High Ecological Health Risks of Potentially Toxic Metals in Polluted Drainage Sediments: Is There a Need for Public Concern during Flash Floods?
Abstract
:1. Introduction
2. Materials and Methods
2.1. Sampling Site Descriptions and Sediment Collection
2.2. Metal Analysis
2.2.1. Acid Digestions
2.2.2. Quality Control for Heavy Metal Analysis
2.3. Ecological Risks
2.3.1. Ratios of Non-Resistant to Resistant Fractions
2.3.2. Enrichment Factors
2.3.3. Geoaccumulation Index
2.3.4. Ecological Risk Index
2.3.5. Potential Ecological Risk Index
2.4. Human Health Risk
2.5. Data Analysis
3. Results and Discussion
3.1. Potentially Toxic Metals in Drainage Sediments
3.2. Assessment of Potentially Toxic Metal Pollution
Values of NR/R, EF, Igeo, CF, and ER
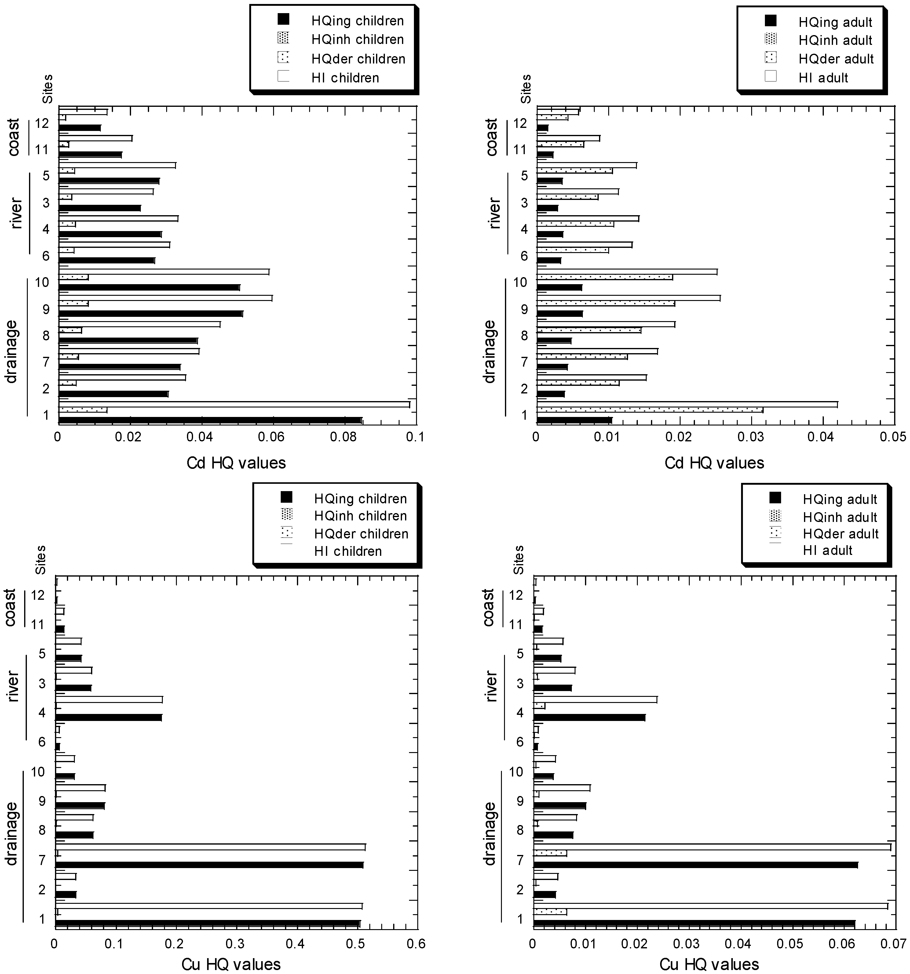
3.3. Human Health Risk Assessment
3.4. Possibility of Potentially Toxic Metal Transfer to Residential Area during Floods
4. Conclusions
Supplementary Materials
Author Contributions
Funding
Institutional Review Board Statement
Informed Consent Statement
Data Availability Statement
Acknowledgments
Conflicts of Interest
References
- Luo, X.-S.; Ding, J.; Xu, B.; Wang, Y.-J.; Li, H.-B.; Yu, S. Incorporating Bioaccessibility into Human Health Risk Assessments of Heavy Metals in Urban Park Soils. Sci. Total Environ. 2012, 424, 88–96. [Google Scholar] [CrossRef] [PubMed]
- Xu, D.-M.; Fu, R.-B.; Liu, H.-Q.; Guo, X.-P. Current Knowledge from Heavy Metal Pollution in Chinese Smelter Contaminated Soils, Health Risk Implications and Associated Remediation Progress in Recent Decades: A Critical Review. J. Clean. Prod. 2020, 286, 124989. [Google Scholar] [CrossRef]
- Yap, C.K. Soil Pollution: Sources, Management Strategies and Health Effects; Nova Science Publishers, Inc.: Hauppauge, NY, USA, 2019; ISBN 978-1-5361-3942-6. [Google Scholar]
- Yap, C.K.; Chew, W.; Al-Mutairi, K.A.; Nulit, R.; Ibrahim, M.H.; Wong, K.W.; Bakhtiari, A.R.; Sharifinia, M.; Ismail, M.S.; Leong, W.J.; et al. Assessments of the Ecological and Health Risks of Potentially Toxic Metals in the Topsoils of Different Land Uses: A Case Study in Peninsular Malaysia. Biology 2022, 11, 2. [Google Scholar] [CrossRef]
- Yap, C.K.; Al-Mutairi, K.A. Ecological-Health Risk Assessments of Heavy Metals (Cu, Pb, and Zn) in Aquatic Sediments from the ASEAN-5 Emerging Developing Countries: A Review and Synthesis. Biology 2022, 11, 7. [Google Scholar] [CrossRef] [PubMed]
- Yap, C.K.; Wong, C.H. Assessment Cu, Ni and Zn Pollution in the Surface Sediments in the Southern Peninsular Malaysia Using Cluster Analysis, Ratios of Geochemical Nonresistant to Resistant Fractions, and Geochemical Indices. Environ. Asia 2011, 4, 53–61. [Google Scholar] [CrossRef]
- Yap, C.K.; Pang, B.H. Assessment of Cu, Pb, and Zn Contamination in Sediment of North Western Peninsular Malaysia by Using Sediment Quality Values and Different Geochemical Indices. Environ. Monit. Assess. 2011, 183, 23–39. [Google Scholar] [CrossRef] [PubMed]
- Yap, C.K.; Pang, B.H. Anthropogenic Concentrations of Cd, Ni and Zn in the Intertidal, River and Drainage Sediments Collected from North Western Peninsular Malaysia. Pertanika J. Sci. Technol. 2011, 19, 93–107. [Google Scholar]
- Hoodaji, M.; Tahmourespour, A.; Amini, H. Assessment of Copper, Cobalt and Zinc Contaminations in Soils and Plants of Industrial Area in Esfahan City (in Iran). Environ. Earth Sci. 2010, 61, 1353–1360. [Google Scholar] [CrossRef]
- Mojiri, A.; Ohashi, A.; Ozaki, N.; Shoiful, A.; Kindaichi, T. Pollutant Removal from Synthetic Aqueous Solutions with a Combined Electrochemical Oxidation and Adsorption Method. Int. J. Environ. Res. Public Health 2018, 15, 1443. [Google Scholar] [CrossRef] [Green Version]
- Omar, N.Y.M.J.; Abas, M.R.B.; Rahman, N.A.; Tahir, N.M.; Rushdi, A.I.; Simoneit, B.R.T. Levels and Distributions of Organic Source Tracers in Air and Roadside Dust Particles of Kuala Lumpur, Malaysia. Environ. Geol. 2007, 52, 1485–1500. [Google Scholar] [CrossRef]
- Maimon, A.; Jusoh, K.; Mahir, A.R.; Ismail, B.S. Comparative Accumulation of Heavy Metals in Selected Vegetables, Their Availability and Correlation in Lithogenic and Nonlithogenic Fractions of Soils from Some Agricultural Areas in Malaysia. Adv. Environ. Biol. 2009, 3, 314–321. [Google Scholar]
- Ashraf, M.A.; Maah, M.J.; Yusoff, I. Heavy Metals Accumulation in Plants Growing in Ex Tin Mining Catchment. Int. J. Environ. Sci. Technol. 2011, 8, 401–416. [Google Scholar] [CrossRef] [Green Version]
- Chen, H.; Teng, Y.; Lu, S.; Wang, Y.; Wang, J. Contamination Features and Health Risk of Soil Heavy Metals in China. Sci. Total Environ. 2015, 512–513, 143–153. [Google Scholar] [CrossRef] [PubMed]
- Chabukdhara, M.; Nema, A.K. Heavy Metals Assessment in Urban Soil around Industrial Clusters in Ghaziabad, India: Probabilistic Health Risk Approach. Ecotoxicol. Environ. Saf. 2013, 87, 57–64. [Google Scholar] [CrossRef]
- Qing, X.; Yutong, Z.; Shenggao, L. Assessment of Heavy Metal Pollution and Human Health Risk in Urban Soils of Steel Industrial City (Anshan), Liaoning, Northeast China. Ecotoxicol. Environ. Saf. 2015, 120, 377–385. [Google Scholar] [CrossRef]
- Li, Z.; Ma, Z.; van der Kuijp, T.J.; Yuan, Z.; Huang, L. A Review of Soil Heavy Metal Pollution from Mines in China: Pollution and Health Risk Assessment. Sci. Total Environ. 2014, 468, 843–853. [Google Scholar] [CrossRef]
- Wei, X.; Gao, B.; Wang, P.; Zhou, H.; Lu, J. Pollution Characteristics and Health Risk Assessment of Heavy Metals in Street Dusts from Different Functional Areas in Beijing, China. Ecotoxicol. Environ. Saf. 2015, 112, 186–192. [Google Scholar] [CrossRef]
- Wu, S.; Peng, S.; Zhang, X.; Wu, D.; Luo, W.; Zhang, T.; Zhou, S.; Yang, G.; Wan, H.; Wu, L. Levels and Health Risk Assessments of Heavy Metals in Urban Soils in Dongguan, China. J. Geochem. Explor. 2015, 148, 71–78. [Google Scholar] [CrossRef]
- Gu, Y.-G.; Lin, Q.; Gao, Y.-P. Metals in Exposed-Lawn Soils from 18 Urban Parks and Its Human Health Implications in Southern China’s Largest City, Guangzhou. J. Clean. Prod. 2016, 115, 122–129. [Google Scholar] [CrossRef]
- Khan, S.; Munir, S.; Sajjad, M.; Li, G. Urban Park Soil Contamination by Potentially Harmful Elements and Human Health Risk in Peshawar City, Khyber Pakhtunkhwa, Pakistan. J. Geochem. Explor. 2016, 165, 102–110. [Google Scholar] [CrossRef]
- Xu, X.; Hu, X.; Wang, T.; Sun, M.; Wang, L.; Zhang, L. Non-Inverted U-Shaped Challenges to Regional Sustainability: The Health Risk of Soil Heavy Metals in Coastal China. J. Clean. Prod. 2021, 279, 123746. [Google Scholar] [CrossRef]
- Badri, M.A.; Aston, S.R. Observations on Heavy Metal Geochemical Associations in Polluted and Non-Polluted Estuarine Sediments. Environ. Pollut. Ser. B Chem. Phys. 1983, 6, 181–193. [Google Scholar] [CrossRef]
- Wong, K.W.; Yap, C.K.; Nulit, R.; Hamzah, M.S.; Chen, S.K.; Cheng, W.H.; Karami, A.; Al-Shami, S.A. Effects of Anthropogenic Activities on the Heavy Metal Levels in the Clams and Sediments in a Tropical River. Environ. Sci. Pollut. Res. 2017, 24, 116–134. [Google Scholar] [CrossRef] [PubMed]
- Buat-Menard, P.; Chesselet, R. Variable influence of the atmospheric flux on the trace metal chemistry of oceanic suspended matter. Earth Planet. Sci. Lett. 1979, 42, 398–411. [Google Scholar] [CrossRef]
- Wedepohl, K.H. The Composition of the Continental Crust. Geochim. Cosmochim. Acta 1995, 59, 1217–1232. [Google Scholar] [CrossRef]
- Schi, K.C.; Weisberg, S.B. Iron as a reference element for determining trace metal enrichment in Southern California coast shelf sediments. Mar. Environ. Res. 1999, 48, 161–176. [Google Scholar]
- Binta Hasan, A.; Kabir, S.; Selim Reza, A.H.M.; Nazim Zaman, M. Enrichment factor and geo-accumulation index of trace metals in sediments of the ship breaking area of Sitakund Upazilla (Bhatiary–Kumira), Chittagong, Bangladesh. J. Geochem. Exp. 2013, 125, 130–137. [Google Scholar] [CrossRef]
- Sutherland, R.A. Bed sediment-associated trace metals in an urban stream, Oahu, Hawaii. Environ. Geol. 2000, 39, 611–627. [Google Scholar] [CrossRef]
- Cheng, W.H.; Yap, C.K. Potential Human Health Risks from Toxic Metals via Mangrove Snail Consumption and Their Ecological Risk Assessments in the Habitat Sediment from Peninsular Malaysia. Chemosphere 2015, 135, 156–165. [Google Scholar] [CrossRef]
- Xiao, Y.; Guo, M.; Li, X.; Luo, X.; Pan, R.; Ouyang, T. Spatial Distribution, Pollution, and Health Risk Assessment of Heavy Metal in Agricultural Surface Soil for the Guangzhou-Foshan Urban Zone, South China. PLoS ONE 2020, 15, e0239563. [Google Scholar] [CrossRef]
- Tian, S.; Wang, S.; Bai, X.; Zhou, D.; Luo, G.; Yang, Y.; Hu, Z.; Li, C.; Deng, Y.; Lu, Q. Ecological Security and Health Risk Assessment of Soil Heavy Metals on a Village-Level Scale, Based on Different Land Use Types. Environ. Geochem. Health 2020, 42, 3393–3413. [Google Scholar] [CrossRef] [PubMed]
- Muller, G. Index of Geoaccumulation in Sediments of the Rhine River. Geojournal 1969, 2, 108–118. [Google Scholar]
- Hakanson, L. An Ecological Risk Index for Aquatic Pollution Control.a Sedimentological Approach. Water Res. 1980, 14, 975–1001. [Google Scholar] [CrossRef]
- US EPA. Baseline Human Health Risk Assessment Vasquez Boulevard and I-70 Superfund Site Demver, Co; U.S. Environmental Protection Agency: Washington, DC, USA, 2001.
- US EPA. Exposure Factors Handbook (1997); EPA/600/P-95/002F; National Center for Environmental Assessment, US EPA Office of Research and Development: Washington, DC, USA, 1997.
- US EPA. Human Health Evaluation Manual. In Risk Assessment Guidance for Superfund; EPA/540/1-89/002; Office of Emergency and Remedial Response, U.S. Environmental Protection Agency: Washington, DC, USA, 1989; Volume 1. [Google Scholar]
- US EPA. Superfund Public Health Evaluation Manual; U.S. Environmental Protection Agency: Washington, DC, USA, 1986; pp. 1–86.
- DB11/T 656-2009; Environmental Site Assessment Guideline. Beijing Quality and Technology Supervision Bureau: Beijing, China, 2009.
- Barnes, D.G.; Dourson, M.; Dourson, M.; Preuss, P.; Barnes, D.G.; Bellin, J.; Derosa, C.; Engler, R.; Erdreich, L.; Farber, T.; et al. Reference Dose (RfD): Description and Use in Health Risk Assessments. Regul. Toxicol. Pharmacol. 1988, 8, 471–486. [Google Scholar] [CrossRef]
- Ferreira-Baptista, L.; De Miguel, E. Geochemistry and Risk Assessment of Street Dust in Luanda, Angola: A Tropical Urban Environment. Atmos. Environ. 2005, 39, 4501–4512. [Google Scholar] [CrossRef] [Green Version]
- Hu, X.; Zhang, Y.; Luo, J.; Wang, T.; Lian, H.; Ding, Z. Bioaccessibility and Health Risk of Arsenic, Mercury and Other Metals in Urban Street Dusts from a Mega-City, Nanjing, China. Environ. Pollut. 2011, 159, 1215–1221. [Google Scholar] [CrossRef]
- Kelepertzis, E. Investigating the Sources and Potential Health Risks of Environmental Contaminants in the Soils and Drinking Waters from the Rural Clusters in Thiva Area (Greece). Ecotoxicol. Environ. Saf. 2014, 100, 258–265. [Google Scholar] [CrossRef]
- Taylor, S.R.; McLennan, S.M. The Geochemical Evolution of the Continental Crust. Rev. Geophys. 1995, 33, 241–265. [Google Scholar] [CrossRef]
- Rudnick, R.L.; Gao, S. 3.01—Composition of the Continental Crust. In Treatise on Geochemistry; Holland, H.D., Turekian, K.K., Eds.; Pergamon: Oxford, UK, 2003; pp. 1–64. ISBN 978-0-08-043751-4. [Google Scholar]
- Zhao, H.; Xia, B.; Fan, C.; Zhao, P.; Shen, S. Human Health Risk from Soil Heavy Metal Contamination under Different Land Uses near Dabaoshan Mine, Southern China. Sci. Total Environ. 2012, 417–418, 45–54. [Google Scholar] [CrossRef]
- Moya, J.; Bearer, C.F.; Etzel, R.A. Various Life Stages. Pediatrics 2004, 113, 996–1006. [Google Scholar] [CrossRef]
- Rahman, S. Malaysia’s Floods of December 2021: Can Future Disasters be Avoided? Reseachers at ISEAS, Yusof Ishak Institute Analyse Current Events, Singapore, 16 March 2022; ISEAS: Singapore, 2022; 2022, No. 26. [Google Scholar]
- Ciszewski, D.; Grygar, T.M. A Review of Flood-Related Storage and Remobilization of Heavy Metal Pollutants in River Systems. Water Air Soil Pollut. 2016, 227, 239. [Google Scholar] [CrossRef] [PubMed] [Green Version]
- Aslan, A. Floodplain sediments. In Encyclopedia of Sediments and Sedimentary Rocks; Middleton, G.V., Church, M.J., Coniglio, M., Hardie, L.A., Longstaffe, F.J., Eds.; Encyclopedia of Earth Sciences Series; Springer: Dordrecht, The Netherlands, 1978. [Google Scholar] [CrossRef]
- Zhao, Y.; Marriott, S.B. Dispersion and remobilisation of heavy metals in the River Severn system, UK. Procedia Environ. Sci. 2013, 18, 167–173. [Google Scholar] [CrossRef] [Green Version]
- Szabó, Z.; Buró, B.; Szabó, J.; Tóth, C.A.; Baranyai, E.; Herman, P.; Prokisch, J.; Tomor, T.; Szabó, Z. Geomorphology as a Driver of Heavy Metal Accumulation Patterns in a Floodplain. Water 2020, 12, 563. [Google Scholar] [CrossRef] [Green Version]
- Wyżga, B.; Ciszewski, D. Hydraulic controls on the entrapment of heavy metal-polluted sediments on a floodplain of variable width, the upper Vistula River, southern Poland. Geomorphology 2010, 117, 272–286. [Google Scholar] [CrossRef]
- Hostache, R.; Hissler, C.; Matgen, P.; Guignard, C.; Bates, P. Modelling suspended-sediment propagation and related heavy metal contamination in floodplains: A parameter sensitivity analysis. Hydrol. Earth Syst. Sci. 2014, 18, 3539–3551. [Google Scholar] [CrossRef] [Green Version]
- Narayan, A.; Mora, A.; Sánchez, L.; Rosales, J. Temporal and spatial variability of heavy metals in bottom sediments and the aquatic macrophyte Paspalum repens of the Orinoco River floodplain lagoons impacted by industrial activities. Environ. Sci. Pollut. Res. 2020, 27, 37074–37086. [Google Scholar] [CrossRef]
- Liang, Y.; Xiao, H.; Liu, X.; Shi, H. The risk and phytotoxicity of metal(loid)s in the sediment, floodplain soil, and hygrophilous grasses along Le’an River. Int. J. Environ. Sci. Technol. 2020, 17, 1963–1974. [Google Scholar] [CrossRef]
- Owca, T.J.; Kay, M.L.; Faber, J.; Remmer, C.R.; Zabel, N.; Wiklund, J.A.; Wolfe, B.B.; Hall, R.I. Use of pre-industrial baselines to monitor anthropogenic enrichment of metals concentrations in recently deposited sediment of floodplain lakes in the Peace-Athabasca Delta (Alberta, Canada). Environ. Monit. Assess. 2020, 192, 106. [Google Scholar] [CrossRef] [Green Version]
- Garvin, E.M.; Bridge, C.F.; Garvin, M.S. Screening Level Assessment of Metal Concentrations in Streambed Sediments and Floodplain Soils within the Grand Lake Watershed in Northeastern Oklahoma, USA. Arch. Environ. Contam. Toxicol. 2017, 72, 349–363. [Google Scholar] [CrossRef]
- Falkowska, E.; Falkowski, T. Trace metals distribution pattern in floodplain sediments of a lowland river in relation to contemporary valley bottom morphodynamics. Earth Surf. Processes Landf. 2015, 40, 876–887. [Google Scholar] [CrossRef]
- Martin, C.W. Trace metal storage in recent floodplain sediments along the Dill River, central Germany. Geomorphology 2015, 235, 52–62. [Google Scholar] [CrossRef]
- Strzebońska, M.; Kostka, A.; Helios-Rybicka, E.; Jarosz-Krzemińska, E. Effect of flooding on heavy metals contamination of vistula floodplain sediments in Cracow; historical mining and smelting as the most important source of pollution. Pol. J. Environ. Stud. 2015, 24, 1317–1326. [Google Scholar]














| Factor | Definition | Unit | Values | References | |
|---|---|---|---|---|---|
| Children | Adults | ||||
| ABF | Dermal absorption factor | Unitless | 1.00 × 10−3 | 1.00 × 10−3 | [15] | 
| Cd RfD | Reference dose for ingestion | mg/kg day | 1.00 × 10−3 | 1.00 × 10−3 | [16] | 
| Ni RfD | Reference dose for ingestion | mg/kg day | 2.00 × 10−2 | 2.00 × 10−2 | [16] | 
| Cu RfD | Reference dose for ingestion | mg/kg day | 4.00 × 10−2 | 4.00 × 10−2 | [16] | 
| Pb RfD | Reference dose for ingestion | mg/kg day | 3.50 × 10−3 | 3.50 × 10−3 | [16] | 
| Zn RfD | Reference dose for ingestion | mg/kg day | 3.00 × 10−1 | 3.00 × 10−1 | [16] | 
| Cd RfD | Reference dose for inhalation | mg/kg day | 1.00 × 10−3 | 1.00 × 10−3 | [16] | 
| Ni RfD | Reference dose for inhalation | mg/kg day | 2.06 × 10−2 | 2.06 × 10−2 | [16] | 
| Cu RfD | Reference dose for inhalation | mg/kg day | 4.02 × 10−2 | 4.02 × 10−2 | [16] | 
| Pb RfD | Reference dose for inhalation | mg/kg day | 3.52 × 10−3 | 3.52 × 10−3 | [16] | 
| Zn RfD | Reference dose for inhalation | mg/kg day | 3.00 × 10−1 | 3.00 × 10−1 | [16] | 
| Cd RfD | Reference dose for dermal contact | mg/kg day | 1.00 × 10−5 | 1.00 × 10−5 | [16] | 
| Ni RfD | Reference dose for dermal contact | mg/kg day | 5.40 × 10−3 | 5.40 × 10−3 | [16] | 
| Cu RfD | Reference dose for dermal contact | mg/kg day | 1.20 × 10−2 | 1.20 × 10−2 | [16] | 
| Pb RfD | Reference dose for dermal contact | mg/kg day | 5.25 × 10−4 | 5.25 × 10−4 | [16] | 
| Zn RfD | Reference dose for dermal contact | mg/kg day | 6.00 × 10−2 | 6.00 × 10−2 | [16] | 
| InhR | Inhalation rate of sediment | m3/day | 7.63 | 12.8 | [17] | 
| IngR | Ingestion rate of sediment | mg/day | 200 | 100 | [35] | 
| ED | Exposure duration | Years | 6 | 24 | [35] | 
| PEF | Particle emission factor | m3/kg | 1.36 × 109 | 1.36 × 109 | [35] | 
| AT | Average time | Days | 365 × 6 | 365 × 24 | [36] | 
| BW | Bodyweight of the exposed individual | Kg | 15 | 55.9 | [39] | 
| EF | Exposure frequency | Days/year | 350 | 350 | [39] | 
| SA | Exposed skin surface area | cm2 | 1600 | 4350 | [39] | 
| AF | Skin adherence factor | mg/cm day | 0.2 | 0.7 | [40] | 
| Cd Coast | Total Cd | Total Cu | Fe% | Total Ni | Total Pb | Total Zn | |
|---|---|---|---|---|---|---|---|
| Coast | Min | 0.96 | 8.02 | 3.34 | 16.6 | 32.2 | 34.9 | 
| Max | 1.45 | 43.9 | 3.96 | 28.5 | 59.5 | 126 | |
| Mean | 1.21 | 26.0 | 3.65 | 22.6 | 45.8 | 80.3 | |
| Median | 1.21 | 26.0 | 3.65 | 22.6 | 45.8 | 80.3 | |
| SD | 0.35 | 25.4 | 0.44 | 8.41 | 19.3 | 64.2 | |
| SE | 0.25 | 17.9 | 0.31 | 5.95 | 13.6 | 45.4 | |
| Drainage | Min | 2.53 | 102 | 3.81 | 26.0 | 56.5 | 232 | 
| Max | 7.01 | 1689 | 6.15 | 850 | 307 | 312 | |
| Mean | 4.00 | 674 | 4.47 | 231 | 135 | 289 | |
| Median | 3.70 | 236 | 4.14 | 138 | 113 | 297 | |
| SD | 1.64 | 782 | 0.87 | 308 | 90.2 | 29.5 | |
| SE | 0.67 | 319 | 0.36 | 126 | 36.8 | 12.1 | |
| River | Min | 1.88 | 18.9 | 1.76 | 13.1 | 74.4 | 75.4 | 
| Max | 2.37 | 580 | 3.70 | 222 | 90.4 | 255 | |
| Mean | 2.20 | 233 | 2.49 | 78.8 | 84.9 | 175 | |
| Median | 2.27 | 167 | 2.26 | 39.9 | 87.4 | 184 | |
| SD | 0.22 | 243 | 0.86 | 96.4 | 7.14 | 74.5 | |
| SE | 0.11 | 121 | 0.43 | 48.2 | 3.57 | 37.3 | |
| Reference Values | Cd | Cu | Fe | Ni | Pb | Zn | |
| Pre-industrial reference level [34] | 1.00 | 50.0 | NA | NA | 70.0 | 175 | |
| UCC [26] | 0.102 | 14.3 | 30,900 | 19.0 | 17.0 | 52.0 | |
| UCC [44] | 0.098 | 25.0 | NA | 44.0 | 17.0 | 71.0 | |
| UCC [45] | 0.090 | 28.0 | NA | 47.0 | 17.0 | 67.0 | |
| Publisher’s Note: MDPI stays neutral with regard to jurisdictional claims in published maps and institutional affiliations. | 
© 2022 by the authors. Licensee MDPI, Basel, Switzerland. This article is an open access article distributed under the terms and conditions of the Creative Commons Attribution (CC BY) license (https://creativecommons.org/licenses/by/4.0/).
Share and Cite
Yap, C.K.; Al-Mutairi, K.A. High Ecological Health Risks of Potentially Toxic Metals in Polluted Drainage Sediments: Is There a Need for Public Concern during Flash Floods? Water 2022, 14, 2316. https://doi.org/10.3390/w14152316
Yap CK, Al-Mutairi KA. High Ecological Health Risks of Potentially Toxic Metals in Polluted Drainage Sediments: Is There a Need for Public Concern during Flash Floods? Water. 2022; 14(15):2316. https://doi.org/10.3390/w14152316
Chicago/Turabian StyleYap, Chee Kong, and Khalid Awadh Al-Mutairi. 2022. "High Ecological Health Risks of Potentially Toxic Metals in Polluted Drainage Sediments: Is There a Need for Public Concern during Flash Floods?" Water 14, no. 15: 2316. https://doi.org/10.3390/w14152316
APA StyleYap, C. K., & Al-Mutairi, K. A. (2022). High Ecological Health Risks of Potentially Toxic Metals in Polluted Drainage Sediments: Is There a Need for Public Concern during Flash Floods? Water, 14(15), 2316. https://doi.org/10.3390/w14152316
 
         
                                                

 
       