An Assessment of the Effectiveness of Riverbank Filtration in a Sewage Plant Effluent-Impacted River Using a Full-Scale Horizontal Well
Abstract
:1. Introduction
2. Materials and Methods
2.1. Full-Scale Horizontal Collector Well
2.2. Nitrogen and Phosphorus Content
2.3. Characteristics of Dissolved Organic Matter (DOM)
2.4. Trace Organic Contaminants (TrOCs)
3. Results and Discussion
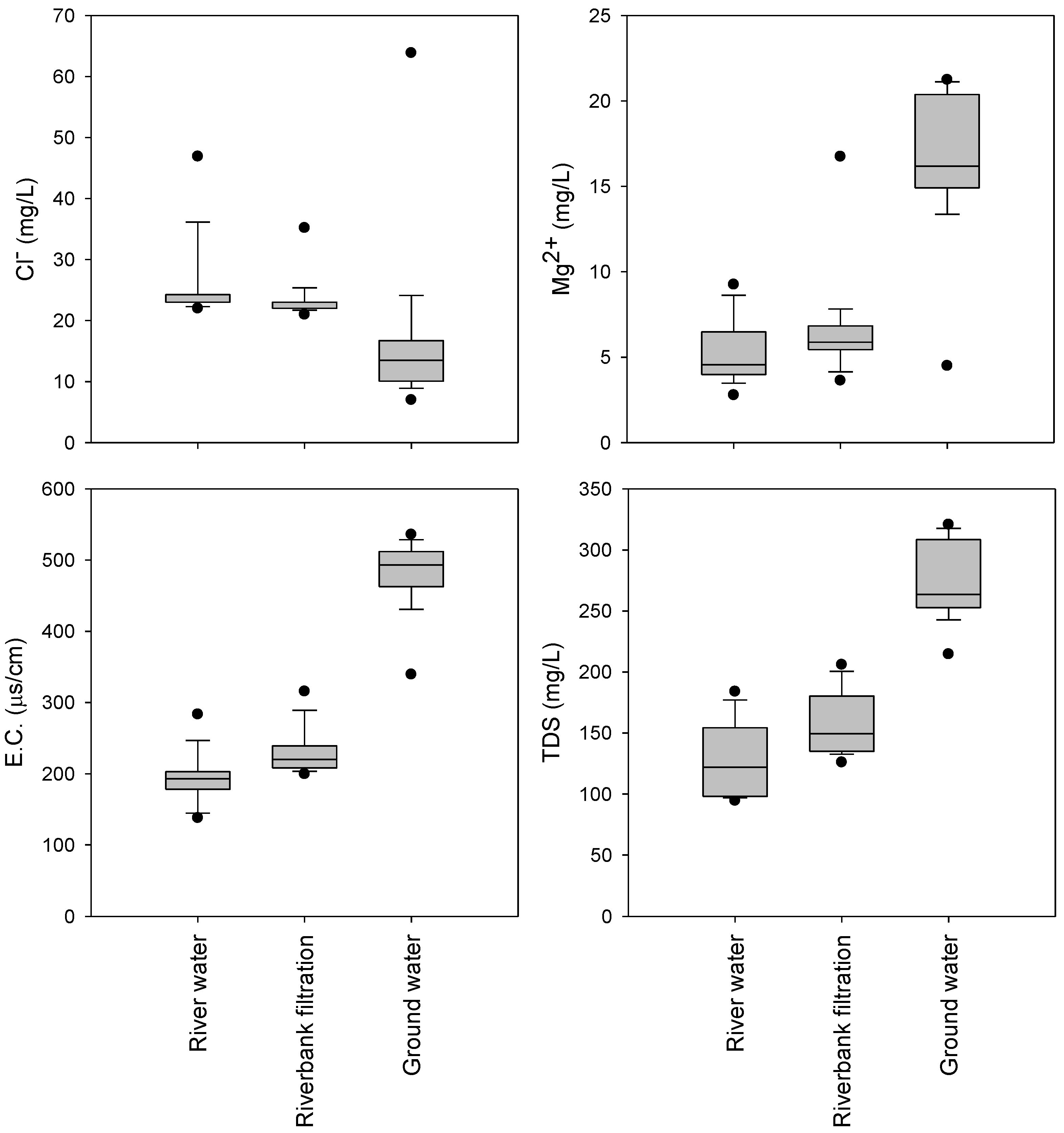
3.1. Groundwater and Riverbank Filtration
3.2. Performance of a Horizontal Collector (Temperature, Turbidity, and Concentrations of Fe, Mn, and DOC)
3.3. Performance of Laterals (Temperature, Turbidity, and Concentrations of Fe, Mn, and DOC)
3.4. Characteristics of Dissolved Organic Matter (DOM) (LC-OCD and F-EEM)
3.5. Trace Organic Contaminants (TrOCs) (Tebuconazole, Hexaconazole, Iprobenfos, and Isoprothiolane)
4. Conclusions
Author Contributions
Funding
Institutional Review Board Statement
Informed Consent Statement
Data Availability Statement
Conflicts of Interest
References
- Agudelo-Vera, C.; Avvedimento, S.; Boxall, J.; Creaco, E.; de Kater, H.; Di Nardo, A.; Djukic, A.; Douterelo, I.; Fish, K.E.; Rey, P.L.I.; et al. Drinking Water Temperature around the Globe: Understanding, Policies, Challenges and Opportunities. Water 2020, 12, 1049. [Google Scholar] [CrossRef] [Green Version]
 - Rogowska, J.; Cieszynska-Semenowicz, M.; Ratajczyk, W.; Wolska, L. Micropollutants in treated wastewater. Ambio 2020, 49, 487–503. [Google Scholar] [CrossRef] [PubMed] [Green Version]
 - Kim, K.Y.; Ekpe, O.D.; Lee, H.J.; Oh, J.E. Perfluoroalkyl substances and pharmaceuticals removal in full-scale drinking water treatment plants. J. Hazard Mater. 2020, 400, 123235. [Google Scholar] [CrossRef] [PubMed]
 - Sudhakaran, S.; Maeng, S.K.; Amy, G. Hybridization of natural systems with advanced treatment processes for organic micropollutant removals: New concepts in multi-barrier treatment. Chemosphere 2013, 92, 731–737. [Google Scholar] [CrossRef]
 - Noh, J.H.; So, S.H.; Park, J.W.; Maeng, S.K. Influence of algal organic matter on the attenuation of selected trace organic contaminants and dissolved organic matter in managed aquifer recharge: Column studies. Environ. Sci. Water Res. Technol. 2020, 6, 2789–2799. [Google Scholar] [CrossRef]
 - Shamrukh, M.; Abdel-Wahab, A. Riverbank filtration for sustainable water supply: Application to a large-scale facility on the Nile River. Clean Technol. Environ. Policy 2008, 10, 351–358. [Google Scholar] [CrossRef]
 - Gillefalk, M.; Massmann, G.; Nützmann, G.; Hilt, S. Potential Impacts of Induced Bank Filtration on Surface Water Quality: A Conceptual Framework for Future Research. Water 2018, 10, 1240. [Google Scholar] [CrossRef] [Green Version]
 - Maeng, S.K.; Sharma, S.K.; Lekkerkerker-Teunissen, K.; Amy, G.L. Occurrence and fate of bulk organic matter and pharmaceutically active compounds in managed aquifer recharge: A review. Water Res. 2011, 45, 3015–3033. [Google Scholar] [CrossRef]
 - Jaramillo, M. Riverbank Filtration: An Efficient and Economical Drinking-Water Treatment Technology. Dyna 2012, 79, 148–157. [Google Scholar]
 - Maeng, S.K.; Sharma, S.K.; Abel, C.D.; Magic-Knezev, A.; Amy, G.L. Role of biodegradation in the removal of pharmaceutically active compounds with different bulk organic matter characteristics through managed aquifer recharge: Batch and column studies. Water Res. 2011, 45, 4722–4736. [Google Scholar] [CrossRef]
 - Hoppe-Jones, C.; Dickenson, E.R.; Drewes, J.E. The role of microbial adaptation and biodegradable dissolved organic carbon on the attenuation of trace organic chemicals during groundwater recharge. Sci. Total Environ. 2012, 437, 137–144. [Google Scholar] [CrossRef] [PubMed]
 - Maeng, S.K.; Ameda, E.; Sharma, S.K.; Grutzmacher, G.; Amy, G.L. Organic micropollutant removal from wastewater effluent-impacted drinking water sources during bank filtration and artificial recharge. Water Res. 2010, 44, 4003–4014. [Google Scholar] [CrossRef] [PubMed]
 - Ray, C.; Grischek, T.; Schubert, J.; Wang, J.Z.; Speth, T.F. A Perspective of Riverbank Filtration. J. Am. Water Works Assoc. 2002, 94, 149–160. [Google Scholar] [CrossRef]
 - Partinoudi, V.; Collins, M.R. Assessing RBF reduction/removal mechanisms for microbial and organic DBP precursors. J. Am. Water Works Assoc. 2007, 99, 61–71. [Google Scholar] [CrossRef]
 - Hur, J.; Schlautman, M.A. Molecular weight fractionation of humic substances by adsorption onto minerals. J. Colloid Interface Sci. 2003, 264, 313–321. [Google Scholar] [CrossRef]
 - Ministry of Environment. Occurrence of Industrial Wastewater in Korea; Ministry of Environment: Sejongsi, Korea, 2021. [Google Scholar]
 - American Public Health Association (APHA); the American Water Works Association (AWWA); the Water Environment Federation (WEF). Standard Methods for the Examination of Water and Wastewater, 21st ed.; American Public Health Organisation: Washington, DC, USA, 2005. [Google Scholar]
 - Huber, S.A.; Balz, A.; Abert, M.; Pronk, W. Characterisation of aquatic humic and non-humic matter with size-exclusion chromatography—Organic carbon detection—Organic nitrogen detection (LC-OCD-OND). Water Res. 2011, 45, 879–885. [Google Scholar] [CrossRef]
 - Hoppe-Jones, C.; Oldham, G.; Drewes, J.E. Attenuation of total organic carbon and unregulated trace organic chemicals in U.S. riverbank filtration systems. Water Res. 2010, 44, 4643–4659. [Google Scholar] [CrossRef]
 - Maeng, S.K.; Lee, K.H. Riverbank Filtration for the Water Supply on the Nakdong River, South Korea. Water 2019, 11, 129. [Google Scholar] [CrossRef] [Green Version]
 - Baghoth, S.A.; Maeng, S.K.; Rodríguez, S.G.S.; Ronteltap, M.; Sharma, S.; Kennedy, M.; Amy, G.L. An urban water cycle perspective of natural organic matter (NOM): NOM in drinking water, wastewater effluent, storm water, and seawater. Water Supply 2008, 8, 701–707. [Google Scholar] [CrossRef]
 - Pharand, L.; Van Dyke, M.I.; Anderson, W.B.; Yohannes, Y.; Huck, P.M. Full-Scale Ozone Biofiltration: Seasonally Related Effects on NOM Removal. J. Am. Water Works Assoc. 2015, 107, E425–E435. [Google Scholar] [CrossRef]
 - Grünheid, S.; Amy, G.; Jekel, M. Removal of bulk dissolved organic carbon (DOC) and trace organic compounds by bank filtration and artificial recharge. Water Res. 2005, 39, 3219–3228. [Google Scholar] [CrossRef]
 - Coble, P.G. Marine optical biogeochemistry: The chemistry of ocean color. Chem. Rev. 2007, 107, 402–418. [Google Scholar] [CrossRef]
 - Fellman, J.B.; Hood, E.; Spencer, R.G.M. Fluorescence spectroscopy opens new windows into dissolved organic matter dynamics in freshwater ecosystems: A review. Limnol. Oceanogr. 2010, 55, 2452–2462. [Google Scholar] [CrossRef]
 







| Compound | MW  (g/mol)  | CAS# 1 | pK a 2 | log Kow 3  (pH = 8)  | logD 4  (pH = 7.4)  | Classification  @ pH = 8 5  | Use | 
|---|---|---|---|---|---|---|---|
| Hexaconazole | 314.21 | 79983-71-4 | 2.3 | 3.66 | 3.63 | Hydrophobic–Ionic | Fungicide | 
| Iprobenfos | 288.34 | 26087-47-8 | −8.2 | 3.57 | 3.21 | Hydrophobic–Neutral | Fungicide | 
| Isoprothiolane | 290.40 | 50512-35-1 | −7 | 2.79 | 3.44 | Hydrophobic–Neutral | Fungicide | 
| Tebuconazole | 307.82 | 107534-96-3 | 2.3 | 3.89 | 3.74 | Hydrophobic–Ionic | Fungicide | 
Publisher’s Note: MDPI stays neutral with regard to jurisdictional claims in published maps and institutional affiliations.  | 
© 2022 by the authors. Licensee MDPI, Basel, Switzerland. This article is an open access article distributed under the terms and conditions of the Creative Commons Attribution (CC BY) license (https://creativecommons.org/licenses/by/4.0/).
Share and Cite
Noh, J.-H.; So, S.-H.; Park, J.-W.; Kim, S.-Y.; Song, K.-G.; Choi, J.; Kim, G.-B.; Son, H.; Kim, H.; Maeng, S.-K. An Assessment of the Effectiveness of Riverbank Filtration in a Sewage Plant Effluent-Impacted River Using a Full-Scale Horizontal Well. Water 2022, 14, 1873. https://doi.org/10.3390/w14121873
Noh J-H, So S-H, Park J-W, Kim S-Y, Song K-G, Choi J, Kim G-B, Son H, Kim H, Maeng S-K. An Assessment of the Effectiveness of Riverbank Filtration in a Sewage Plant Effluent-Impacted River Using a Full-Scale Horizontal Well. Water. 2022; 14(12):1873. https://doi.org/10.3390/w14121873
Chicago/Turabian StyleNoh, Jin-Hyung, Soo-Hyun So, Ji-Won Park, Sang-Yeob Kim, Kyung-Guen Song, Jaewon Choi, Gyoo-Bum Kim, Heejong Son, Heeyoung Kim, and Sung-Kyu Maeng. 2022. "An Assessment of the Effectiveness of Riverbank Filtration in a Sewage Plant Effluent-Impacted River Using a Full-Scale Horizontal Well" Water 14, no. 12: 1873. https://doi.org/10.3390/w14121873
APA StyleNoh, J.-H., So, S.-H., Park, J.-W., Kim, S.-Y., Song, K.-G., Choi, J., Kim, G.-B., Son, H., Kim, H., & Maeng, S.-K. (2022). An Assessment of the Effectiveness of Riverbank Filtration in a Sewage Plant Effluent-Impacted River Using a Full-Scale Horizontal Well. Water, 14(12), 1873. https://doi.org/10.3390/w14121873
        
                                                
