Assessment of Glucocorticoid Removal by UVA/Chlorination and Ozonation: Performance Comparison in Kinetics, Degradation Pathway, and Toxicity
Abstract
:1. Introduction
2. Materials and Methods
2.1. Chemicals and Reagents
2.2. Experimental Apparatus and Procedures
2.3. GC Analysis
2.4. Identification of GC Degradation Intermediates
2.5. Evaluation of the Acute Toxicity
3. Results and Discussion
3.1. Performance Comparison of UVA/Chlorination and Ozonation on GC Removal
3.1.1. UVA/Chlorination
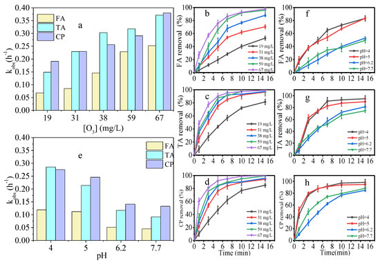
3.1.2. Ozonation
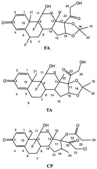
3.2. Degradation Pathways of GCs during UVA/Chlorination and Ozonation
3.3. Acute Toxicity Change of GCs during UVA/Chlorination and Ozonation
3.4. Implications
4. Conclusions
Supplementary Materials
Author Contributions
Funding
Institutional Review Board Statement
Informed Consent Statement
Data Availability Statement
Conflicts of Interest
References
- Wright, A.; Taglioli, M.; Montazersadgh, F.; Shaw, A.; Iza, F.; Bandulasena, H.C.H. Microbubble-enhanced DBD plasma reactor: Design, characterisation and modelling. Chem. Eng. Res. Des. 2019, 144, 159–173. [Google Scholar] [CrossRef]
- Jia, A.; Wu, S.; Daniels, K.D.; Snyder, S.A. Balancing the Budget: Accounting for Glucocorticoid Bioactivity and Fate during Water Treatment, Environ. Sci. Technol. 2016, 50, 2870–2880. [Google Scholar] [CrossRef] [PubMed]
- Chang, H.; Hu, J.Y.; Shao, B. Occurrence of natural and synthetic glucocorticoids in sewage treatment plants and receiving river waters. Environ. Sci. Technol. 2007, 41, 3462–3468. [Google Scholar] [CrossRef] [PubMed]
- Schriks, M.; van Leerdam, J.A.; van der Linden, S.C.; van der Burg, B.; van Wezel, A.P.; de Voogt, P. High-Resolution Mass Spectrometric Identification and Quantification of Glucocorticoid Compounds in Various Wastewaters in The Netherlands. Environ. Sci. Technol. 2010, 44, 4766–4774. [Google Scholar] [CrossRef]
- Gilbert, N. Drug waste harms fish. Nature 2011, 476, 265. [Google Scholar] [CrossRef]
- Russell, C.D.; Millar, J.E.; Baillie, J.K. Clinical evidence does not support corticosteroid treatment for 2019-nCoV lung injury. Lancet 2020, 395, 473–475. [Google Scholar] [CrossRef]
- Feng, L.; Peillex-Delphe, C.; Lu, C.; Wang, D.; Giannakis, S.; Pulgarin, C. Employing bacterial mutations for the elucidation of photo-Fenton disinfection: Focus on the intracellular and extracellular inactivation mechanisms induced by UVA and H2O2. Water Res. 2020, 182, 116049. [Google Scholar] [CrossRef]
- Romao, J.S.; Hamdy, M.S.; Mul, G.; Baltrusaitis, J. Photocatalytic decomposition of cortisone acetate in aqueous solution. J. Hazard. Mater. 2015, 282, 208–215. [Google Scholar] [CrossRef]
- Wardenier, N.; Liu, Z.; Nikiforov, A.; van Hulle, S.W.H.; Leys, C. Micropollutant elimination by O3, UV and plasma-based AOPs: An evaluation of treatment and energy costs. Chemosphere 2019, 234, 715–724. [Google Scholar] [CrossRef]
- Liu, Y.; Wang, C.; Shen, X.; Zhang, A.; Yan, S.; Li, X.; Miruka, A.C.; Wu, S.; Guo, Y.; Ognier, S. Degradation of glucocorticoids in aqueous solution by dielectric barrier discharge: Kinetics, mechanisms, and degradation pathways. Chem. Eng. J. 2019, 374, 412–428. [Google Scholar] [CrossRef]
- Yin, K.; He, Q.; Liu, C.; Deng, Y.; Wei, Y.; Chen, S.; Liu, T.; Luo, S. Prednisolone degradation by UV/chlorine process: Influence factors, transformation products and mechanism. Chemosphere 2018, 212, 56–66. [Google Scholar] [CrossRef] [PubMed]
- Ioannidi, A.; Frontistis, Z.; Mantzavinos, D. Destruction of propyl paraben by persulfate activated with UV-A light emitting diodes. J. Environ. Chem. Eng. 2018, 6, 2992–2997. [Google Scholar] [CrossRef]
- Ricci, A.; Fasani, E.; Mella, M.; Albini, A. General patterns in the photochemistry of pregna-1,4-dien-3,20-diones. J. Org. Chem. 2003, 68, 4361–4366. [Google Scholar] [CrossRef] [PubMed]
- Westerhoff, P.; Yoon, Y.; Snyder, S.; Wert, E. Fate of endocrine-disruptor, pharmaceutical, and personal care product chemicals during simulated drinking water treatment processes. Environ. Sci. Technol. 2005, 39, 6649–6663. [Google Scholar] [CrossRef] [PubMed]
- Nunes, R.F.; Tominaga, F.K.; Borrely, S.I.; Teixeira, A.C.S.C. UVA/perrsulfate-driven nonylphenol polyethoxylate degradation: Effect of process conditions. Environ. Technol. 2020, 4, 286–300. [Google Scholar] [CrossRef]
- Wang, J.; Wang, S. Activation of persulfate (PS) and peroxymonosulfate (PMS) and application for the degradation of emerging contaminants. Chem. Eng. J. 2018, 334, 1502–1517. [Google Scholar] [CrossRef]
- Kong, X.; Jiang, J.; Ma, J.; Yang, Y.; Pang, S. Comparative investigation of X-ray contrast medium degradation by UV/chlorine and UV/H2O2. Chemosphere 2018, 193, 655–663. [Google Scholar] [CrossRef]
- Massalha, N.; Dong, S.; Plewa, M.J.; Borisover, M.; Nguyen, H.T. Spectroscopic Indicators for Cytotoxicity of Chlorinated and Ozonated Effluents from Wastewater Stabilization Ponds and Activated Sludge. Environ. Sci. Technol. 2018, 52, 3167–3174. [Google Scholar] [CrossRef]
- Wu, S.; Jia, A.; Daniels, K.D.; Park, M.; Snyder, S.A. Trace analysis of corticosteroids (CSs) in environmental waters by liquid chromatography-tandem mass spectrometry. Talanta 2019, 195, 830–840. [Google Scholar] [CrossRef]
- Weizel, A.; Schluesener, M.P.; Dierkes, G.; Ternes, T.A. Occurrence of Glucocorticoids, Mineralocorticoids, and Progestogens in Various Treated Wastewater, Rivers, and Streams. Environ. Sci. Technol. 2018, 52, 5296–5307. [Google Scholar] [CrossRef]
- Speltini, A.; Merlo, F.; Maraschi, F.; Sturini, M.; Contini, M.; Calisi, N.; Profumo, A. Thermally condensed humic acids onto silica as SPE for effective enrichment of glucocorticoids from environmental waters followed by HPLC-HESI-MS/MS. J. Chromatogr. A 2018, 1540, 38–46. [Google Scholar] [CrossRef] [PubMed]
- Ammann, A.A.; Macikova, P.; Groh, K.J.; Schirmer, K.; Suter, M.J.F. LC-MS/MS determination of potential endocrine disruptors of cortico signalling in rivers and wastewaters (vol 406, pg 7653, 2014). Anal. Bioanal. Chem. 2016, 408, 4821–4822. [Google Scholar] [CrossRef] [PubMed]
- Tolgyesi, A.; Verebey, Z.; Sharma, V.K.; Kovacsics, L.; Fekete, J. Simultaneous determination of corticosteroids, androgens, and progesterone in river water by liquid chromatography-tandem mass spectrometry. Chemosphere 2010, 78, 972–979. [Google Scholar] [CrossRef] [PubMed]
- Zhang, A.; Shen, X.; Yin, X.Y.; Li, X.; Liu, Y.A. Application of calcium peroxide for efficient removal of triamcinolone acetonide from aqueous solutions: Mechanisms and products. Chem. Eng. J. 2018, 345, 594–603. [Google Scholar] [CrossRef]
- Sun, H.; Calabrese, E.J.; Zheng, M.; Wang, D.; Pan, Y.; Lin, Z.; Liu, Y. A swinging seesaw as a novel model mechanism for time-dependent hormesis under dose -dependent stimulatory and inhibitory effects: A case study on the toxicity of antibacterial chemicals to Aliivibrio fischeri. Chemosphere 2018, 205, 15–23. [Google Scholar] [CrossRef]
- Ma, L.F.; Wang, C.Y.; Li, H.P.; Peng, F.Y.; Yang, Z.G. Degradation of geosmin and 2-methylisoborneol in water with UV/chlorine: Influencing factors, reactive species, and possible pathways. Chemosphere 2018, 211, 1166–1175. [Google Scholar] [CrossRef]
- Wang, W.L.; Wu, Q.Y.; Huang, N.; Wang, T.; Hu, H.Y. Synergistic effect between UV and chlorine (UV/chlorine) on the degradation of carbamazepine: Influence factors and radical species. Water Res. 2016, 98, 190–198. [Google Scholar] [CrossRef]
- Qin, L.; Lin, Y.L.; Xu, B.; Hu, C.Y.; Tian, F.X.; Zhang, T.Y.; Zhu, W.Q.; Huang, H.; Gao, N.Y. Kinetic models and pathways of ronidazole degradation by chlorination, UV irradiation and UV/chlorine processes. Water Res. 2014, 65, 271–281. [Google Scholar] [CrossRef]
- Lv, X.-T.; Zhang, X.; Du, Y.; Wu, Q.-Y.; Lu, Y.; Hu, H.-Y. Solar light irradiation significantly reduced cytotoxicity and disinfection byproducts in chlorinated reclaimed water. Water Res. 2017, 125, 162–169. [Google Scholar] [CrossRef]
- Sun, P.; Lee, W.-N.; Zhang, R.; Huang, C.-H. Degradation of DEET and Caffeine under UV/Chlorine and Simulated Sunlight/Chlorine Conditions, Environ. Sci. Technol. 2016, 50, 13265–13273. [Google Scholar] [CrossRef]
- Watts, M.J.; Linden, K.G. Chlorine photolysis and subsequent OH radical production during UV treatment of chlorinated water. Water Res. 2007, 41, 2871–2878. [Google Scholar] [CrossRef] [PubMed]
- Shen, Y.; Xu, Q.; Wei, R.; Ma, J.; Wang, Y. Mechanism and dynamic study of reactive red X-3B dye degradation by ultrasonic-assisted ozone oxidation process. Ultrason. Sonochemistry 2017, 38, 681–692. [Google Scholar] [CrossRef] [PubMed]
- These, A.; Reemtsma, T. Structure-dependent reactivity of low molecular weight fulvic acid molecules during ozonation, Environ. Sci. Technol. 2005, 39, 8382–8387. [Google Scholar] [CrossRef] [PubMed]
- Asghar, A.; Raman, A.A.A.; Daud, W.M.A.W. Advanced oxidation processes for in-situ production of hydrogen peroxide/hydroxyl radical for textile wastewater treatment: A review. J. Clean. Prod. 2015, 87, 826–838. [Google Scholar] [CrossRef]
- Liotta, L.F.; Gruttadauria, M.; di Carlo, G.; Perrini, G.; Librando, V. Heterogeneous catalytic degradation of phenolic substrates: Catalysts activity. J. Hazard. Mater. 2009, 162, 588–606. [Google Scholar] [CrossRef]
- Turhan, K.; Durukan, I.; Ozturkcan, S.A.; Turgut, Z. Decolorization of textile basic dye in aqueous solution by ozone. Dye. Pigment. 2012, 92, 897–901. [Google Scholar] [CrossRef]
- Pflug, N.C.; Kupsco, A.; Kolodziej, E.P.; Schlenk, D.; Teesch, L.M.; Gloer, J.B.; Cwiertny, D.M. Formation of bioactive transformation products during glucocorticoid chlorination. Environ. Sci. Water Res. Technol. 2017, 3, 450–461. [Google Scholar] [CrossRef]
- Guo, Y.; Zhao, E.; Wang, J.; Zhang, X.; Huang, H.; Yu, G.; Wang, Y. Comparison of emerging contaminant abatement by conventional ozonation, catalytic ozonation, O3/H2O2 and electro-peroxone processes. J. Hazard. Mater. 2020, 389, 121829. [Google Scholar] [CrossRef]
- Fan, Z.; Wu, S.; Chang, H.; Hu, J. Behaviors of Glucocorticoids, Androgens and Progestogens in a Municipal Sewage Treatment Plant: Comparison to Estrogens. Environ. Sci. Technol. 2011, 45, 2725–2733. [Google Scholar] [CrossRef]
- Liu, Y.; Wang, C.; Huang, K.; Miruka, A.C.; Dong, A.; Guo, Y.; Zhang, A. Degradation of glucocorticoids in water by dielectric barrier discharge and dielectric barrier discharge combined with calcium peroxide: Performance comparison and synergistic effects. J. Chem. Technol. Biotechnol. 2019, 94, 3606–3617. [Google Scholar] [CrossRef]
- Hu, J.Y.; Cheng, S.J.; Aizawa, T.; Terao, Y.; Kunikane, S. Products of aqueous chlorination of 17 beta-estradiol and their estrogenic activities. Environ. Sci. Technol. 2003, 37, 5665–5670. [Google Scholar] [CrossRef] [PubMed]
- von Gunten, U. Ozonation of drinking water: Part I. Oxidation kinetics and product formation. Water Res. 2003, 37, 1443–1467. [Google Scholar] [CrossRef]
- Yalfani, M.S.; Contreras, S.; Llorca, J.; Medina, F. Enhanced Cu activity in catalytic ozonation of clofibric acid by incorporation into ammonium dawsonite. Appl. Catal. B Environ. 2011, 107, 9–17. [Google Scholar] [CrossRef]
- Sun, Q.; Wang, Y.; Li, L.; Bing, J.; Wang, Y.; Yan, H. Mechanism for enhanced degradation of clofibric acid in aqueous by catalytic ozonation over MnOx/SBA-15. J. Hazard. Mater. 2015, 286, 276–284. [Google Scholar] [CrossRef] [PubMed]
- Rosal, R.; Gonzalo, M.S.; Boltes, K.; Leton, P.; Vaquero, J.J.; Garcia-Calvo, E. Identification of intermediates and assessment of ecotoxicity in the oxidation products generated during the ozonation of clofibric acid. J. Hazard. Mater. 2009, 172, 1061–1068. [Google Scholar] [CrossRef] [PubMed]
- Lian, L.; Yan, S.; Yao, B.; Chan, S.-A.; Song, W. Photochemical Transformation of Nicotine in Wastewater Effluent. Environ. Sci. Technol. 2017, 51, 11718–11730. [Google Scholar] [CrossRef]
- Razavi, B.; Song, W.; Santoke, H.; Cooper, J.W. Treatment of statin compounds by advanced oxidation processes: Kinetic considerations and destruction mechanisms. Radiat. Phys. Chem. 2011, 80, 453–461. [Google Scholar] [CrossRef]
- de Souza, S.M.d.A.G.U.; Bonilla, K.A.S.; de Souza, A.A.U. Removal of COD and color from hydrolyzed textile azo dye by combined ozonation and biological treatment. J. Hazard. Mater. 2010, 179, 35–42. [Google Scholar] [CrossRef]
- Wu, Z.; Fang, J.; Xiang, Y.; Shang, C.; Li, X.; Meng, F.; Yang, X. Roles of reactive chlorine species in trimethoprim degradation in the UV/chlorine process: Kinetics and transformation pathways. Water Res. 2016, 104, 272–282. [Google Scholar] [CrossRef]
- Watson, K.; Shaw, G.; Leusch, F.D.L.; Knight, L.N. Chlorine disinfection by-products in wastewater effluent: Bioassay-based assessment of toxicological impact. Water Res. 2012, 46, 6069–6083. [Google Scholar] [CrossRef]
- Wiedersberg, S.; Leopold, C.S.; Guy, H.R. Bioavailability and bioequivalence of topical glucocorticoids. Eur. J. Pharm. Biopharm. 2008, 68, 453–466. [Google Scholar] [CrossRef] [PubMed]
- Della-Flora, A.; Wilde, M.L.; Thue, P.S.; Lima, D.; Lima, E.C.; Sirtori, C. Combination of solar photo-Fenton and adsorption process for removal of the anticancer drug Flutamide and its transformation products from hospital wastewater. J. Hazard. Mater. 2020, 396, 13. [Google Scholar] [CrossRef] [PubMed]








Publisher’s Note: MDPI stays neutral with regard to jurisdictional claims in published maps and institutional affiliations. |
© 2022 by the authors. Licensee MDPI, Basel, Switzerland. This article is an open access article distributed under the terms and conditions of the Creative Commons Attribution (CC BY) license (https://creativecommons.org/licenses/by/4.0/).
Share and Cite
Zhang, A.; Jiang, X.; Wang, Q.; Hao, S.; Zhu, D.; Wang, J.; Wang, C.; Liu, M. Assessment of Glucocorticoid Removal by UVA/Chlorination and Ozonation: Performance Comparison in Kinetics, Degradation Pathway, and Toxicity. Water 2022, 14, 2493. https://doi.org/10.3390/w14162493
Zhang A, Jiang X, Wang Q, Hao S, Zhu D, Wang J, Wang C, Liu M. Assessment of Glucocorticoid Removal by UVA/Chlorination and Ozonation: Performance Comparison in Kinetics, Degradation Pathway, and Toxicity. Water. 2022; 14(16):2493. https://doi.org/10.3390/w14162493
Chicago/Turabian StyleZhang, Ai, Xinyuan Jiang, Qiancheng Wang, Siyu Hao, Dahai Zhu, Jie Wang, Ce Wang, and Mingyan Liu. 2022. "Assessment of Glucocorticoid Removal by UVA/Chlorination and Ozonation: Performance Comparison in Kinetics, Degradation Pathway, and Toxicity" Water 14, no. 16: 2493. https://doi.org/10.3390/w14162493
APA StyleZhang, A., Jiang, X., Wang, Q., Hao, S., Zhu, D., Wang, J., Wang, C., & Liu, M. (2022). Assessment of Glucocorticoid Removal by UVA/Chlorination and Ozonation: Performance Comparison in Kinetics, Degradation Pathway, and Toxicity. Water, 14(16), 2493. https://doi.org/10.3390/w14162493
