Abstract
One of the challenges in monitoring the marine coastal environments is quantifying the magnitude and duration of pollution events. This study introduces a new concept of defining heavy metal (HM) baseline assessment levels (BALs) in coastal environments using foraminiferal shells. We demonstrated the potential of this approach by examining a nature reserve along the Mediterranean coast of Israel. Our previous investigation of this site in 2013–2014 using foraminiferal single-chamber LA-ICPMS created a large dataset consisting of HM measurements of two species, Lachlanella and Pararotalia calcariformata. This database was used to establish the BAL of Zn, Cu and Pb, associated with anthropogenic sources. In February 2021, a significant tar pollution event affected the entire Mediterranean coast of Israel, derived from an offshore oil spill. This event provided a unique opportunity to test the applicability of the foraminiferal BAL by comparing it to whole-shell ICPMS measurements of the two species collected in winter and summer 2021. Results reveal a significant increase (2–34-fold) in the three HMs between 2013–2014 and 2021, with Pb/Ca displaying the most prominent increase in both species. This suggests a possible linkage between the oil spill event and the significantly elevated metal/Ca ratios in 2021.
1. Introduction
The continuous growth of industry and agriculture introduces hazardous chemicals, including heavy metals (HMs), into marine environments. When introduced to the coastal environment, these chemicals may accumulate through the trophic chain, leading to higher concentrations than those in the ambient seawater []. Many of these HMs are toxic to marine organisms and considered hazardous to human health due to their bioaccumulation potential [].
Traditionally, monitoring of HM concentrations in seawater may involve direct measurements of seawater [], or indirect monitoring of HM loads in sediments []. However, direct monitoring of water chemistry is logistically difficult and analytically challenging, and the response time of ecosystems may be too long to induce ecological and biological reactions useful for biomonitoring, especially when the contaminants are released intermittently.
An alternative approach is to monitor the ecological and biological response to contamination (i.e., biomonitoring) rather than the actual chemical properties of the water []. This can be implemented by surveys of bioindicators, defined as organisms whose presence or abundance provides information on the quality of the environment. The development and implementation of monitoring programs include biological systems that simultaneously record pollution levels and biotic responses (e.g., []). Such systems hold promise to overcome one of the major challenges in marine monitoring, i.e., achieving continuous documentation of changes in HM concentrations through time. Furthermore, they could be used as an excellent tool for establishing baseline levels of any environment in which they exist so that a reference for subsequent biomonitoring efforts can be applied. It has been shown that HM detection even during short-term perturbations can be provided by sclerochronology, the study of chemical variations preserved within the accretionary shells of marine organisms. Sclerochronology allows for the backtracking of HM concentrations throughout the formation of the analyzed bioarchive ([] and reference therein).
Sclerochronology bears many advantages compared with organic tissue analysis. It is considerably less sensitive to vital effects and thus expected to provide similar HM values among specimens from the same population []. Furthermore, it provides continuous records of metal concentrations over the whole period of shell formation (bioarchive). The shells are preserved after the organism’s death and can be easily collected from the field and stored at a low cost in the lab. Despite these advantages, the approach of using calcareous shells for systematic environmental monitoring programs has not yet received wide recognition from regulatory sectors and has not been officially implemented in most marine monitoring programs.
Benthic foraminifera serve as an example of organisms that are both excellent bioindicators and biomonitors []. They are a diverse group of protists that thrive in all marine environments, and their shells are well-preserved in marine sediments and contain, despite their small size, enough calcite for analyses of even trace concentrations of HM ([] and references therein). Because of their high abundance and relatively short life cycle, they are commonly used for ecological monitoring at the community level [,,,,]. Geochemical analyses of foraminiferal shells can be applied as a tool for establishing a reference for pre-HM pollution conditions. In addition, it has been shown that foraminiferal shell chemistry could be used as a proxy for HM contamination [,,,,,,,,]. The incorporation of heavy metals into the calcite lattice in the shells reflects, among other parameters, the composition of the seawater in which they were precipitated [,,,,,,,,,,]. Since foraminifera produce their shells incrementally, each chamber represents the water chemistry at the time of its formation, creating a chronologically ordered archive recording seawater conditions during relatively short time intervals (e.g., hours []).
Analyses of individual foraminifera shell chambers using the single-chamber Laser Ablation Inductively Coupled Plasma Mass Spectrometer (LA-ICPMS) may provide documentation of short-term pollution events []. This is particularly important in environmental settings that appear clean when monitored intermittently but may in fact experience episodic events of discharged HM pollution and therefore provide a potentially continuous record of seawater HM changes over a long time range. On the other hand, whole-shell concentrations (by ICPMS following full dissolution) can be used as a reference for HM accumulated over the life span of the foraminiferal specimens representing longer time scales (from several months to a year). This method also bears the advantage of being more accessible with respect to laboratory facilities.
The current study introduces a new concept defining HM baseline assessment levels (BALs) in coastal seawater environments using foraminiferal shells. The BALs define the minima background concentrations for each HM within a particular area, expressed as metal/Ca. This new approach of using BALs for monitoring HM contamination has not been previously applied. The evaluation will provide an absolute reference for documenting temporal variations in HMs in a certain area, which can then be used to quantify the magnitude and duration of pollution events and their effects on the marine environment.
This research benefits from an ideal case study of a significant tar pollution event (derived from an offshore oil spill) in February 2021 that affected the entire Mediterranean coast of Israel, including our study site at Nachshloim, a nature reserve that was covered by tar during the contamination event (Figure 1c). The Nachsholim area has been the focus of several studies that followed the 2013–2014 initial study of Titelboim et al. (2016) [], all of which considered this site as an ideal location for investigating benthic foraminiferal ecology, ecophysiology and geochemistry [,,,,]. The uniqueness of this site derives from its relatively clean habitat, only indirectly influenced by local coastal industries, which allows easy access to extremely diverse and abundant benthic foraminiferal assemblages []. The 2013–2014 ecological study formed a large-scale archive of foraminiferal shells of living individuals collected monthly. This archive was later used by Titelboim et al. (2018) [] to establish the HM levels of this area based on single-chamber LA-ICPMS analyses from a large number of measurements of the last few chambers for 12 specimens of each species: 246 of Lachlanella and 167 of P. calcariformata, representing the entire sampling period.

Figure 1.
(a) Location map of the studied site, the Natural Reserve Nachsholim, at the northern Mediterranean coast of Israel. (b) View of the hard bottom shallow habitat of Nachsholim during the August 2021 sampling campaign. (c) Nachsholim Site abrasion platforms covered with tar after the February 2021 spill event.
The 2021 pollution event provided a unique opportunity to test the applicability of foraminiferal BALs by comparing samples collected after the spill to foraminiferal single-chamber 2013–2014 HM records that represent a reference period with no exceptional contamination events []. This study defines BAL values for three primary anthropogenic HMs, Zn, Cu and Pb, from the 2013–2014 LA-ICPMS records []. The applicability of the BAL is then demonstrated by comparing these records to whole-shell ICPMS measurements of the two species collected several years later, shortly after the 2021 spill event.
2. Materials and Methods
2.1. Field Sampling
The Nachsholim site (coordinates: 32°37′23.07″, 34°55′12.1836″) was previously sampled and studied in 2013–2014 []. This site is a national reserve located along the Mediterranean coast of northern Israel (Figure 1a) and is considered a clean environment. In this study, two sampling campaigns were carried out: (1) on 1 March 2021 (winter), following a major spill event that occurred on February 16 and affected almost the entire Mediterranean coast of Israel (Figure 1c); and (2) on 17 August 2021 (summer), following the cleaning campaign of the coastal environments and possible recovery. The studied material consisted of macroalgal samples harboring live benthic foraminifera scraped from abrasion platforms or pebbles (Figure 1b) and immediately transported to the laboratory for further processing.
2.2. Sample Preparation
Living specimens indicated by their symbionts color and motility of two benthic foraminifera species Pararotalia calcariformata and Lachlanella sp. were picked from the macroalgal. These species represent two main types of foraminiferal shells and biomineralization modes, hyaline and miliolid, respectively, and were also analyzed by Titelboim et al. (2018) [], which enabled a comparison between the two datasets. A total of 80 winter and 120 summer Lachlanella sp. tests were divided into four and six replicates (20 tests each), and a total of 200 winter and 150 summer P. calcariformata tests were divided into two and three replicates (100 and 50 tests each, respectively). No shell deformities were observed in the populations of the two species. All specimens were thoroughly cleaned from organic matter to obtain pure shells’ records following the cleaning procedure by Fehrenbacher et al. (2015) [] (see Supplementary S1 for more details). Tests were rinsed with Milli-Q water and methanol and then oxidized with a mixture of H2O2 + NaOH. The clean foraminiferal shells were dissolved with 3 mL of 3% HNO3 solution and centrifuged for 5 min to remove any residual solid particles from the solution.
To validate the comparison between whole-shell 2021 ICPMS records and single-chamber 2013–2014 LA-ICPMS analyses, we selected Rose Bengal-stained archived specimens from 2013 collection for comparative ICPMS analyses. The cleaning procedure was implemented for these specimens, with a more extensive bleaching treatment to remove any residual contamination related to the exposure of the shells to Rose Bengal.
2.3. Geochemical Analyses
Whole-shell Zn/Ca, Pb/Ca, Cu/Ca, Mg/Ca and Sr/Ca ratios were determined for dissolved samples (3% HNO3, approximate dilution factor ca. 2300) for P. calcariformata and Lachlanella sp. using a triple-quadrupole ICPMS (Agilent, 8900; nebulizer flow rate 1 L/m) at the Institute of Earth Sciences at the Hebrew University of Jerusalem. All sample solutions were spiked with internal standards (to final concentrations of 50 μg/L Sc and 5 μg/L Re and Rh) and analyzed in He collision mode. Two additional standard solutions were measured every 10 samples: 1. an in-house long-term drift solution prepared from local Red Sea sediments, and 2. cleaned Amphistegina lobifera shells from the Mediterranean coast were collected as part of this study (Table S2.1). Blanks were determined from the 3% HNO3 digestion solution and were measured twice every 10 samples (Table S2.2).
Concentrations of dissolved Zn, Cu and Pb in seawater at Nachsholim were determined for 6 L of seawater collected in March 2021 (Table S3.1). Subsequently, the seawater was filtered (0.2 µm) and acidified for storage (pH < 1.8). Samples were processed at the IUI ultraclean lab following Benaltabet et al. (2020) []. All reagents used for this procedure were in-house triple- or double-distilled, or were of an ultrapure grade. Sample preconcentration, including salt matrix removal, was performed using the NOBIAS PA-1 chelate resin (Hitachi High Technologies) following Biller and Bruland (2012) [] and Sohrin et al. (2008) []. Resin recovery values, procedural blanks, detection limits and analyzed Certified Reference Materials results are given in Table S2.3. Seawater HM concentrations at the Nachsholim site (Table S3.1) were comparable with corresponding open Mediterranean Sea values [], and associated unpublished data from eGEOTRACES (www.egeotraces.org; accessed on 12 February 2022).
To examine whether differences in metal/Ca were significant between seasons, years and methods, statistical analyses were performed using R software []. For each dataset, assumptions of normality of the residuals and homogeneity of variances were tested, and a statistical test was chosen accordingly. If both assumptions were valid, ANOVA was performed, and in cases of normality validation and homogeneity violation, Welch’s ANOVA test was applied. Compressions for unbalanced design or in cases where normality was violated, non-parametric Kruskal–Wallis test was applied.
3. Results
Metals/Ca Records of Lachlanella sp. and P. calcariformata
Table 1 and Table 2 and Figure 2 present metal/Ca data for Lachlanella sp. and P. calcariformata of whole shells collected during 2021 and obtained by ICPMS analyses, single-chamber shells collected during 2013–2014 and analyzed by LA-ICPMS and whole shells collected for 2013 ICPMS analyses of archived specimens (see Supplementary Excel File S1).

Table 1.
Metal/Ca (average ± 1 SD) and partition coefficients for Lachlanella sp. Each reported value represents the average of replicate analyses (n), where each replicate analysis represents the combined composition of N specimens. Replicates for LA-ICPMS represent the sum of single-chamber measurements of all specimens. The partition coefficients (Dmetal) between metal/Cacalcite and metal/CaSW for each metal were calculated based on the average seawater values (n = 2) reported here for the study site.

Table 2.
Metal/Ca and partition coefficients in P. calcariformata. Details same as in Table 1.

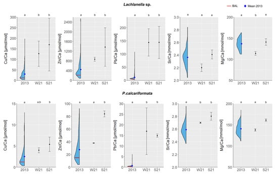
Figure 2.
Violin plots of metal/Ca. Single-chamber 2013–2014 LA-ICPMS records are compared with mean whole-shell winter (W21) and summer (S21) 2021 ICPMS ratios. Red horizontal lines mark the BAL ratio for each anthropogenic metal, Cu, Zn and Pb (see text for an explanation about the BAL calculation). The blue diamond indicates the average metal/Ca of all single-chamber 2013–2014 LA-ICPMS analyses. Error bars represent 1 SD. Letters represent the results of the groups’ comparison test. Note the different concentration scales (y axes) of the HMs between the two species.
Overall, in 2021, the whole-shell metal/Ca relative standard deviation (RSD) of both species varied between low (0.4%) and relatively high (74%) values for each metal (Table 1 and Table 2). The lowest variability was recorded, as expected, in Sr/Ca, articulating minor natural heterogeneity of this non-anthropogenic metal. Mg/Ca varied between 2 and 6%, reflecting variation in water temperatures. In contrast, Cu/Ca, Zn/Ca and Pb/Ca displayed a range of variabilities (15–74%, 1–53% and 6–64%, respectively). These variations represent both the fluctuations in the HM input in this coastal area and the fact that the foraminiferal specimens are not synchronized in respect to the timing of the precipitation of their shells. However, these variations did not obscure the main patterns that were revealed by the comparison of metal/Ca levels between the species, sampling years, seasons and analytical methods (whole shell vs. single chamber):
Species: Both 2013–2014 and 2021 records revealed expected differences in the metals/Ca between the miliolid species Lachlanella and the rotaliid species P. calcariformata, as reported in previous studies ([] and Table 3): Cu/Ca, Zn/Ca and Pb/Ca of Lachlanella were up to an order of magnitude higher than those of P. calcariformata. In contrast, Sr/Ca in the two species were similar and slightly higher in P. calcariformata (2.3 vs. 2.8 mmol/mol).

Table 3.
Metal/Ca of different foraminifera species from published records. The ratios represent the values of control treatments/field samples. M = miliolid, R = rotaliid.
Years: Zn/Ca, Cu/Ca and Pb/Ca were significantly higher in 2021 compared with 2013–2014 in both species (Tables S4.3 and S4.6), except the Cu/Ca and Zn/Ca winter records of P. calcariformata. Among these, the most substantial increases were in Pb/Ca in both species, and in Cu/Ca of Lachlanella. Sr/Ca of Lachlanella were similar between 2013–2014 and 2021, and higher in P. calcariformata in 2021, compared with the 2013–2014 average values. Yet, this natural increase is negligible compared with the anthropogenic enrichments in Pb/Ca (8% vs. 2600%, respectively). Mg/Ca Lachlanella were lower in winter 2021 compared to the lower values of 2013, indicating colder winter temperatures in 2021. These differences were not recorded in P. calcariformata since this species is known to reduce shell growth under 24 °C []. On the other hand, Mg/Ca of P. calcariformata were significantly higher in 2021 than in 2013, indicating warmer summer temperatures in 2021.
Seasonality: Differences in Zn/Ca, Cu/Ca and Pb/Ca between 2021 March and August were mainly insignificant in both species. The only exception is the increase in Zn/Ca in P. calcariformata from March to August (110%) (Tables S4.2 and S4.5). Mg/Ca of both species exhibits the expected difference between winter (lower) and summer (higher), reflecting variation in temperatures.
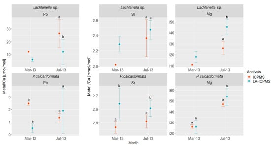
Methods: Potential differences between whole-shell solution ICPMS and single-chamber LA-ICPMS were evaluated by measuring foraminiferal whole shells from 2013 to 2014 using ICPMS and comparing their results with corresponding values retrieved from LA-ICPMS analyses (Figure 3). The noise-to-signal ratio of ICPMS analyses of Cu and Zn were too high (above 15%) and were therefore not used for this comparison. Although there were significant differences (Tables S4.1 and S4.4) between the ICPMS and LA-ICPMS results in Sr/Ca, Pb/Ca and Mg/Ca in most cases, both datasets display significantly lower values than those measured during 2021, indicating that the change in HM contents between both years is not related to analytical biases.

Figure 3.
Comparison between specimens collected during March 2013 and July 2013 measured by both ICPMS and LA-ICPMS. The blank-to-signal ratios of Cu and Zn ICPMS analyses were too high and therefore could not be used in this comparison. Letters show statistically significant differences between the analytical techniques.
4. Discussion
4.1. Calculation of Baseline Assessment Levels (BALs)
Previously published metal/Ca LA-ICPMS results [] were used to establish the BAL of Zn, Cu and Pb, demonstrating the applicability of such a reference term for monitoring coastal environments. The advantage of this single-chamber, relatively large dataset is its good coverage of multiple sources of variance, including biological differences between specimens (e.g., ontogenetic), local variability in metal levels, seasonal trends and anthropogenic input. Table 3 summarizes published HM records of different species. The enrichment of metal/Ca in miliolids compared to rotaliids is generally confirmed by these records. Moreover, the metal/Ca levels among species of the same lineage can also be different. For example, van Dijk et al. (2017) [] reported different Zn/Ca ratios between Sorites orbiculus and Peneroplis pertusus, two evolutionary related large benthic foraminifera that belong to the group of miliolids. Therefore, to avoid such deviation, our approach requires the BAL to be species-specific.
The BAL of each metal was defined as the sum of three components (Figure 4a):

Figure 4.
(a) Schematic illustration of the methodological approach for calculating the BAL values. (b) Calculated BAL values (marked in red) of each HM for the two species (logarithmic scale). These levels define the minima background concentrations for each HM within a certain area, expressed as metal/Ca. The BAL was defined as the 5th lower percentile metal/Ca calculated from the entire LA-ICPMS dataset (blue) plus the percent of metal/Ca attributed to natural seawater variability (orange) plus the percent of metal/Ca attributed to natural biological variations calculated by culturing experiments (gray) (see text for details).
- The fifth lower percentile of the metal/Ca LA-ICPMS dataset of each species, as a cut off value of the lower distribution tail of each metal, representing the relative best (clean) water quality at the time of sampling, considering the analytical/treatment potential error. The cut off values were chosen based on the principle adopted for assessing the pivot values for heavy metals in sediments, which is the concentration of elements in a non-polluted sand fraction []. The pivot values are supposed to be the lowest possible concentrations of normalized heavy metals, and the assessment of the pivot values is performed by comparing them to the ranked heavy metal concentrations of all available data [,]. The pivot values are supposed to be close to the lowest tail of ranked concentrations, which explains why we chose the fifth lower percentile in this study.
- Addition of natural metal/Ca variability in seawater using the variability of Sr/Ca in each species as a non-anthropogenic proxy. Strontium is a very abundant alkaline earth metal whose concentration in seawater is of an overwhelmingly natural origin [], and is one of the most common elements substituted for calcium in calcitic shells (e.g., []). Thus, the observed variability in Sr/Ca was used here as a tracer of the natural variation recorded in the shells related to seawater composition. The ±2 standard deviation (in RSD%) of the observed variation in Sr/Ca was determined as 12% for Lachlanella and 8% for P. calcariformata, which were used as an indication for the natural metal/Ca variations, and thus added to the defined level in 1 above.
- Addition of biological natural variability (variations within a population, and within individual specimens) was assessed based on laboratory culturing experiments per species. These variations for each metal/Ca were assessed based on the laboratory culturing of the two species from unpublished data associated with the study of Titelboim et al. (2017) [] (see Supplementary Excel File S2) that were exposed to similar conditions (temperature, salinity, light and seawater HM composition), and analyzed by LA-ICPMS. The relative standard deviation (RSD%) for each metal/Ca was used to evaluate the natural biological variability between and within specimens (i.e., biological noise []).
The determined BAL ratios for each metal are shown in Figure 4b and represent a reference level for future monitoring studies along the SE Mediterranean coast.
4.2. Application of the BAL and Implications for Future Monitoring Efforts
The February 2021 spill event provided a unique opportunity to test the applicability of foraminiferal BALs as a monitoring tool. Our strategy was to compare whole-shell ICPMS measurements of specimens of the two species collected shortly after the event (March 2021) as well as six months later (August 2021) with the 2013–2014 dataset. This approach demonstrates the relevance of using whole-shell ICPMS analyses as an accessible method for routine monitoring efforts through comparison to a single-chamber dataset from the same location and species. The comparison between the different HM levels in foraminiferal shells revealed a significant increase between 2013 and 2021 in the average levels of Pb/Ca, Cu/Ca and Zn/Ca in both species (except winter 2021 Cu/Ca values of P. calcariformata), and a profound deviation from the BAL, indicating a distinct anthropogenic enrichment of these metals. The most substantial increase was displayed in Cu/Ca in Lachlanella sp (4–8-fold) and Pb/Ca (8–34-fold in P. calcariformata and 12–24-fold in Lachlanella sp) that exceeded the entire data distribution of the 2013–2014 LA-ICPMS measurements (Figure 2). Similarly, Frontalini et al. (2009) [] reported similarly high Pb/Ca in miliolid benthic foraminifera from the heavily contaminated Santa Gilla Lagoon in Italy. This 2021 contamination event is further supported by the fact that whole-shell Zn/Ca and Cu/Ca of both 2021 species overlap with the upper tail of the 2013–2014 LA-ICPMS records. Moreover, the fact that metals/Ca were still elevated in August 2021, six months after the oil spill, suggests a long-lasting release of residual tar into seawater, which is still present underwater along the Israeli shelf.
5. Conclusions
Our study demonstrates the use of foraminiferal whole-shell ICPMS analyses as a potential practical tool for routine monitoring once BAL values have been established. The first suggested step for future foraminiferal monitoring is to establish a detailed foraminiferal single-chamber LA-ICMPS dataset of anthropogenic and non-anthropogenic metal/Ca that covers a complete seasonal cycle and other local environmental variables for a confined period. The use of LA-ICMPS is essential for establishing the BAL values since it provides a high-resolution recording that covers the entire range of seawater values. This range will enable the determination of the minimum HM background for an investigated area. Previous recommendations suggest that six LA-ICPMS spots will reduce the potential biological variability within a single specimen to less than 10%. For a good coverage of biological variation, the analyses should be based on multiple specimens (>10) from each sampling, based on the present study []. However, the recommended minimum number of analyzed specimens is still uncertain, and should be further tested.
Rotaliid and miliolid species records showed a similar increasing rise in HMs in 2021 compared with 2013. This rise, however, was not necessarily at the same scale: for example, Zn/Ca of both species showed a 6-fold increase between the BAL and August 2021. In contrast, Cu/Ca showed a 16-fold increase in Lachlanella and only a 5-fold increase in P. calcariformata. This variability demonstrates the necessity of establishing the BALs for more than one species to reconstruct reliable assessments. Moreover, it is important to note that the BAL is species-specific, and as such, should be established for each investigated species. The main consideration for selecting target species should be their continuous and common occurrence within the studied region.
Considering results reported here pertain to seawater collected only two weeks after the tar/oil spill event, and a priori assuming that HM concentrations in local seawater increased in response to the contamination, as has been shown in many previous studies, the contamination signal can be confirmed to be extremely short-lived in seawater. This, coupled with the extreme analytical efforts required to determine seawater values accurately, render the direct use of seawater compositions as a monitoring tool of the marine environment largely impractical. By contrast, seawater signals archived in foraminiferal shells are significantly easier to collect and analyze. Thus, HM contents of foraminiferal shells serve as ideal monitoring tools for the marine environment.
Supplementary Materials
The following supporting information can be downloaded at: https://www.mdpi.com/article/10.3390/w14101532/s1, Supplementary S1: Cleaning protocol description; Table S2.1: Average and standard deviation values of in-house standards from three analytical sessions; Table S2.2: Foraminiferal dissolution blanks (defined as 3 SD of the procedural blank) and detection limits; Table S2.3: Seawater analyses: recovery, procedural blanks and detection limits (defined as 3 SD of the procedural blank) for the studied metals; Table S3.1: Seawater dissolved concentrations collected in March 2021 in Nachsholim Site; Table S4.1: Comparing ICPMS and LA-ICPMS from July 2013; Table S4.2: Statistical comparison of metal/Ca between March and August 2021; Table S4.3: Statistical comparison of metal/Ca between single chamber 2013–2014 LA-ICPMS analyses to whole shell 2021 ICPMS records; Table S4.4: Comparing ICPMS and LA-ICPMS; Table S4.5: Statistical comparison of metal concentration between March and August 2021; Table S4.6: Statistical comparison of metal/Ca between single chamber 2013–2014 LA-ICPMS analyses to whole shell 2021 ICPMS records; Supplementary Excel File S1: Metals/Ca Records of Lachlanella sp. and P. calcariformata; Supplementary Excel File S2: Metal/Ca were assessed based on the laboratory culturing of the two species.
Author Contributions
Conceptualization, S.A., D.T., B.H., N.T. and A.T.; methodology, S.A., D.T. and A.T.; validation, L.H., D.T., S.A., B.H., N.T., T.B. and A.T.; formal analysis, L.H., D.T., S.A., B.H., N.T., T.B. and A.T.; investigation, L.H. and T.B..; resources, S.A. and A.T.; writing—original draft preparation, L.H.; writing—review and editing, L.H., D.T., S.A., B.H., N.T., T.B. and A.T.; visualization, L.H.; supervision, S.A.; project administration, S.A. and A.T.; funding acquisition, S.A. All authors have read and agreed to the published version of the manuscript.
Funding
This work was supported by the Israel Science Foundation (ISF) under grant #1267/21 and Germany-Israel Foundation (GIF) under grant #I-1487-307.8/2019 (to S.A.).
Institutional Review Board Statement
Not applicable.
Informed Consent Statement
Not applicable.
Data Availability Statement
Upon publication, the data presented in this study will be openly available in a designated website.
Acknowledgments
We thank Ofir Tirosh for his assistance with analyses at the Institute of Earth Sciences, HUJI, as well as Yossef Uzan for generously providing us with Figure 1c.
Conflicts of Interest
The authors declare no conflict of interest.
References
- Zuykov, M.; Pelletier, E.; Harper, D.A.T. Bivalve mollusks in metal pollution studies: From bioaccumulation to biomonitoring. Chemosphere 2013, 93, 201–208. [Google Scholar] [CrossRef]
- Jan, A.T.; Azam, M.; Siddiqui, K.; Ali, A.; Choi, I.; Haq, Q.M.R. Heavy Metals and Human Health: Mechanistic Insight into Toxicity and Counter Defense System of Antioxidants. Int. J. Mol. Sci. 2015, 16, 29592–29630. [Google Scholar] [CrossRef] [Green Version]
- Batley, G.E. Electroanalytical techniques for the determination of heavy metals in seawater. Mar. Chem. 1983, 12, 107–117. [Google Scholar] [CrossRef]
- Phillips, D.J.H. The use of biological indicator organisms to monitor trace metal pollution in marine and estuarine environments-a review. Environ. Pollut. 1977, 13, 281–317. [Google Scholar] [CrossRef]
- Edge, K.J.; Dafforn, K.A.; Simpson, S.L.; Roach, A.C.; Johnston, E.L. A biomarker of contaminant exposure is effective in large scale assessment of ten estuaries. Chemosphere 2014, 100, 16–26. [Google Scholar] [CrossRef]
- Goldberg, E.D.; Bertine, K.K. Beyond the Mussel Watch—new directions for monitoring marine pollution. Sci. Total Environ. 2000, 247, 165–174. [Google Scholar] [CrossRef]
- Steinhardt, J.; Butler, P.G.; Carroll, M.L.; Hartley, J. The Application of Long-Lived Bivalve Sclerochronology in Environmental Baseline Monitoring. Front. Mar. Sci. 2016, 3, 176. [Google Scholar] [CrossRef] [Green Version]
- Lingard, S.M.; Evans, R.D.; Bourgoin, B.P. Method for the Estimation of Organic-Bound and Crystal-Bound Metal Concentrations in Bivalve Shells. Bull. Environ. Contam. Toxicol 1992, 48, 179–184. [Google Scholar] [CrossRef]
- Sen Gupta, B.K.; Lea, D.W. Trace elements in foraminiferal calcite. In Modern Foraminifera; Springer: Berlin/Heidelberg, Germany, 1999; pp. 259–277. [Google Scholar]
- Katz, M.E.; Cramer, B.S.; Franzese, A.; Hönisch, B.; Miller, K.G.; Rosenthal, Y.; Wright, J.D. Traditional and emerging geochemical proxies in foraminifera. J. Foraminifer. Res. 2010, 40, 165–192. [Google Scholar] [CrossRef]
- Alve, E. Benthic forameniferal responses to esturine pollution: A review. J. Foraminifer. Res. 1995, 25, 190–203. [Google Scholar] [CrossRef]
- Nigam, R.; Saraswat, R.; Panchang, R. Application of foraminifers in ecotoxicology: Retrospect, perspect and prospect. Environ. Int. 2006, 32, 273–283. [Google Scholar] [CrossRef]
- Alve, E.; Korsun, S.; Schönfeld, J.; Dijkstra, N.; Golikova, E.; Hess, S.; Husum, K.; Panieri, G. Foram-AMBI: A sensitivity index based on benthic foraminiferal faunas from North-East Atlantic and Arctic fjords, continental shelves and slopes. Mar. Micropaleontol. 2016, 122, 1–12. [Google Scholar] [CrossRef]
- Schönfeld, J.; Alve, E.; Geslin, E.; Jorissen, F.J.; Korsun, S.; Spezzaferri, S.; Abramovich, S.; Almogi-Labin, A.; du Chatelet, E.A.; Barras, C.; et al. The FOBIMO (FOraminiferal BIo-MOnitoring) initiative-Towards a standardised protocol for soft-bottom benthic foraminiferal monitoring studies. Mar. Micropaleontol. 2012, 94–95, 1–13. [Google Scholar] [CrossRef]
- Bouchet, V.; Alve, E.; Rygg, B.; Telford, R.J. Benthic foraminifera provide a promising tool for ecological quality assessment of marine waters. Ecol. Indic. 2012, 23, 66–75. [Google Scholar] [CrossRef]
- de Nooijer, L.J.; Reichart, G.-J.; Dueñas-Bohórquez, A.; Wolthers, M.; Ernst, S.R.; Mason, P.R.D.; Van Der Zwaan, G.J. Copper incorporation in foraminiferal calcite: Results from culturing experiments. Biogeosciences 2007, 4, 493–504. [Google Scholar] [CrossRef] [Green Version]
- Frontalini, F.; Buosi, C.; Da Pelo, S.; Coccioni, R.; Cherchi, A.; Bucci, C. Benthic foraminifera as bio-indicators of trace element pollution in the heavily contaminated Santa Gilla lagoon (Cagliari, Italy). Mar. Pollut. Bull. 2009, 58, 858–877. [Google Scholar] [CrossRef]
- Munsel, D.; Kramar, U.; Dissard, D.; Nehrke, G.; Berner, Z.; Bijma, J.; Reichart, G.-J.; Neumann, T. Incorporation of ‘hydrothermal’ elements in foraminiferal calcite: Results from culturing experiments. Results Cult. Exp. 2010, 10, 2339. [Google Scholar] [CrossRef] [Green Version]
- Nardelli, M.P.; Malferrari, D.; Ferretti, A.; Bartolini, A.; Sabbatini, A.; Negri, A. Zinc incorporation in the miliolid foraminifer Pseudotriloculina rotunda under laboratory conditions. Mar. Micropaleontol. 2016, 126, 42–49. [Google Scholar] [CrossRef]
- Smith, C.W.; Fehrenbacher, J.S.; Goldstein, S.T. Incorporation of heavy metals in experimentally grown foraminifera from Sapelo Island, Georgia and Little Duck Key, Florida, USA. Mar. Micropaleontol. 2020, 156, 101854. [Google Scholar] [CrossRef]
- Titelboim, D.; Sadekov, A.; Hyams-Kaphzan, O.; Almogi-Labin, A.; Herut, B.; Kucera, M.; Abramovich, S. Foraminiferal single chamber analyses of heavy metals as a tool for monitoring permanent and short term anthropogenic footprints. Mar. Pollut. Bull. 2018, 128, 65–71. [Google Scholar] [CrossRef]
- Youssef, M. Heavy metals contamination and distribution of benthic foraminifera from the Red Sea coastal area, Jeddah, Saudi Arabia. Oceanologia 2015, 57, 236–250. [Google Scholar] [CrossRef] [Green Version]
- Titelboim, D.; Sadekov, A.; Blumenfeld, M.; Almogi-Labin, A.; Herut, B.; Halicz, L.; Benaltabet, T.; Torfstein, A.; Kucera, M.; Abramovich, S. Monitoring of heavy metals in seawater using single chamber foraminiferal sclerochronology. Ecol. Indic. 2021, 120, 106931. [Google Scholar] [CrossRef]
- Oron, S.; Sadekov, A.; Katz, T.; Goodman-Tchernov, B. Benthic foraminifera geochemistry as a monitoring tool for heavy metal and phosphorus pollution—A post fish-farm removal case study. Mar. Pollut. Bull. 2021, 168, 112443. [Google Scholar] [CrossRef]
- Schmidt, S.; Hathorne, E.C.; Schönfeld, J.; Garbe, D. Heavy metal uptake of near-shore benthic foraminifera during multi-metal culturing experiments. Biogeosciences 2022, 19, 629–664. [Google Scholar] [CrossRef]
- Boyle, E.A. Cadmium, zinc, copper, and barium in foraminifera tests. Earth Planet. Sci. Lett. 1981, 53, 11–35. [Google Scholar] [CrossRef]
- Elderfield, H.; Bertram, C.J.; Erez, J. A biomineralization model for the incorporation of trace elements into foraminiferal calcium carbonate. Earth Planet. Sci. Lett. 1996, 142, 409–423. [Google Scholar] [CrossRef]
- Erez, J. The Source of Ions for Biomineralization in Foraminifera and Their Implications for Paleoceanographic Proxies. Rev. Mineral. Geochem. 2003, 54, 115–149. [Google Scholar] [CrossRef] [Green Version]
- Havach, S.M.; Chandler, G.T.; Wilson-Finelli, A.; Shaw, T.J. Experimental determination of trace element partition coefficients in cultured benthic foraminifera. Geochim. Cosmochim. Acta 2001, 65, 1277–1283. [Google Scholar] [CrossRef]
- Barras, C.; Mouret, A.; Nardelli, M.P.; Metzger, E.; Petersen, J.; La, C.; Filipsson, H.L.; Jorissen, F. Experimental calibration of manganese incorporation in foraminiferal calcite. Geochim. Cosmochim. Acta 2018, 237, 49–64. [Google Scholar] [CrossRef]
- Titelboim, D.; Sadekov, A.; Almogi-Labin, A.; Herut, B.; Kucera, M.; Schmidt, C.; Hyams-Kaphzan, O.; Abramovich, S. Geochemical signatures of benthic foraminiferal shells from a heat-polluted shallow marine environment provide field evidence for growth and calcification under extreme warmth. Glob. Change Biol. 2017, 23, 4346–4353. [Google Scholar] [CrossRef]
- Titelboim, D.; Almogi-Labin, A.; Herut, B.; Kucera, M.; Schmidt, C.; Hyams-Kaphzan, O.; Ovadia, O.; Abramovich, S. Selective responses of benthic foraminifera to thermal pollution. Mar. Pollut. Bull. 2016, 105, 324–336. [Google Scholar] [CrossRef]
- Schmidt, C.; Morard, R.; Almogi-Labin, A.; Weinmann, A.E.; Titelboim, D.; Abramovich, S.; Kucera, M. Recent Invasion of the Symbiont-Bearing Foraminifera Pararotalia into the Eastern Mediterranean Facilitated by the Ongoing Warming Trend. PLoS ONE 2015, 10, e0132917. [Google Scholar] [CrossRef]
- Schmidt, C.; Titelboim, D.; Brandt, J.; Herut, B.; Abramovich, S.; Almogi-Labin, A.; Kucera, M. Extremely heat tolerant photo-symbiosis in a shallow marine benthic foraminifera. Sci. Rep. 2016, 6, 30930. [Google Scholar] [CrossRef]
- Manda, S.; Titelboim, D.; Ashckenazi-Polivoda, S.; Almogi-Labin, A.; Herut, B.; Abramovich, S. Epiphytic benthic foraminiferal preferences for macroalgal habitats: Implications for coastal warming. Mar. Environ. Res. 2020, 161, 105084. [Google Scholar] [CrossRef]
- Fehrenbacher, J.S.; Spero, H.J.; Russell, A.D.; Vetter, L.; Eggins, S. Optimizing LA-ICP-MS analytical procedures for elemental depth profiling of foraminifera shells. Chem. Geol. 2015, 407–408, 2–9. [Google Scholar] [CrossRef] [Green Version]
- Benaltabet, T.; Gutner-Hoch, E.; Torfstein, A. Heavy Metal, Rare Earth Element and Pb Isotope Dynamics in Mussels During a Depuration Experiment in the Gulf of Aqaba, Northern Red Sea. Front. Mar. Sci. 2021, 8, 2001. [Google Scholar] [CrossRef]
- Biller, D.V.; Bruland, K.W. Analysis of Mn, Fe, Co, Ni, Cu, Zn, Cd, and Pb in seawater using the Nobias-chelate PA1 resin and magnetic sector inductively coupled plasma mass spectrometry (ICP-MS). Mar. Chem. 2012, 130–131, 12–20. [Google Scholar] [CrossRef]
- Yoshiki, S.; Shouhei Urushihara, S.N.; Tomoharu Minami, K.N. Multielemental Determination of GEOTRACES Key Trace Metals in Seawater by ICPMS after Preconcentration Using an Ethylenediaminetriacetic Acid Chelating Resin. Anal. Chem. 2008, 80, 6267–6273. [Google Scholar]
- Middag, R.; Rolison, J.M.; George, E.; Gerringa, L.J.A.; Rijkenberg, M.J.A.; Stirling, C.H. Basin scale distributions of dissolved manganese, nickel, zinc and cadmium in the Mediterranean Sea. Mar. Chem. 2022, 238, 104063. [Google Scholar] [CrossRef]
- Schumacker, R.; Tomek, S. Understanding Statistics Using R; Springer: New York, NY, USA, 2013. [Google Scholar]
- Van Dijk, I.; de Nooijer, L.J.; Reichart, G.-J. Trends in element incorporation in hyaline and porcelaneous foraminifera as a function of pCO2. Biogeosciences 2017, 14, 497–510. [Google Scholar] [CrossRef] [Green Version]
- Sagar, N.; Sadekov, A.; Scott, P.; Jenner, T.; Vadiveloo, A.; Moheimani, N.R.; McCulloch, M. Geochemistry of large benthic foraminifera Amphisorus hemprichii as a high-resolution proxy for lead pollution in coastal environments. Mar. Pollut. Bull. 2021, 162, 111918. [Google Scholar] [CrossRef] [PubMed]
- Kersten, M.; Smedes, F. Normalization procedures for sediment contaminants in spatial and temporal trend monitoring. J. Environ. Monit. 2002, 4, 109–115. [Google Scholar] [CrossRef] [PubMed]
- Assessment of data collected under the Co-ordinated Environmental Monitoring Programme. In Proceedings of the OSPAR Commission, London, UK, 4 May 2005; p. 115.
- Herut, B.; Sandler, A. Normalization methods for pollutants in marine sediments: Review and recommendations for the Mediterranean. IOLR Rep. H 2006, 18, 23. [Google Scholar]
- Lebrato, M.; Garbe-, D.; Müller, M.N.; Blanco-Ameijeiras, S.; Feely, R.A.; Lorenzoni, L.; Molinero, J.C.; Bremer, K.; Jones, D.O.B.; Iglesias-Rodriguez, D.; et al. Global variability in seawater Mg:Ca and Sr:Ca ratios in the modern ocean. Proc. Natl. Acad. Sci. USA 2020, 117, 22281–22292. [Google Scholar] [CrossRef] [PubMed]
- De Nooijer, L.J.; Hathorne, E.C.; Reichart, G.J.; Langer, G.; Bijma, J. Variability in calcitic Mg/Ca and Sr/Ca ratios in clones of the benthic foraminifer Ammonia tepida. Mar. Micropaleontol. 2014, 107, 32–43. [Google Scholar] [CrossRef] [Green Version]
Publisher’s Note: MDPI stays neutral with regard to jurisdictional claims in published maps and institutional affiliations. |
© 2022 by the authors. Licensee MDPI, Basel, Switzerland. This article is an open access article distributed under the terms and conditions of the Creative Commons Attribution (CC BY) license (https://creativecommons.org/licenses/by/4.0/).