Appl. Ecol. 2010, 21, 1210–1216. [Google Scholar]
- Jenkinson, D.; Powlson, D. The effects of biocidal treatments on metabolism in soil-V: A method formeasuring soil biomass. Soil Biol. Biochem. 1976, 8, 209–213. [Google Scholar] [CrossRef]
- Dong, Q.; Yang, Y.; Yu, K.; Feng, H. Effects of straw mulching and plastic film mulching on improving soil organic carbon and nitrogen fractions, crop yield and water use efficiency in the Loess Plateau, China. Agric. Water Manag. 2018, 201, 133–143. [Google Scholar] [CrossRef]
- Fu, X.; Wang, J.; Zhang, Q.; Ge, X. Effects of straw and plastic film mulching on soil nitrogen fractions and corn yield in the Weibei rainfed highland. Acta. Ecologica. Sinica. 2018, 38, 6912–6920. [Google Scholar]
- Wang, J.; Fu, X.; Sainju, U.; Zhao, F. Soil carbon fractions in response to straw mulching in the Loess Plateau of China. Biol. Fertil. Soil 2018, 54, 423–436. [Google Scholar] [CrossRef]
- Chen, Z.; Ding, Z.; Dong, W.; Wang, N.; Li, Y.; Feng, H. Effects of film mulching on root growth and yield of winter wheat at different sowing dates. Agric. Res. Arid. Areas 2021, 36, 136–145. [Google Scholar]
- Archana, B.; Bishwoyog, B.; Sunil, P. Variation of soil microbial population in different soil horizons. J. Microbiol. Exp. 2015, 2, 75–78. [Google Scholar]
- Denis, C.; Michael, H.; Beare, G. Soil Biology & Biochemistry Temperature and Moisture Effects on Microbial Biomass and Soil Organic Matter Mineralization. Soil Sci. Soc. Am. J. 2012, 76, 2055–2067. [Google Scholar]
- Chang, L.; Han, F.; Chai, Y.; Bao, Z.; Cheng, H.; Huang, C.; Yang, D.; Chai, S. Effects of straw strip mulching on water consumption and yield of winter wheat in semi-arid rain-fed area. Chin. J. Appl. Ecol. 2019, 30, 4150–4158. [Google Scholar]
- Lemke, R.; Vandenbygaart, A.; Campbell, A.; Lafond, D.; Grant, B. Crop residue removal and fertilizer N: Effects on soil organic carbon in a long-term crop rotation experiment on a Udic Boroll. Agric. Ecosyst. Environ. 2010, 135, 42–51. [Google Scholar] [CrossRef]
- Tunsisa, T.; Hurissosteve, W.; Culmanwilliam, R.; Jordon, W.; Deandra, C.; Joshua, W.; Timothy, M.; Alan, J.; Meagan, E.; Shawn, T.; et al. Comparison of permanganate-oxidizable carbon and mineralizable carbon for assessment of organic matter stabilization and mineralization. Soil Sci. Soc. Am. J. 2016, 80, 1352–1364. [Google Scholar]
- Mclauchlan, K.; Hobbie, S. Comparison of labile soil organic matter fractionation techniques. Soil Sci. Soc. Am. J. 2004, 68, 1616–1625. [Google Scholar] [CrossRef]
- Shrestha, R.; Ladha, T.; Gami, K. Total and organic soil carbon in cropping systems of Nepal. Nutr. Cycl. Agroecosystems 2006, 75, 257–269. [Google Scholar] [CrossRef]





Publisher’s Note: MDPI stays neutral with regard to jurisdictional claims in published maps and institutional affiliations. |
© 2022 by the authors. Licensee MDPI, Basel, Switzerland. This article is an open access article distributed under the terms and conditions of the Creative Commons Attribution (CC BY) license (https://creativecommons.org/licenses/by/4.0/).
Share and Cite
Huang, C.; Cheng, C.; Wang, Z.; Zhao, X.; Yang, Y.; Hu, L.; Li, Y.; Ma, J.; Wang, L.; Chang, L.; et al. Straw Strip Mulching Increased Soil Organic Carbon Components of a Wheat Field in Dry Farming Regions of the Loess Plateau. Water 2022, 14, 2645. https://doi.org/10.3390/w14172645
Huang C, Cheng C, Wang Z, Zhao X, Yang Y, Hu L, Li Y, Ma J, Wang L, Chang L, et al. Straw Strip Mulching Increased Soil Organic Carbon Components of a Wheat Field in Dry Farming Regions of the Loess Plateau. Water. 2022; 14(17):2645. https://doi.org/10.3390/w14172645
Chicago/Turabian StyleHuang, Caixia, Chipi Cheng, Zeyi Wang, Xia Zhao, Yong Yang, Liangliang Hu, Yazhen Li, Juhua Ma, Longlong Wang, Lei Chang, and et al. 2022. "Straw Strip Mulching Increased Soil Organic Carbon Components of a Wheat Field in Dry Farming Regions of the Loess Plateau" Water 14, no. 17: 2645. https://doi.org/10.3390/w14172645
APA StyleHuang, C., Cheng, C., Wang, Z., Zhao, X., Yang, Y., Hu, L., Li, Y., Ma, J., Wang, L., Chang, L., Ye, Y., & Zhang, H. (2022). Straw Strip Mulching Increased Soil Organic Carbon Components of a Wheat Field in Dry Farming Regions of the Loess Plateau. Water, 14(17), 2645. https://doi.org/10.3390/w14172645
