Spatio-Temporal Evaluation of GPM-IMERGV6.0 Final Run Precipitation Product in Capturing Extreme Precipitation Events across Iran
Abstract
:1. Introduction
2. Materials and Methods
2.1. Study Area
2.2. Datasets
2.2.1. Reference Dataset
2.2.2. GPM-IMERGF
2.3. Extreme Precipitation Indices
2.4. Evaluation Approach
2.4.1. Performance Metrics
2.4.2. Trend Analysis
3. Results and Discussion
3.1. Maximum Precipitation Indices
3.2. Percentile Precipitation Indices
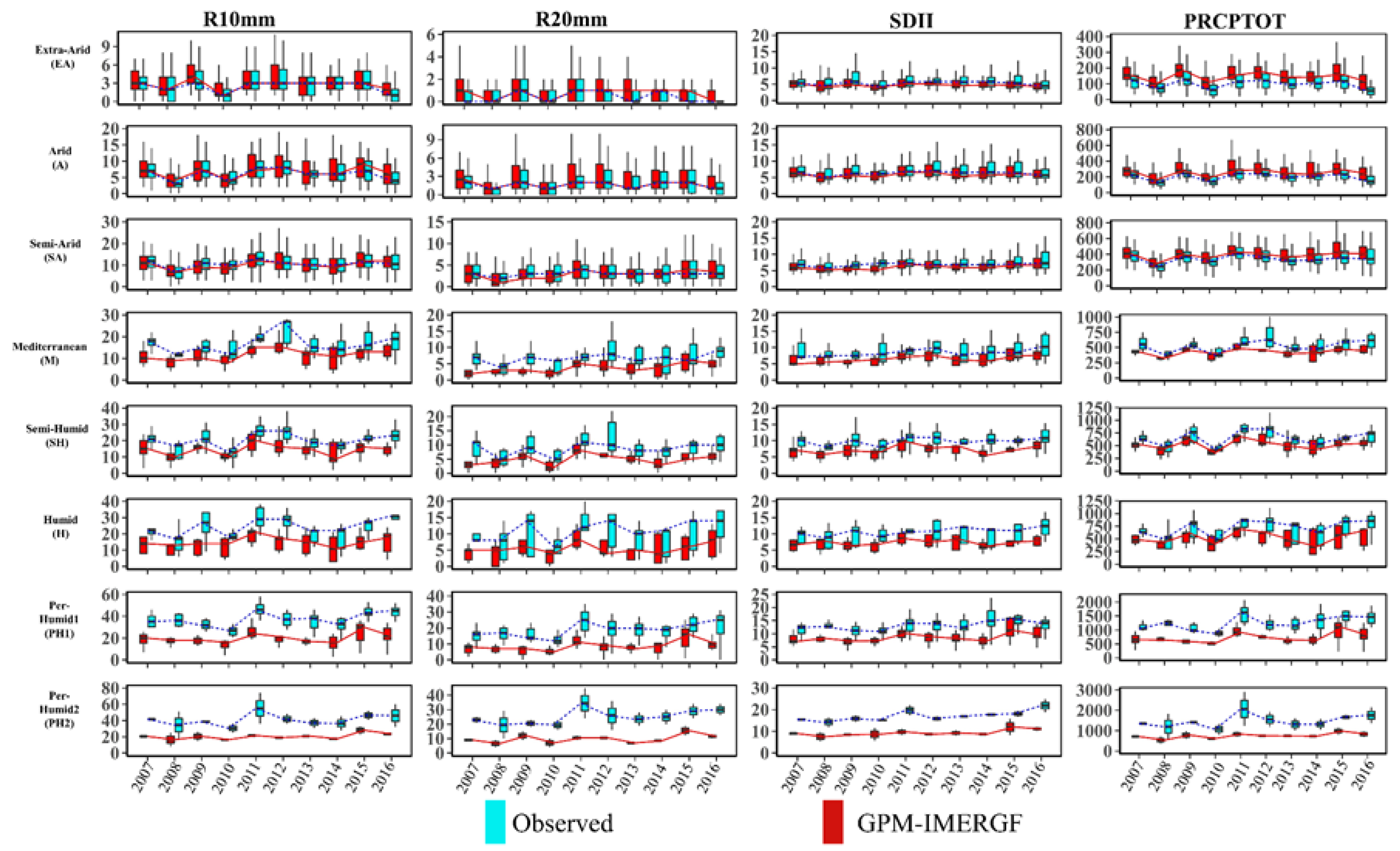
3.3. Absolute Threshold Precipitation Indices
3.4. Trend Analysis
4. Summary and Conclusions
- The results revealed that GPM-IMERGF had low to moderate accuracy regarding maximum precipitation indices based on different error metrics. However, relatively better performance of GPM-IMERGF was mainly found for Rx5day and CDD compared to other indices, especially over western parts of Iran.
- The best and the worst results for GPM-IMERGF were reported in capturing absolute threshold indices and percentile indices, respectively. GPM-IMERGF product was in good accordance with observational data in capturing PRCPTOT index across varying climate and topographies.
- The results also indicated that GPM-IMERGF was more effective in capturing R10mm index than R20mm higher accuracy across western Zagros mountainous regions.
- Considering extreme precipitation indices, statistical metrics indicated that GPM-IMERGF had low to moderate overestimation across arid regions. However, significant underestimation was observed over wet regions by GPM-IMERGF.
- Considering the spatial variation of different statistical metrics, it is evident that GPM-IMERGF estimations were more effective across Zagros mountainous regions. However, the worst results were obtained across northern coastal regions, dominated by a complex precipitation system.
- The trend analysis showed that GPM-IMERGF had acceptable accuracy regarding all precipitation indices based on the Mann–Kendall test. Furthermore, the results showed that most indices had mainly upward trend across the Zagros mountains and northern coastal regions.
Author Contributions
Funding
Acknowledgments
Conflicts of Interest
Appendix A. Aridity Index
| Climate Regions | No. of Stations | Aridity Index |
|---|---|---|
| Extra-Arid | 65 | AI < 5 |
| Arid | 66 | 5 ≤ AI < 10 |
| Semi-Arid | 110 | 10 ≤ AI < 20 |
| Mediterranean | 9 | 20 ≤ AI < 24 |
| Semi-Humid | 13 | 24 ≤ AI < 28 |
| Humid | 5 | 28 ≤ AI < 35 |
| Per-Humid1 | 11 | 35 ≤ AI < 55 |
| Per-Humid2 | 2 | ≥55 |
References
- Zhang, Q.; Sun, P.; Singh, V.P.; Chen, X. Spatial-temporal precipitation changes (1956–2000) and their implications for agriculture in China. Glob. Planet. Chang. 2012, 82–83, 86–95. [Google Scholar] [CrossRef]
- Funk, C.C.; Peterson, P.J.; Landsfeld, M.F.; Pedreros, D.H.; Verdin, J.P.; Rowland, J.D.; Romero, B.E.; Husak, G.J.; Michaelsen, J.C.; Verdin, A.P. A Quasi-Global Precipitation Time Series for Drought Monitoring. In U.S. Geological Survey Data Series; Series 832; U.S. Geological Survey: Reston, VA, USA, 2014. [Google Scholar] [CrossRef]
- Tapiador, F.J.; Kacimi, S.; De Castro, M.; Levizzani, V.; Katsanos, D.; García-Ortega, E. Precipitation Science: Observations, Retrievals, and Modeling. Adv. Meteorol. 2015, 2015, 843403. [Google Scholar] [CrossRef]
- Pendergrass, A.G. What precipitation is extreme? Science 2018, 360, 1072–1073. [Google Scholar] [CrossRef] [PubMed]
- Ghajarnia, N.; Kalantari, Z.; Destouni, G. Data-Driven Worldwide Quantification of Large-Scale Hydroclimatic Covariation Patterns and Comparison With Reanalysis and Earth System Modeling. Water Resour. Res. 2021, 57, e2020WR029377. [Google Scholar] [CrossRef]
- Brida, A.B.; Owiyo, T.; Sokona, Y. Loss and damage from the double blow of flood and drought in Mozambique. Int. J. Glob. Warm. 2013, 5, 514–531. [Google Scholar] [CrossRef] [Green Version]
- Devereux, S. The impact of droughts and floods on food security and policy options to alleviate negative effects. Agric. Econ. 2007, 37, 47–58. [Google Scholar] [CrossRef]
- MESSNER, F.; MEYER, V. Flood Damage, Vulnerability and Risk Perception – Challenges for Flood Damage Research. Flood Risk Manag. Hazards, Vulnerability Mitigation Measures; Springer: Dordrecht, The Netherlands, 2006; pp. 149–167. [Google Scholar] [CrossRef] [Green Version]
- Behboudian, M.; Kerachian, R. Evaluating the resilience of water resources management scenarios using the evidential reasoning approach: The Zarrinehrud river basin experience. J. Environ. Manag. 2021, 284, 112025. [Google Scholar] [CrossRef]
- Myhre, G.; Alterskjær, K.; Stjern, C.W.; Hodnebrog; Marelle, L.; Samset, B.H.; Sillmann, J.; Schaller, N.; Fischer, E.; Schulz, M.; et al. Frequency of extreme precipitation increases extensively with event rareness under global warming. Sci. Rep. 2019, 9, 16063. [Google Scholar] [CrossRef] [Green Version]
- Dehghani, M.; Salehi, S.; Mosavi, A.; Nabipour, N.; Shamshirband, S.; Ghamisi, P. Spatial analysis of seasonal precipitation over Iran: Co-variation with climate indices. ISPRS Int. J. Geo Inf. 2020, 9, 73. [Google Scholar] [CrossRef] [Green Version]
- Ghaleni, M.M.; Sharafi, S.; Hosseini-Moghari, S.; Helali, J.; Oskouei, E.A. Spatiotemporal Characteristics of Meteorological Drought During the Past Half Century in Different Climates Over Iran. Res. Sq. 2022. [Google Scholar] [CrossRef]
- Tabari, H.; Nikbakht, J.; Hosseinzadeh Talaee, P. Hydrological Drought Assessment in Northwestern Iran Based on Streamflow Drought Index (SDI). Water Resour. Manag. 2013, 27, 137–151. [Google Scholar] [CrossRef]
- Saemian, P.; Elmi, O.; Vishwakarma, B.D.; Tourian, M.J.; Sneeuw, N. Analyzing the Lake Urmia restoration progress using ground-based and spaceborne observations. Sci. Total Environ. 2020, 739, 139857. [Google Scholar] [CrossRef] [PubMed]
- Voss, K.A.; Famiglietti, J.S.; Lo, M.; De Linage, C.; Rodell, M.; Swenson, S.C. Groundwater depletion in the Middle East from GRACE with implications for transboundary water management in the Tigris-Euphrates-Western Iran region. Water Resour. Res. 2013, 49, 904–914. [Google Scholar] [CrossRef] [Green Version]
- Noori, R.; Maghrebi, M.; Mirchi, A.; Tang, Q.; Bhattarai, R.; Sadegh, M.; Noury, M.; Haghighi, A.T.; Kløve, B.; Madani, K. Anthropogenic depletion of Iran’s aquifers. Proc. Natl. Acad. Sci. USA 2021, 118. [Google Scholar] [CrossRef]
- Yadollahie, M. The flood in Iran: A consequence of the global warming? Int. J. Occup. Environ. Med. 2019, 10, 54–56. [Google Scholar] [CrossRef] [Green Version]
- Iran Floods Death Toll Reaches 70. Available online: https://www.france24.com/en/20190405-iran-floods-death-toll-reaches-70 (accessed on 5 April 2019).
- Al Jazeera Iran Suffers “$2bn in Damages” as Flood Toll Continues to Rise; Al Jazeera: Doha, Qatar, 2019.
- Dezfuli, A. Rare atmospheric river caused record floods across the middle east. Bull. Am. Meteorol. Soc. 2020, 101, E394–E400. [Google Scholar] [CrossRef]
- Tapiador, F.J.; Turk, F.J.; Petersen, W.; Hou, A.Y.; García-Ortega, E.; Machado, L.A.T.; Angelis, C.F.; Salio, P.; Kidd, C.; Huffman, G.J.; et al. Global precipitation measurement: Methods, datasets and applications. Atmos. Res. 2012, 104–105, 70–97. [Google Scholar] [CrossRef]
- Dyras, I.; Serafin-Rek, D. The application of GIS technology for precipitation mapping. Meteorol. Appl. 2005, 12, 69–75. [Google Scholar] [CrossRef]
- Alexakis, D.D.; Hadjimitsis, D.G.; Agapiou, A. Integrated use of remote sensing, GIS and precipitation data for the assessment of soil erosion rate in the catchment area of “Yialias” in Cyprus. Atmos. Res. 2013, 131, 108–124. [Google Scholar] [CrossRef]
- Eini, M.R.; Rahmati, A.; Piniewski, M. Hydrological application and accuracy evaluation of PERSIANN satellite-based precipitation estimates over a humid continental climate catchment. J. Hydrol. Reg. Stud. 2022, 41, 101109. [Google Scholar] [CrossRef]
- Eini, M.R.; Olyaei, M.A.; Kamyab, T.; Teymoori, J.; Brocca, L.; Piniewski, M. Evaluating three non-gauge-corrected satellite precipitation estimates by a regional gauge interpolated dataset over Iran. J. Hydrol. Reg. Stud. 2021, 38, 100942. [Google Scholar] [CrossRef]
- Shayeghi, A.; Azizian, A.; Brocca, L. Reliability of reanalysis and remotely sensed precipitation products for hydrological simulation over the Sefidrood River Basin, Iran. Hydrol. Sci. J. 2020, 65, 296–310. [Google Scholar] [CrossRef]
- Ghajarnia, N.; Liaghat, A.; Arasteh, P.D. Comparison and evaluation of high resolution precipitation estimation products in Urmia Basin-Iran. Atmos. Res. 2015, 158, 50–65. [Google Scholar] [CrossRef]
- Ghajarnia, N.; Daneshkar Arasteh, P.; Liaghat, M.; Araghinejad, S. Error Analysis on PERSIANN Precipitation Estimations: Case Study of Urmia Lake Basin, Iran. J. Hydrol. Eng. 2018, 23, 05018006. [Google Scholar] [CrossRef] [Green Version]
- Akbari, M.; Ghajarnia, N.; Ghajarnia, N.; Akbari, M.; Saemian, P.; Ehsani, M.R.; Azizian, A.; Kalantari, Z.; Behrangi, A.; Tourian, M.J.; et al. Evaluating the Evolution of ECMWF Precipitation Products Using Observational Data for Iran: From ERA40 to ERA5. 2018. Available online: https://www.researchgate.net/publication/355009348_Evaluating_the_Evolution_of_ECMWF_Precipitation_Products_Using_Observational_Data_for_Iran_From_ERA40_to_ERA5 (accessed on 30 April 2022).
- Rahmati, A.; Bakhtar, A.; Shayeghi, A.; Kalantari, Z.; Massah Bavani, A.; Ghajarnia, N. Spatio-temporal performance evaluation of 14 global precipitation estimation products across river basins in southwest Iran 2. Earth Space Sci. Open Arch. 2021. [Google Scholar]
- Rajulapati, C.R.; Papalexiou, S.M.; Clark, M.P.; Razavi, S.; Tang, G.; Pomeroy, J.W. Assessment of extremes in global precipitation products: How reliable are they? J. Hydrometeorol. 2020, 21, 2855–2873. [Google Scholar] [CrossRef]
- Scofield, R.A.; Kuligowski, R.J. Status and outlook of operational satellite precipitation algorithms for extreme-precipitation events. Weather Forecast. 2003, 18, 1037–1051. [Google Scholar] [CrossRef] [Green Version]
- Liu, J.; Xia, J.; She, D.; Li, L.; Wang, Q.; Zou, L. Evaluation of six satellite-based precipitation products and their ability for capturing characteristics of extreme precipitation events over a climate transition area in China. Remote Sens. 2019, 11, 1477. [Google Scholar] [CrossRef] [Green Version]
- Huffman, G.J.; Bolvin, D.T.; Braithwaite, D.; Hsu, K.; Joyce, R.; Xie, P.; Yoo, S.-H. NASA global precipitation measurement (GPM) integrated multi-satellite retrievals for GPM (IMERG). Algorithm Theor. Basis Doc. Version 2015, 4, 26. [Google Scholar]
- Fang, J.; Yang, W.; Luan, Y.; Du, J.; Lin, A.; Zhao, L. Evaluation of the TRMM 3B42 and GPM IMERG products for extreme precipitation analysis over China. Atmos. Res. 2019, 223, 24–38. [Google Scholar] [CrossRef]
- Huang, Y.; Chen, S.; Cao, Q.; Hong, Y.; Wu, B.; Huang, M.; Qiao, L.; Zhang, Z.; Li, Z.; Li, W.; et al. Evaluation of version-7 TRMM multi-satellite precipitation analysis product during the Beijing extreme heavy rainfall event of 21 July 2012. Water 2014, 6, 32–44. [Google Scholar] [CrossRef] [Green Version]
- Li, Z.; Tang, G.; Hong, Z.; Chen, M.; Gao, S.; Kirstetter, P.; Gourley, J.J.; Wen, Y.; Yami, T.; Nabih, S. Two-decades of GPM IMERG early and final run products intercomparison: Similarity and difference in climatology, rates, and extremes. J. Hydrol. 2021, 594, 125975. [Google Scholar] [CrossRef]
- Derin, Y.; Anagnostou, E.; Berne, A.; Borga, M.; Boudevillain, B.; Buytaert, W.; Chang, C.-H.; Chen, H.; Delrieu, G.; Hsu, Y.C. Evaluation of GPM-era global satellite precipitation products over multiple complex terrain regions. Remote Sens. 2019, 11, 2936. [Google Scholar] [CrossRef] [Green Version]
- Gaona, M.F.R.; Overeem, A.; Leijnse, H.; Uijlenhoet, R. First-year evaluation of GPM rainfall over the Netherlands: IMERG day 1 final run (V03D). J. Hydrometeorol. 2016, 17, 2799–2814. [Google Scholar] [CrossRef]
- Jiang, S.; Ren, L.; Xu, C.-Y.; Yong, B.; Yuan, F.; Liu, Y.; Yang, X.; Zeng, X. Statistical and hydrological evaluation of the latest Integrated Multi-satellitE Retrievals for GPM (IMERG) over a midlatitude humid basin in South China. Atmos. Res. 2018, 214, 418–429. [Google Scholar] [CrossRef]
- Tang, S.; Li, R.; He, J.; Wang, H.; Fan, X.; Yao, S. Comparative evaluation of the GPM IMERG early, late, and final hourly precipitation products using the CMPA data over Sichuan Basin of China. Water 2020, 12, 554. [Google Scholar] [CrossRef] [Green Version]
- Kim, K.; Park, J.; Baik, J.; Choi, M. Evaluation of topographical and seasonal feature using GPM IMERG and TRMM 3B42 over Far-East Asia. Atmos. Res. 2017, 187, 95–105. [Google Scholar] [CrossRef]
- Asong, Z.E.; Razavi, S.; Wheater, H.S.; Wong, J.S. Evaluation of Integrated Multisatellite Retrievals for GPM (IMERG) over southern Canada against ground precipitation observations: A preliminary assessment. J. Hydrometeorol. 2017, 18, 1033–1050. [Google Scholar] [CrossRef]
- Wu, Y.; Zhang, Z.; Huang, Y.; Jin, Q.; Chen, X.; Chang, J. Evaluation of the GPM IMERG v5 and TRMM 3B42 v7 precipitation products in the Yangtze River basin, China. Water 2019, 11, 1459. [Google Scholar] [CrossRef] [Green Version]
- Tang, G.; Ma, Y.; Long, D.; Zhong, L.; Hong, Y. Evaluation of GPM Day-1 IMERG and TMPA Version-7 legacy products over Mainland China at multiple spatiotemporal scales. J. Hydrol. 2016, 533, 152–167. [Google Scholar] [CrossRef]
- Yu, L.; Leng, G.; Python, A.; Peng, J. A comprehensive evaluation of latest GPM IMERG V06 early, late and final precipitation products across China. Remote Sens. 2021, 13, 1208. [Google Scholar] [CrossRef]
- Foelsche, U.; Kirchengast, G.; Fuchsberger, J.; Tan, J.; Petersen, W.A. Evaluation of GPM IMERG Early, Late, and Final rainfall estimates using WegenerNet gauge data in southeastern Austria. Hydrol. Earth Syst. Sci. 2017, 21, 6559–6572. [Google Scholar]
- Wang, C.; Tang, G.; Han, Z.; Guo, X.; Hong, Y. Global intercomparison and regional evaluation of GPM IMERG Version-03, Version-04 and its latest Version-05 precipitation products: Similarity, difference and improvements. J. Hydrol. 2018, 564, 342–356. [Google Scholar] [CrossRef]
- Wang, Z.; Zhong, R.; Lai, C.; Chen, J. Evaluation of the GPM IMERG satellite-based precipitation products and the hydrological utility. Atmos. Res. 2017, 196, 151–163. [Google Scholar] [CrossRef]
- Alavinia, S.H.; Zarei, M. Analysis of spatial changes of extreme precipitation and temperature in Iran over a 50-year period. Int. J. Climatol. 2021, 41, E2269–E2289. [Google Scholar] [CrossRef]
- Asgari, A.; Rahimzadeh, F.; Mohammadian, N.; Fattahi, E. Trend Analysis of Extreme Precipitation Indices Over Iran. Iran-Water Resour. Res. 2007, 3, 42–55. [Google Scholar]
- Balling, R.C.; Keikhosravi Kiany, M.S.; Sen Roy, S.; Khoshhal, J. Trends in Extreme Precipitation Indices in Iran: 1951-2007. Adv. Meteorol. 2016, 2016, 2456809. [Google Scholar] [CrossRef] [Green Version]
- Darand, M.; Dostkamyan, M.; Rehmani, M.I.A. Spatial autocorrelation analysis of extreme precipitation in Iran. Russ. Meteorol. Hydrol. 2017, 42, 415–424. [Google Scholar] [CrossRef]
- Esmaeilpour, M.; Ghasemi, A.R.; Khoramabadi, F.; Rashedi, S. Spatiotemporal variability of trend in extreme precipitations using fuzzy clustering over Northwest Iran. Earth Sci. Inform. 2021, 14, 2123–2132. [Google Scholar] [CrossRef]
- Mohammadi, H.; Azizi, G.; Khoshahklagh, F.; Ranjbar, F. Analysis of daily precipitation extreme indices trend in Iran. Phys. Geogr. Res. Q. 2017, 49, 21–37. [Google Scholar]
- Rahimi, M.; Mohammadian, N.; Vanashi, A.R.; Whan, K. Trends in indices of extreme temperature and precipitation in iran over the period 1960-2014. Open J. Ecol. 2018, 8, 396–415. [Google Scholar] [CrossRef] [Green Version]
- Rahimi, M.; Fatemi, S.S. Mean versus extreme precipitation trends in Iran over the period 1960–2017. Pure Appl. Geophys. 2019, 176, 3717–3735. [Google Scholar] [CrossRef]
- Rousta, I.; Soltani, M.; Zhou, W.; Cheung, H.H.N. Analysis of extreme precipitation events over central plateau of Iran. Am. J. Clim. Chang. 2016, 5, 297–313. [Google Scholar] [CrossRef] [Green Version]
- Katiraie-Boroujerdy, P.S.; Akbari Asanjan, A.; Hsu, K.L.; Sorooshian, S. Intercomparison of PERSIANN-CDR and TRMM-3B42V7 precipitation estimates at monthly and daily time scales. Atmos. Res. 2017, 193, 36–49. [Google Scholar] [CrossRef] [Green Version]
- Keikhosravi Kiany, M.S.; Masoodian, S.A.; Balling, R.C.; Montazeri, M.; Kiany, M.S.K.; Masoodian, S.A.; Balling, R.C., Jr.; Montazeri, M. Evaluation of the TRMM 3B42 product for extreme precipitation analysis over southwestern Iran. Adv. Sp. Res. 2020, 66, 2094–2112. [Google Scholar] [CrossRef]
- Hosseini-Moghari, S.-M.; Tang, Q. Validation of GPM IMERG V05 and V06 Precipitation Products over Iran. J. Hydrometeorol. 2020, 21, 1011–1037. [Google Scholar] [CrossRef] [Green Version]
- Saemian, P.; Hosseini-Moghari, S.M.; Fatehi, I.; Shoarinezhad, V.; Modiri, E.; Tourian, M.J.; Tang, Q.; Nowak, W.; Bárdossy, A.; Sneeuw, N. Comprehensive evaluation of precipitation datasets over Iran. J. Hydrol. 2021, 603. [Google Scholar] [CrossRef]
- Sharifi, E.; Saghafian, B.; Steinacker, R. Downscaling Satellite Precipitation Estimates With Multiple Linear Regression, Artificial Neural Networks, and Spline Interpolation Techniques. J. Geophys. Res. Atmos. 2019, 124, 789–805. [Google Scholar] [CrossRef] [Green Version]
- Khodadoust Siuki, S.; Saghafian, B.; Moazami, S. Comprehensive evaluation of 3-hourly TRMM and half-hourly GPM-IMERG satellite precipitation products. Int. J. Remote Sens. 2017, 38, 558–571. [Google Scholar] [CrossRef]
- Moazami, S.; Golian, S.; Hong, Y.; Sheng, C.; Kavianpour, M.R. Comprehensive evaluation of four high-resolution satellite precipitation products under diverse climate conditions in Iran. Hydrol. Sci. J. 2016, 61, 420–440. [Google Scholar] [CrossRef]
- Miri, M.; Masoudi, R.; Raziei, T. Performance Evaluation of Three Satellites-Based Precipitation Data Sets Over Iran. J. Indian Soc. Remote Sens. 2019, 47, 2073–2084. [Google Scholar] [CrossRef]
- Sadeqi, A.; Kahya, E. Spatiotemporal analysis of air temperature indices, aridity conditions, and precipitation in Iran. Theor. Appl. Climatol. 2021, 145, 703–716. [Google Scholar] [CrossRef]
- de Martonne, E. Une nouvelle function climatologique: L’indice d’aridité. Meteorologie 1926, 2, 449–459. [Google Scholar]
- Rahimi, J.; Ebrahimpour, M.; Khalili, A. Spatial changes of extended De Martonne climatic zones affected by climate change in Iran. Theor. Appl. Climatol. 2013, 112, 409–418. [Google Scholar] [CrossRef]
- Koohi, S.; Azizian, A.; Brocca, L. Spatiotemporal drought monitoring using bottom-up precipitation dataset (SM2RAIN-ASCAT) over different regions of Iran. Sci. Total Environ. 2021, 779, 146535. [Google Scholar] [CrossRef]
- Darand, M.; Amanollahi, J.; Zandkarimi, S. Evaluation of the performance of TRMM Multi-satellite Precipitation Analysis (TMPA) estimation over Iran. Atmos. Res. 2017, 190, 121–127. [Google Scholar] [CrossRef]
- Liu, C.; Zipser, E.J. The global distribution of largest, deepest, and most intense precipitation systems. Geophys. Res. Lett. 2015, 42, 3591–3595. [Google Scholar] [CrossRef] [Green Version]
- Hou, A.Y.; Kakar, R.K.; Neeck, S.; Azarbarzin, A.A.; Kummerow, C.D.; Kojima, M.; Oki, R.; Nakamura, K.; Iguchi, T. The global precipitation measurement mission. Bull. Am. Meteorol. Soc. 2014, 95, 701–722. [Google Scholar] [CrossRef]
- Smith, E.A.; Asrar, G.; Furuhama, Y.; Ginati, A.; Mugnai, A.; Nakamura, K.; Adler, R.F.; Chou, M.D.; Desbois, M.; Durning, J.F.; et al. International global precipitation measurement (GPM) program and mission: An overview. Adv. Glob. Chang. Res. 2007, 28, 611–653. [Google Scholar] [CrossRef]
- From TRMM to GPM: The Evolution of NASA Precipitation Data|Earthdata. Available online: https://earthdata.nasa.gov/learn/articles/tools-and-technology-articles/trmm-to-gpm (accessed on 29 September 2015).
- Draper, D.W.; Newell, D.A.; Wentz, F.J.; Krimchansky, S.; Skofronick-Jackson, G.M. The Global Precipitation Measurement (GPM) microwave imager (GMI): Instrument overview and early on-orbit performance. IEEE J. Sel. Top. Appl. Earth Obs. Remote Sens. 2015, 8, 3452–3462. [Google Scholar] [CrossRef]
- Wang, J.; Houze, R.A.; Fan, J.; Brodzik, S.R.; Feng, Z.; Hardin, J.C. The detection of mesoscale convective systems by the GPM Ku-band spaceborne radar. J. Meteorol. Soc. Jpn. 2019, 97, 1059–1073. [Google Scholar] [CrossRef] [Green Version]
- Huffman, G.J.; Bolvin, D.T.; Braithwaite, D.; Hsu, K.-L.; Joyce, R.J.; Kidd, C.; Nelkin, E.J.; Sorooshian, S.; Stocker, E.F.; Tan, J. Integrated multi-satellite retrievals for the Global Precipitation Measurement (GPM) mission (IMERG). In Satellite Precipitation Measurement; Springer: Cham, Switzerland, 2020; pp. 343–353. [Google Scholar]
- Tan, J.; Huffman, G.J.; Bolvin, D.T.; Nelkin, E.J. IMERG V06: Changes to the morphing algorithm. J. Atmos. Ocean. Technol. 2019, 36, 2471–2482. [Google Scholar] [CrossRef]
- Karki, R.; Hasson, S.U.; Schickhoff, U.; Scholten, T.; Böhner, J. Rising precipitation extremes across Nepal. Climate 2017, 5, 4. [Google Scholar] [CrossRef] [Green Version]
- Casanueva, A.; Rodríguez-Puebla, C.; Frías, M.D.; González-Reviriego, N. Variability of extreme precipitation over Europe and its relationships with teleconnection patterns. Hydrol. Earth Syst. Sci. 2014, 18, 709–725. [Google Scholar] [CrossRef] [Green Version]
- Miao, C.; Ashouri, H.; Hsu, K.-L.; Sorooshian, S.; Duan, Q. Evaluation of the PERSIANN-CDR daily rainfall estimates in capturing the behavior of extreme precipitation events over China. J. Hydrometeorol. 2015, 16, 1387–1396. [Google Scholar] [CrossRef] [Green Version]
- Katiraie-Boroujerdy, P.-S.; Ashouri, H.; Hsu, K.; Sorooshian, S. Trends of precipitation extreme indices over a subtropical semi-arid area using PERSIANN-CDR. Theor. Appl. Climatol. 2017, 130, 249–260. [Google Scholar] [CrossRef] [Green Version]
- Gupta, H.V.; Kling, H.; Yilmaz, K.K.; Martinez, G.F. Decomposition of the mean squared error and NSE performance criteria: Implications for improving hydrological modelling. J. Hydrol. 2009, 377, 80–91. [Google Scholar] [CrossRef] [Green Version]
- Kling, H.; Fuchs, M.; Paulin, M. Runoff conditions in the upper Danube basin under an ensemble of climate change scenarios. J. Hydrol. 2012, 424, 264–277. [Google Scholar] [CrossRef]
- Mann, H.B. Nonparametric tests against trend. Econom. J. Econom. Soc. 1945, 13, 245–259. [Google Scholar] [CrossRef]
- Kendall, M.G. Rank Correlation Methods; American Psychological Association: Washington, DC, USA, 1948. [Google Scholar]
- Amjad, M.; Yilmaz, M.T.; Yucel, I.; Yilmaz, K.K. Performance evaluation of satellite- and model-based precipitation products over varying climate and complex topography. J. Hydrol. 2020, 584, 124707. [Google Scholar] [CrossRef]
- Fallah, A.; Rakhshandehroo, G.R.; Berg, P.; O, S.; Orth, R. Evaluation of precipitation datasets against local observations in southwestern Iran. Int. J. Climatol. 2020, 40, 4102–4116. [Google Scholar] [CrossRef] [Green Version]











| Category | Index | Description | Definition | Unit |
|---|---|---|---|---|
| Maximum indices | Rx1day | Maximum 1-day precipitation | Maximum 1-day precipitation | mm |
| Rx5day | Maximum 5 days of consecutive precipitation | Maximum 5 days of consecutive precipitation | mm | |
| CDD | Consecutive Dry Days | Annual largest number of consecutive days with daily precipitation < 1 mm | days | |
| CWD | Consecutive Wet Days | Annual largest number of consecutive days with daily precipitation ≥ 1 mm | days | |
| Percentile indices | R95pTOT | Very wet days | The 95th percentile of daily precipitation on days ≥ 1 mm | mm/days |
| R99pTOT | Extremely wet days | The 99th percentile of daily precipitation on days ≥ 1 mm | mm/days | |
| Absolute threshold indices | R10mm | Count of heavy precipitation days | Annual number of days when precipitation ≥ 10 mm | days |
| R20mm | Count of very heavy precipitation days | Annual number of days when precipitation ≥ 20 mm | days | |
| SDII | Simple precipitation intensity index | The ratio of precipitation on wet days to number of wet days | mm/day | |
| PRCPTOT | Wet-day precipitation | total amount of precipitation on days with ≥1 mm precipitation | mm |
Publisher’s Note: MDPI stays neutral with regard to jurisdictional claims in published maps and institutional affiliations. |
© 2022 by the authors. Licensee MDPI, Basel, Switzerland. This article is an open access article distributed under the terms and conditions of the Creative Commons Attribution (CC BY) license (https://creativecommons.org/licenses/by/4.0/).
Share and Cite
Bakhtar, A.; Rahmati, A.; Shayeghi, A.; Teymoori, J.; Ghajarnia, N.; Saemian, P. Spatio-Temporal Evaluation of GPM-IMERGV6.0 Final Run Precipitation Product in Capturing Extreme Precipitation Events across Iran. Water 2022, 14, 1650. https://doi.org/10.3390/w14101650
Bakhtar A, Rahmati A, Shayeghi A, Teymoori J, Ghajarnia N, Saemian P. Spatio-Temporal Evaluation of GPM-IMERGV6.0 Final Run Precipitation Product in Capturing Extreme Precipitation Events across Iran. Water. 2022; 14(10):1650. https://doi.org/10.3390/w14101650
Chicago/Turabian StyleBakhtar, Aydin, Akbar Rahmati, Afshin Shayeghi, Javad Teymoori, Navid Ghajarnia, and Peyman Saemian. 2022. "Spatio-Temporal Evaluation of GPM-IMERGV6.0 Final Run Precipitation Product in Capturing Extreme Precipitation Events across Iran" Water 14, no. 10: 1650. https://doi.org/10.3390/w14101650
APA StyleBakhtar, A., Rahmati, A., Shayeghi, A., Teymoori, J., Ghajarnia, N., & Saemian, P. (2022). Spatio-Temporal Evaluation of GPM-IMERGV6.0 Final Run Precipitation Product in Capturing Extreme Precipitation Events across Iran. Water, 14(10), 1650. https://doi.org/10.3390/w14101650

