Abstract
The main aim of this study was a survey of micropollutants in stormwater runoff of Berlin (Germany) and its dependence on land-use types. In a one-year monitoring program, event mean concentrations were measured for a set of 106 parameters, including 85 organic micropollutants (e.g., flame retardants, phthalates, pesticides/biocides, polycyclic aromatic hydrocarbons (PAH)), heavy metals and standard parameters. Monitoring points were selected in five catchments of different urban land-use types, and at one urban river. We detected 77 of the 106 parameters at least once in stormwater runoff of the investigated catchment types. On average, stormwater runoff contained a mix of 24 µg L−1 organic micropollutants and 1.3 mg L−1 heavy metals. For organic micropollutants, concentrations were highest in all catchments for the plasticizer diisodecyl phthalate. Concentrations of all but five parameters showed significant differences among the five land-use types. While major roads were the dominant source of traffic-related substances such as PAH, each of the other land-use types showed the highest concentrations for some substances (e.g., flame retardants in commercial area, pesticides in catchment dominated by one family homes). Comparison with environmental quality standards (EQS) for surface waters shows that 13 micropollutants in stormwater runoff and 8 micropollutants in the receiving river exceeded German quality standards for receiving surface waters during storm events, highlighting the relevance of stormwater inputs for urban surface waters.
1. Introduction
Urban stormwater runoff from impervious surfaces can be an important source of diffuse pollution contributing to the degradation of urban surface waters [,]. This is especially the case in cities with separated sewer systems as dominant drainage networks, as runoff from separated sewers is usually discharged directly to receiving surface waters without further treatment. For example, in Berlin (Germany) each year 70% or 48 million m³ of stormwater is discharged mostly untreated into Berlin’s surface waters via the separated sewer system (own estimate based on urban drainage data). Whereas “classic” pollutants in stormwater runoff such as suspended solids, chemical oxygen demand (COD) or heavy metals have been under investigation for several decades already [,,,], trace organic substances started to come into focus in recent years only [,,,,]. Besides direct discharge into surface waters via separate storm sewers, combined sewer overflows can also be a relevant pathway for stormwater-related micropollutants to enter urban streams [,,]. Sources are widespread and can be building materials (e.g., zinc and copper from roof surfaces and gutters [,]; or biocides from exterior paint []), vehicles (e.g., benzothiazoles from tire abrasion []), combustion processes (e.g., polycyclic aromatic hydrocarbons (PAH) []), atmospheric deposition (e.g., pesticide terbuthylazin []) or litter wash-off (e.g., nicotine from cigarette butts []).
Ecotoxicological relevance of trace organics in stormwater runoff for receiving surface waters was indicated for a number of substances through studies on acute mortality and chronic effects in coho salmon and other aquatic species [], a conceptual exposure model [], by simulating concentrations downstream of a stormwater inlet [], and by investigating the effect on stream invertebrate assemblages []. The potential relevance was further underlined regarding the overall role of stormwater runoff for substance loads in receiving surface waters by Wittmer et al. [] who showed that biocides from building materials can lead to higher loads than agricultural pesticide runoff for a Swiss peri-urban catchment. Besides trace organics, heavy metals in stormwater runoff (e.g., Zn, Cu) are also of ecotoxicological concern due to much higher concentrations, their persistence and effects in aquatic biota []. However, for most micropollutants the availability of measurement data in receiving rivers during stormwater influence is not sufficient to evaluate their ecotoxicological relevance.
Given the potential importance of trace organics in stormwater runoff [], it is important to understand, which substances are expected in different urban catchments. Since sources of stormwater pollutants vary with land use (e.g., road vs. building) differences in substance occurrence would also be expected depending on land use. Indeed, concentrations were found to be higher in stormwater catchments with high traffic volumes for PAH by Gasperi et al. [] and for some heavy metals and standard parameters by Järveläinen et al. []. However, no land use-related differences were described for most trace organics and heavy metals by the same authors. This may be due to consideration of large stormwater catchments of mixed land use by most existing monitoring programs (e.g., [,,,]). Moreover, concentration data of trace organics in stormwater runoff are generally sparse and for many substances there are no datasets for catchments of different land uses.
The present study addresses the above gaps based on event mean concentrations for more than 100 organic and inorganic micropollutants in stormwater runoff collected over one year in five different monitoring catchments in Berlin (Germany). Monitoring catchments were selected to contain mostly one dominant land use type. The monitoring is complemented by single event-based samples from one receiving river.
The study follows three main aims:
- presenting a unique data set on stormwater pollution (available open access);
- studying potential land-use specificity of micropollutants in stormwater runoff; and
- discussing the potential ecotoxicological relevance of these substances based on data in stormwater runoff and in a receiving river.
2. Materials and Methods
A one-year monitoring program was conducted during which stormwater runoff was sampled in five catchments of different urban land use. Additionally, surface water of an urban stream receiving relevant stormwater inputs from separated storm sewers was sampled during dry and wet weather conditions.
2.1. Study Sites
Based on geographic information system (GIS) data of the Berlin Senate, five different urban land-use types were defined that represent the main city structure types of Berlin and other large European cities as summarized in Table 1. The selection was based on the assumption that differences in the selected land-use types (e.g., traffic density, roof area and type, building materials) will result in different concentration patterns of micropollutants in stormwater runoff. Together, the five selected land-use types represent ~83% of Berlin’s impervious area connected to the sewer network (see Figure 1).

Table 1.
Land-use types in Berlin considered for monitoring. All land use types beside streets (STR) include small residential roads <7500 vehicles per day.

Figure 1.
Land-use types and location of monitoring catchments in Berlin (Pictures © Google 2015, Geobasis-DE/BKG).
For each land-use type one representative monitoring catchment was selected to sample stormwater runoff during rain events (Table 1, Figure 1). Selection criteria included location in the area with separate sewer system, high homogeneity in land use of connected catchment area, size (large but homogeneous), monitoring feasibility (accessibility of manhole, sewer condition, suitability for flow measurements) and water level during rain at respective manholes (from sewer modelling of design storms with 1-year return period).
Selected monitoring catchments include an area of typical five-storey perimeter blocks built between 1870 and 1930 (OLD), a newer area of 4–8-storey concrete slab buildings built between 1960 and 1980 (NEW), a residential area characterized by one-family houses and villas with gardens (OFH), a commercial and industrial area of high imperviousness with large flat-roof buildings and yards (COM) and 1.3 km of a busy road including an intersection with traffic lights and bus stops (STR). An overview of the selected monitoring sites is shown in Figure 1. Selected monitoring catchments vary in size from 2.6 to 37 ha (total area) and are very homogeneous regarding the respective land-use type with an average areal ratio of 90% (Table 1).
In addition to the five monitoring catchments, one monitoring station was installed at the urban river Panke in order to evaluate the impact of stormwater discharges on an urban stream. The Panke river is a small lowland river (mean discharge ~0.5 m³ s−1) that is characterised by strong stormwater inputs from impervious surfaces connected via a separate sewer system to the river. Of the 5 investigated catchments, catchment OLD discharges upstream of the Panke river sampling point.
2.2. Sampling Strategy for Stormwater Runoff
Four main sampling methods are commonly used to estimate the event mean concentration (EMC) of stormwater runoff []:
- Constant sampling volume at fixed time interval;
- Variable sampling volume at fixed time interval with sample volume proportional to runoff flow;
- Variable sampling volume at fixed time interval with sample volume proportional to runoff volume;
- Constant sampling volume at variable time interval.
The first method gives a composite sample that is likely to be biased since the flow is not considered in the preparation of the composite sample []. The error is systematic and cannot be reduced by increasing the sampling frequency []. The other methods are conceptually similar regarding their aim at creating a composite sample from a series of sub-samples proportional to the runoff flow or volume. Shelley [] demonstrated that major errors can be expected by estimating EMCs using method 1 and that the other methods provide similar accuracy, with a trend to underestimate the real EMC. The systematic error increases when the sampling frequency decreases but remains below 20% for time intervals of less than 30 min.
Several authors recommend a strategy of variable sampling volume—methods 2 or 3 []—with the mixing of the composite sample in the laboratory [,,]. Each sub-sample is filled in an individual bottle during the event by an automatic sampler device and the composite sample is prepared in the laboratory by mixing a proportion of each sub-sample, proportional to the measured runoff flow or volume. This approach is preferred to the preparation of the composite sample directly by the automatic sampler since drift or outliers in flow measurement can lead to biased sampling. This is also the main drawback of method 4. The manual mixing enables flow measurement errors in the preparation of the composite sample to be corrected and considered. Additionally, it provides individual grab samples, useful to understand event concentration variability (e.g., maximal event concentration or first flush concentration).
A study by Sandoval et al. [] estimated the uncertainties of different sampling strategies using online total suspended solids (TSS) and flow measurement from four different stormwater outlets in France, Germany, Austria and Colombia. The results confirm that method 3 delivers the most accurate estimation of EMC, independently of the selected sampling interval or the size of the catchment.
Based on these outcomes, we selected a strategy with fixed time interval and variable sampling volume proportional to the runoff volume (method 3). After the start of the event, each of the eight 2 L bottles would be filled every 20 min in order to cover an event duration of 2 h 40 min. Following the results of Sandoval et al. [] obtained for stormwater runoff in Berlin, this strategy would lead to sampling uncertainties below 20%, which seems a reasonable tradeoff between sampling uncertainty and the duration of the events covered by the sampling strategy. Increasing the sampling frequency would reduce the sampling uncertainty but also our capacity to sample the entire duration of most events.
This basic strategy has been further slightly modified in order to
- Improve the representativeness of each sub-sample: the first six bottles were each filled with four samples (V = 450 mL) at a fixed interval of 5 min (first two hours of sampling). This solution increases the representativeness of each sub-sample (over a 20 min period, four samples every 5 min are more representative than one single sample).
- Cover a longer event duration: if stormwater runoff continued more than 2 h, the sampling interval changed to 15 min for the last two bottles, which leads to a maximum sampling duration of four hours.
A schematic view of preparation of a volume-proportional composite sample is shown in Supplementary Figure S1.
2.3. Stormwater Runoff Sampling
At each of the five monitoring catchments one flow meter (PCM4, Nivus, Germany) was installed in the storm sewer and one portable automatic sampler (Sigma SD 900, Hach Lange, Germany) was fixed under the manhole using suspension harnesses. Each sampler was equipped with a set of 8 × 2 L glass bottles and Teflon® inflow pipes to avoid potential sorption and sample contamination e.g., with phthalates. Automatic samplers were triggered by a preassigned water level threshold, varying between 9 and 15 cm for the different monitoring sites (depending on sewer pipe dimensions and expected water volumes). This setting allowed capturing rain events with a total rain height ≥0.4–2.5 mm, depending on catchment size (Table 2). For best estimation of EMC, the sampling method of variable sampling volume at fixed time interval with sample volume proportional to runoff volume was chosen after thorough investigation of the literature (see above). An event separation time of two hours was applied; longer gaps of rain were considered as separate events. Samples were retrieved and cooled within 24 h after the sampled rain event. A volume-proportional composite sample was prepared based on runoff measurements (for details see Supplementary Figure S1) to allow the analysis of EMC. During 13 months of monitoring (May 2014 to June 2015), a total of 143 volume-proportional composite samples were taken at all monitoring sites (OLD: 36, NEW: 31, OFH: 18, COM: 40, STR: 18), covering a total rain depth of 135 mm (STR)–170 mm (OLD). On average, about one third of all rain events at each monitoring site was sampled and analyzed in the laboratory (24–41%). Of the 143 samples, 93 samples were analyzed for the complete set of chemical parameters including a large number of organic micropollutants (Table 3). The remainder was analyzed for a reduced set of standard parameters (TSS, COD, total P) and heavy metals (see Table 3). Criteria for selection of sampled events for full chemical analysis included coverage of all four seasons, coverage of a wide range of rain event characteristics (e.g., regarding rain intensity or rain depth) and coverage of the majority of the rain event (>80% of volume sampled). An overview of the main characteristics of analyzed rain events is shown in Table 2, including rain depth, mean intensity over the rain event, maximum 10 min intensity, and number of antecedent dry days. Sampled events cover a wide range of rain events with local event frequencies between 20 and 1 yr−1, although no extreme rainfall (>20 mm) occurred during the sampling period.

Table 2.
Rain event characteristics of sampled events. Min–max (median).

Table 3.
Overview of analyzed substances and parameter groups.
2.4. River Sampling
Complementary river monitoring was performed at the Panke river during dry and wet weather conditions to evaluate stormwater-based pollutants in a small urban stream.
This monitoring aimed at peak concentrations rather than EMC. An automatic sampler with 24 glass bottles of 350 mL was installed at the station “Bürgerpark” to sample peak concentrations during rain events, triggered by an online sensor for electrical conductivity κ, as the conductivity in the stormwater runoff (mean in stormwater samples: 190 µS cm−1) is much lower compared to the conductivity of the Panke river at dry weather conditions (900–1000 µS cm−1). If κ dropped below 550 μS cm−1 because of a high percentage of stormwater runoff during storm events, two samplings 30 min apart were started, each filling 12 bottles subsequently. The set of bottles filled during the interval with lower κ (higher percentage of stormwater runoff in the river) were mixed into a composite sample of ~4.2 L, which was analyzed. In total, 20 river samples were taken during rain events, of which 12 were analyzed for the complete set of parameters. In addition, five grab samples were analyzed that were taken during dry weather conditions throughout the year.
2.5. Chemical Analysis
Stormwater runoff and river samples were analyzed for a set of 106 parameters, including standard parameters (total suspended solids, biological and chemical oxygen demand, total phosphorous, ammonium, pH and conductivity) and an extensive set of organic micropollutants (including phthalates, biocides/pesticides, organophosphates, PAH, industrial chemicals and heavy metals, see Table 3) in an accredited laboratory in accordance with German standards (DIN). Applied analytical methods and achieved limits of quantification are summarized in Supplementary Table S1.
In general, phthalates, PAH, polychlorinated biphenyls (PCB), polybrominated diphenyl ethers (PBDE), organotin compounds, alkylphenols, bisphenol A + F and heavy metals were extracted before analyses (total concentrations), whereas all other organic micropollutants were analyzed with LC-MS (liquid chromatography-mass spectrometry) directly without extraction. Blank results of tap water cycled five times through one of the applied automatic samplers indicated no particular contamination from sampling devices and/or sample pre-treatment procedure for most pollutants monitored. A low contamination by phthalates could, however, be detected, but values were below or at limit of quantification and far less than levels found in stormwater.
2.6. Data Analysis
For data analysis (e.g., calculation of mean values), samples below limit of quantification (LOQ) were calculated with LOQ/2, unless all samples per catchment type were below LOQ, in which case the concentration was set to zero. Mean values in the text are presented with the standard error of mean. For statistical analysis, the Kruskal–Wallis and Dunn tests were applied to determine if concentration differences between the five catchment types are statistically significant. Concentration differences were evaluated for all land-use pairs and chemical parameters. As concentration values for each catchment type (n = 14–41 depending on parameter) were not normally distributed (tested by Shapiro–Wilk-test, see Supplementary Table S2 for results), an analysis of variance (ANOVA) could not be applied.
3. Results and Discussion
We detected 77 of 106 parameters in Table 3 above LOQ in stormwater runoff. Mean and maximum concentrations of investigated land use types are summarized in Table 4. 68 substances were also detected in wet weather grab samples from the Panke river.

Table 4.
Concentrations of standard parameters and micropollutants in stormwater runoff of different catchment types (only substances with >30% of all samples above LOQ). See Table 3 for acronyms.
3.1. Standard Water Quality Parameters and Heavy Metals
3.1.1. Event Mean Concentration (EMC) in Stormwater Runoff
Generally, average concentrations of all samples compare well to large stormwater datasets by Brombach and Fuchs [] (means across 265 sites, global data base with focus on German data, described in []), Pitt et al. [] (medians across 3390 samples of storm events across the United States), Gasperi et al. [] (means of 3 urban catchments in France), Zgheib et al. [] (medians of 1 catchment with high number of analyzed substances in Paris, France), and Masoner et al. [] (median of 21 sites across the United States with high number of analyzed substances), as outlined in Figure 2. For example, EMC of TSS (mean: 124 ± 15 mg L−1, median: 71 mg L−1) are similar to the means/medians in the datasets above, of 282 mg L−1 (mean, []), 58 mg L−1 (median, []), 126 mg L−1 (mean, []) and 106 mg L−1 (median, []), respectively.

Figure 2.
Comparison of means (black line) and 95% interval (grey area between 2.5% and 97.5% quantiles) with literature values on stormwater runoff in separated sewer systems.
Regarding heavy metals, the highest concentrations were found for zinc with an overall mean concentration of 954 µg L−1 (max: 10,000 µg L−1), followed by copper with 253 µg L−1 (max: 5300 µg L−1) and lead with 68 µg L−1 (max: 780 µg L−1) (see Table 4). Again, means of heavy metal compounds were mostly in line with literature (Figure 2). Major differences were only found for Ni and Cd, which were clearly higher (outside the 95% interval of the data of this study) in the data set by Brombach and Fuchs []. However, the other data sets confirmed the present measurements. On the other hand, Zn and Cu values in this study were clearly higher than in the US data sets by Pitt et al. [] and Masoner et al. []. Again, the other data sets were well within the 95% interval of the Berlin data, even if they were all below the Berlin mean. Sources for zinc and copper were typically traffic-related inputs (tire wear for zinc, brake abrasion for copper) and building materials (metal sheets, gutters).
During the last three months of monitoring, samples were also analyzed for dissolved metal concentrations. Results indicated that especially zinc, nickel and copper compounds were present to a high extent in dissolved form in stormwater runoff (Zn: 48%, Ni: 44% and Cu: 33%), whereas lead and titanium showed a predominant particulate fraction > 85%. Both results agreed very well with data by Pitt et al. [] (dissolved shares of 26% (Zn), 44% (Ni), 31% (Cu) and 7% (Pb)) and Gasperi et al. [] (dissolved shares of 40% (Zn), 46% (Ni), 27% (Cu), 6% (Pb) and 6% (Ti)). Since toxicity of heavy metals typically increases significantly for dissolved forms, this result may be relevant [].
The international data sets above typically considered (large) stormwater catchments of mixed land use. Thus, similar values of mean/median concentrations across the five land-use types of this data set indicate that monitoring sites in this study were representative for mixed land use.
3.1.2. Land Use-Specific Differences in Stormwater Runoff EMC
While means across the five land-use types were comparable to international data sets, values differed significantly between these land use types. For all heavy metals and standard parameters, except BOD5, significant differences were found among land-use types, based on the Kruskal–Wallis test (see Supplementary Table S4). Overall, 38% of all the possible land-use pairs showed significant differences in pair-wise Dunn tests.
Pronounced differences between land-use types could be seen in the concentrations of TSS and COD for land-use type STR, which were significantly higher than concentrations of all other land-use types (significant difference for 88% of land use pairs with STR for TSS and COD, see Supplementary Table S4). As runoff from roads and highways has long been identified as a source of particulates and organics e.g., due to brake and tire wear or street tree inputs, this result is not surprising. Similarly, STR stands out with significantly higher values for a number of heavy metals (Ni, Cr, Ti, V).
In contrast, orthophosphate was significantly higher in OFH, potentially due to fertilizer application in private gardens. Surprisingly, Zn was significantly higher in OLD and COM than STR, which in turn was significantly higher than NEW and OFH. The result can probably be explained by the influence of building materials, such as galvanized rain pipes (OLD) and large tin roofs (COM), in combination with traffic (highest in STR, followed by OLD and COM).
3.1.3. Wet Weather Grab Samples in the River
Most investigated standard parameters and heavy metals also showed clear peaks in the River Panke during stormwater impacts. Differences between wet and dry weather concentrations for Zn and Cu were more than one order of magnitude. On average, wet weather concentrations exceeded those during dry weather by a factor of 7 and 15, for standard parameters and heavy metals, respectively.
3.2. Organic Micropollutants
3.2.1. EMC in Stormwater Runoff
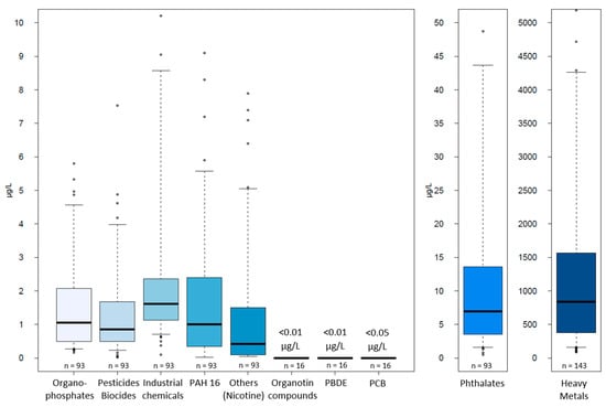
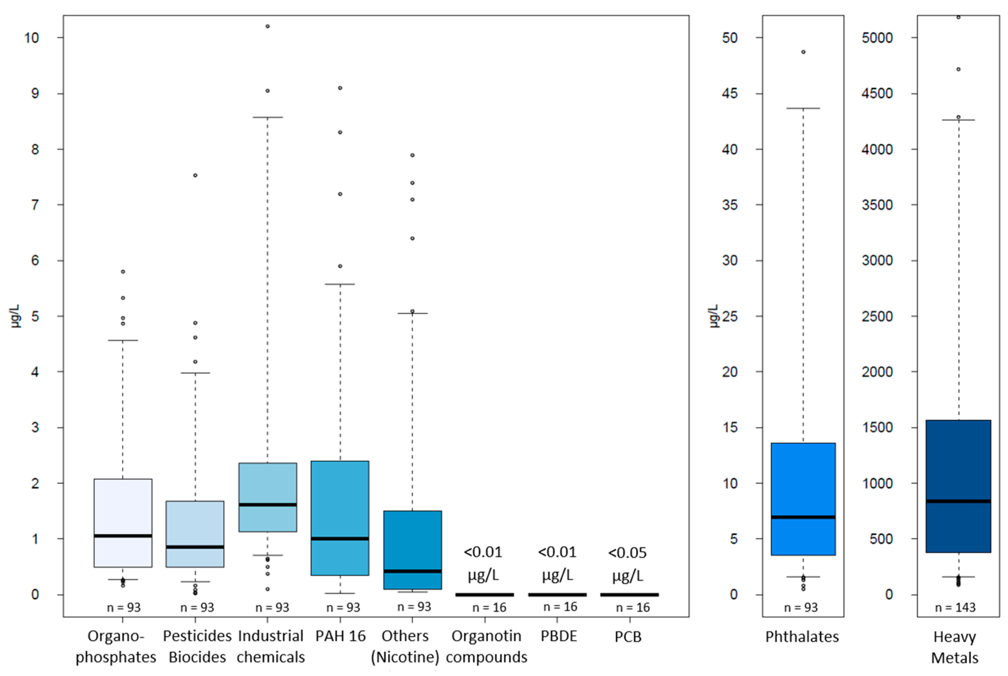
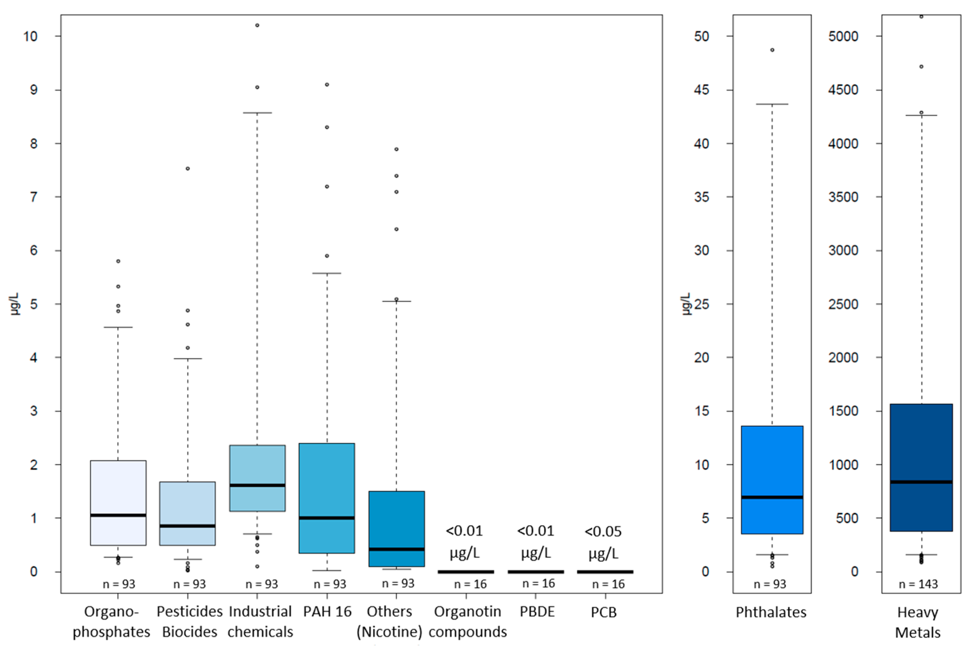
We detected 63 of 92 analyzed organic micropollutants in at least one sample of stormwater runoff of the investigated catchment types. Only for PCB, PBDE, organotin compounds, MTBE and four biocides/pesticides (imidacloprid, thiacloprid, simazine, dichlorbenzamide [DCBA]) all analyzed samples were below the respective LOQ (see Supplementary Table S1 for LOQs). As shown in Figure 3, concentrations of organic micropollutants were highest for phthalates, dominated by diisodecyl + diisononyl phthalate (DIDP + DINP, technical mixture of phthalates replacing DEHP) with an average concentration for all samples of 12 ± 2.1 µg L−1. Figure 3 also indicates that the average stormwater sample contained a total of >20 µg L−1 in organic micropollutants (average sum of all analyzed organic micropollutants is 24 ± 2.6 µg L−1), with significantly higher concentrations for single events. For 6 parameters of organic micropollutants, the phthalates DIDP + DINP and DEHP, the flame-retardant TBEP, the sum of the 16 PAH and the stimulants caffeine and nicotine, average concentrations >1 µg L−1 were determined over all the samples and land-use types (see Table 4).

Figure 3.
Concentration boxplots of micropollutant groups (sum of all micropollutants per group, see Table 3) in stormwater of all 5 catchment types. Boxes show 25% and 75% quantiles with median as thick line, whiskers show 5%/95% quantiles, n is number of samples.
Figure 2 compares monitoring results to large European and US datasets for a number of organic micropollutants. In general, reported concentrations are well within 95%-prediction intervals of the presented data. However, there are a few noteworthy exceptions.
The most prominent biocide in this study, mecoprop, was found at ~100 times lower concentrations in French catchments. In turn, the biocide diuron was reported at 5 to 16-fold higher concentrations by Gasperi et al. [] and Zgheib et al. [] for France. Since both biocides are primarily used for algal/plant control on building materials, the difference may be due to regional use patterns of French and German roof/paint suppliers. Concentrations slightly above the 95%-prediction interval of this study were also reported by Gasperi et al. [] for isoproturon and AMPA (metabolite of glyphosate), two pesticides / biocides, which have a predominant source in classical weed control. Again, different regional use patterns could possibly explain the observation. Generally, biocides of interest (average concentrations >0.05 µg L−1) that were found in this study include mecoprop, carbendazim, diuron, glyphosate, AMPA, terbutryn and terbuthylazin.
All PAH compounds reported in the French study by Zgheib et al. [] are well within the 95%-bounds of this study, with the exception of naphthalene, which was found at 20-fold higher concentrations in Parisian stormwater. In contrast, most PAH compounds reported in the US study by Masoner et al. [] were clearly above the 97.5% quantile of the concentrations in this study, probably due to higher traffic volumes in the US. PAH concentrations in this study (mean of ∑PAH16: 1.7 µg L−1) were dominated by fluoranthene and pyrene with maximum concentrations of 3.2 and 2.9 µg L−1, respectively.
PAH ratios for source evaluation proposed by Tobiszewski and Namieśnik [] were determined and clearly show that PAH emissions in all the land-use types of this study are dominated by traffic (e.g., benzo[a]pyrene/benzo[ghi]perylene—ratio to distinguish between traffic (>0.6) and non-traffic (<0.6) emissions resulted in average values of 1.6 for STR and 1.2–1.4 for all other land-use types). Consequently, differences in naphthalene concentrations may be explained by other sources than vehicular combustion in the Paris study.
The phthalate DEHP was detected at significantly lower concentrations than in the US by Pitt et al. (2004), as well as in France by Zgheib et al. []. This may be explained by a shift in plasticizer use from DEHP to DIDP + DINP, as reported by Bartolomé et al. []. As a consequence, the concentration in DEHP is likely to decrease with every year, following the replacement of plasticizers.
Finally, the concentrations of the insect repellent DEET in stormwater runoff as reported by Masoner et al. [] were 1–2 orders of magnitude higher compared to concentrations observed in this study, which could indicate a higher usage of DEET in the US compared to Berlin.
3.2.2. Land Use-Specific Differences
Surprisingly, each of the five land-use types showed highest mean concentrations for some organic micropollutants; i.e., the biocide mecoprop was highest in OLD, the pesticide isoproturon in OFH, the flame-retardant TBP in NEW, the phthalate DINP + DIDP in COM and PAH16 in STR. Overall, STR was the dominant land use for 22 out of 48 parameters in Table 4. However, this included 14 PAH. If only the sum parameter of PAH (PAH16) is considered, the five land-use types OLD, NEW, OFH, STR and COM showed the highest mean concentrations for 31%, 8%, 12%, 31% and 19% of the organic micropollutants in Table 4, respectively.
The observed differences among the five land-use types were also statistically significant for all but four tested organic micropollutants, based on the Kruskal–Wallis test (see Supplementary Table S3). Two exceptions were the artificial sweetener acesulfame (possibly from littered consumables such as chewing gums or soft drink bottles) and nicotine (from littered cigarette butts), indicating that littering seems to be equally distributed in Berlin. Of the organic micropollutants with significant differences, 52% of all the possible land-use pairs showed significant differences in pair-wise Dunn tests. This shows that in many cases differences were not just due to one land use with a particularly high or low value, but can be graduated. For instance, the flame retardant and plasticizer TBEP shows significant differences between three groups from highest concentrations in COM and NEW to medium ones in OLD to lowest concentrations in STR and OFH (see Supplementary Table S3).
3.2.3. Plausibility of Differences among Land-Use Types
Since most stormwater pollutants can have multiple sources it was impossible to fully explain the differences among the different monitoring sites. However, we tried to show that observed differences were likely to originate from different land use, based on few examples.
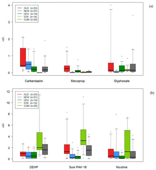
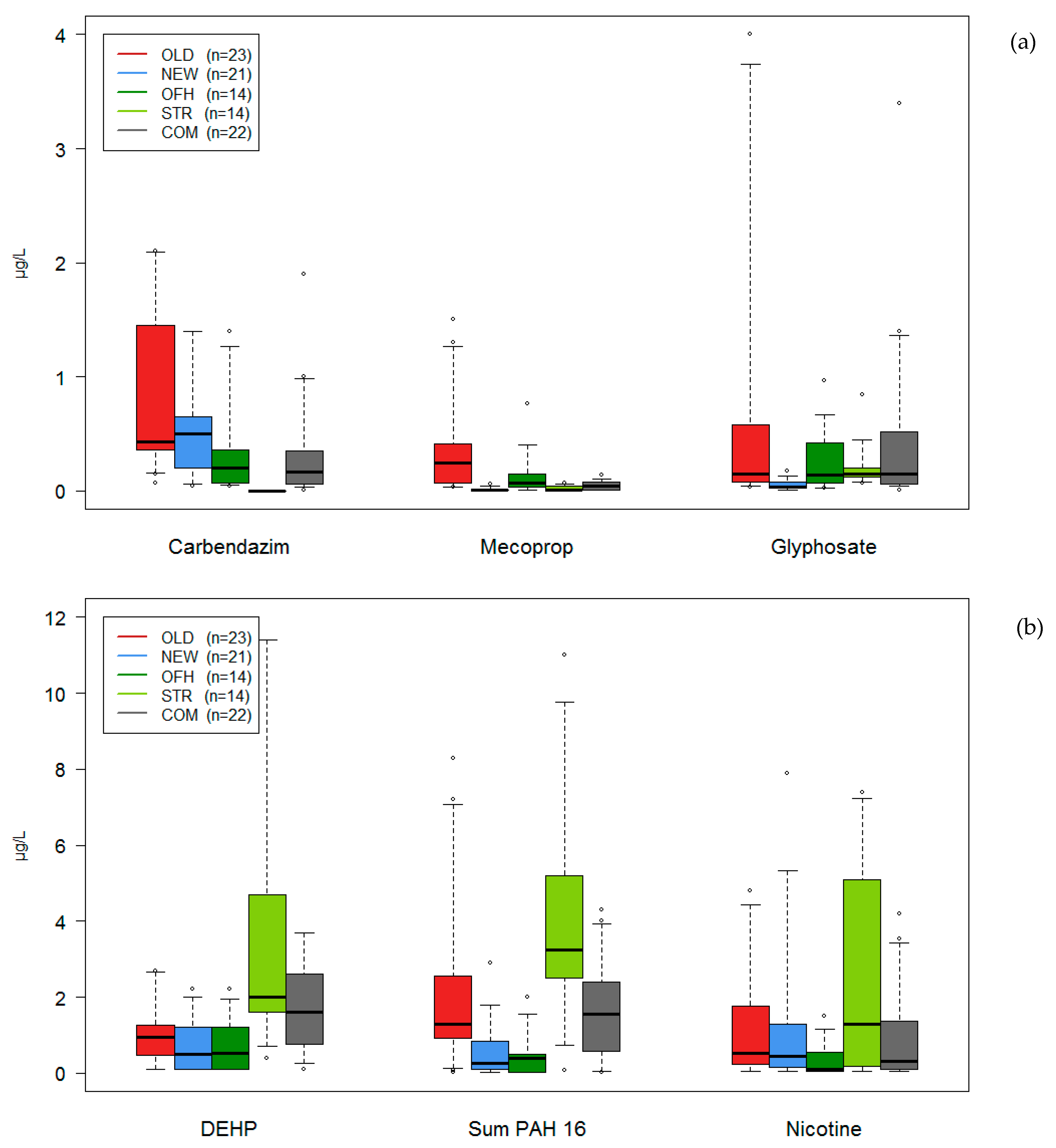
For biocides/pesticides, catchment specificity depends on individual compounds. Mecoprop is contained in high amounts in certain bituminous sealing membranes for roofs []. Consequently, it can be found in all catchments with roof runoff (all catchments beside STR, Figure 4 and Table 4). In turn, substances such as the fungicide carbendazim or the herbicide diuron are typical additives to exterior paints [] and are consequently expected at elevated concentrations from plastered walls/facades (especially on insulated facades). To test this hypothesis, we estimated the area of plastered walls/facades with potential connection to storm sewers (direct connection to impervious surfaces, no front gardens or similar below facade) in all the monitoring catchments and found correlation coefficients R2 for land-use medians of carbendazim and diuron of 0.85 and 0.68, respectively. Yet another pattern is found for compounds such as isoproturon or glyphosate/AMPA, which are predominantly used as a pesticide for weed control. Consequently, isoproturon is mostly found in OFH, probably from use in private gardens by individual home owners. In Berlin, glyphosate is also used to keep sidewalks free of weeds. As a result, glyphosate and its metabolite AMPA were found at similar concentrations in most land-use types (Figure 4).

Figure 4.
Concentration boxplots of selected biocides/pesticides (a) and DEHP, PAH and nicotine (b) by catchment type (OLD—old building areas, NEW—high-rise newer buildings, OFH—one-family houses, STR—streets >7500 vehicles/d, COM—commercial areas). Whiskers show 5%/95% quantiles.
Organophosphates (flame retardants) such as TCPP and TBEP are expected mostly from insulation materials on buildings. As a consequence, they were highest in the commercial area, potentially due to more extensive application of insulation materials to the larger industrial buildings, ware houses and large retail stores, followed by the other densely built-up land use types NEW and OLD.
A number of organic micropollutants in stormwater are typically associated with traffic, such as PAH (combustion byproduct), benzothiazoles (vulcanizing accelerators from tire wear) or benzotriazoles (corrosion inhibitor). Also, in this study the compounds in these three groups were found in significantly higher concentrations in STR than for the other land-use types. However, the substances are found in stormwater runoff of all the five monitoring catchments, since the other four land-use types also contain small roads <7500 vehicles per day. Since smaller roads are not covered by the official traffic counts we did traffic estimates by following official counting protocols and found the highest traffic volumes in STR, followed by COM (due to deliveries and store costumers), the two inner city land uses OLD and NEW down to lowest traffic volumes in OFH. By correlating these traffic estimates for the five land-use types with substance medians we found expected correlations for PAH16 and benzothiazoles, with R2 of 0.83 and 0.85, respectively. Surprisingly, traffic counts showed even higher correlations for phthalates DINP + DIDP (R2 of 0.89) and DEHP (R2 of 0.98). After some research one explanation could be the application of plastisols (paste-like polyvinyl chloride, PVC, with high content of plasticizers) for protective undercoating of vehicles (9% of phthalate production in Western Europe, []), which might leach phthalates to a higher degree than plastics on buildings or in yards.
The above examples show that observed differences between the five monitoring catchments can be explained plausibly by sources, which are closely associated with the investigated five land-use types. However, for a number of organic micropollutants in Table 4, such as TBP, 2-Phenylphenol or 4-tert-butylphenol, (dominant) sources are unclear and therefore concentration patterns cannot be explained by known land-use differences
3.2.4. Wet Weather Grab Samples in the River
We detected 54 organic micropollutants also in the Panke river, including all substances which were found in >30% of stormwater runoff samples in Table 3. As shown in Figure 5, concentrations of most compounds in river samples taken during storm events are about one order of magnitude higher compared to concentrations at dry weather conditions, strongly suggesting that stormwater runoff is responsible for concentration peaks of these and many of the other substances during storm events. Exceptions are sewage-based tracer substances and benzotriazoles, which are present in the river due to minor upstream inlets of WWTP effluents and consequently are diluted by storm water. All other substance groups showed concentration increases during stormwater impacts by factors between 5 (phthalates and benzothiazoles) and 20 (PAH) with an average of 13.

Figure 5.
Concentrations of selected substances during storm events (boxplots) and dry weather (open circles) in the urban river Panke. Whiskers show minimal and maximal values.
3.3. Comparison with Environmental Quality Standards
Concentrations in stormwater runoff were compared with environmental quality standards (EQS) of the European Water Framework Directive (2013/39/EU, regulating DEHP, diuron, terbutryn, the PAH, Pb and Cd) as well as EQS of the National (German) Surface Water Directive ([], regulating mecoprop and carbendazim) and EQS-suggestions by the German Federal Environmental Agency ([], for Zn and Cu). EQS for surface waters were exceeded by catchment-specific average concentrations for one phthalate (DEHP), four biocides (carbendazim, mecoprop, diuron, terbutryn), four PAH (fluoranthene, benzo[a]pyrene, benzo[b]fluoranthene, benzo[ghi]perylene) and four heavy metals (Zn, Cu, Pb, Cd). For zinc and copper, dissolved fractions were 48% and 33%, respectively, resulting in maximum dissolved concentrations of 3000 µg L−1 and 150 µg L−1, which is remarkable in regard to environmental quality standards of 33 µg L−1 for zinc and 2.4 µg L−1 for copper recommended by the German EPA as maximum allowable concentrations []. However, whether toxicity thresholds are violated in receiving rivers depends on the mixing ratio between storm water runoff and stream flow.
In the case of the Panke river, maximum concentrations measured during storm events also exceeded the higher maximum allowable concentrations values (MAC-EQS) for eight of these compounds (zinc, copper, DEHP, carbendazim, mecoprop, fluoranthene, benzo[b]fluoranthene and benzo[ghi]perylene), highlighting the relevance of stormwater inputs for urban surface waters.
A number of substances in Table 4, such as DIDP + DINP or TBEP, are not regulated through EQS. In some cases, PNEC (predicted no effect concentration) values from literature could be compared, which indicated potentially low relevance for aquatic organisms from TBEP but high relevance from nicotine as PNEC values were exceeded both in stormwater runoff as well as in surface water of the Panke river during rain events.
Comparing the stormwater concentrations directly to EQS neglects dilution with river water as well as other (point) sources of pollution. Moreover, EQS are developed for long exposure times and it remains unclear how short but high concentration peaks during storm events should be assessed. For instance, maximum detected dissolved copper EMC of 150 µg L−1 (dissolved fraction: 33%) is more than 60-fold higher than the EQS of 2.4 µg L−1 proposed by the German EPA, but only occurs for a few hours. An example for organic micropollutants is fluoranthene with maximum concentrations in stormwater runoff of 3.2 µg L−1, which is more than 25-fold higher than the maximum allowable concentration (MAC) EQS (0.12 µg L−1) as set in the European Water Framework Directive and more than 500-fold higher compared to the annual average (AA) EQS (0.0063 µg L−1). Another important aspect is the fact that stormwater runoff does not contain single substances but a mix of >50 micropollutants with a total concentration of ~24 µg L−1 for organic micropollutants and of ~1.3 mg L−1 for heavy metals. Some studies indicated that such a mixture could either amplify or reduce the impact of single compounds [].
Given these limitations, it is impossible to make a final judgment on the relevance of pollution from stormwater runoff for the ecology of urban surface waters. However, results show that stormwater runoff from very different urban land uses contains a large mix of substances, some of which are known to have detrimental effects on aquatic organisms. Although many compounds were measured in this study, new compounds will be found.
4. Conclusions
- We detected 77 of 106 organic and inorganic micropollutants of different chemical groups and sources in 143 event-based samples of stormwater runoff from five different urban land use types.
- The average stormwater runoff contained a mix of >50 micropollutants with a total concentration in the order of 10 µg L−1 for organic micropollutants and of 1 mg L−1 for heavy metals.
- Event mean concentrations showed significant differences between land use types for ~90% of tested substances.
- While road runoff was the most important source for some compounds such as polycyclic aromatic hydrocarbons or benzothiazole, all land-use types contained dominant sources for some micropollutants and cannot be neglected in pollution control strategies for stormwater.
- For 13 compounds (including 4 heavy metals) average concentrations in stormwater runoff exceeded EQS, indicating a potential relevance of urban stormwater runoff for surface water pollution. For 8 compounds (including 2 heavy metals) maximum concentrations in an urban stream even exceeded maximum allowable concentrations of EQS, demonstrating the relevance of stormwater inputs for urban surface waters.
- It is suggested that further research is undertaken on: (i) the toxicity of short concentration peaks of mixed substances; (ii) the role of stormwater pollutant loads to surface waters in comparison to other sources, such as waste water treatment plants, combined sewer overflows or agriculture; and (iii) on mitigation strategies, such as substance replacement or treatment at the source or further downstream.
Supplementary Materials
The following are available online at https://www.mdpi.com/article/10.3390/w13091312/s1, Figure S1: Schematic view of preparation of volume-proportional composite sample incorporating flow data measured in respective storm sewer during sampled rain event. Table S1: List of monitored substances, analytical methods, and limits of quantification (LOQ). Table S2: Results of Shapiro-Wilk test to test for normal distributions of concentrations per catchment type (prerequisite for application of analysis of variance (ANOVA)). Table S3: Results of Kruskal-Wallis test and Dunn test to test for significance of concentration differences between catchment types. Table S4: Overview of results of statistical analysis to evaluate the statistical significance of concentration differences. Red: concentrations significantly higher in comparison to at least 2 catchments, blue: concentrations significantly lower in comparison to at least 2 catchments.
Author Contributions
Conceptualization, D.W., A.M. and P.R.; methodology, N.C. (sampling strategy), D.v.S. (river investigation) and D.W.; formal analysis, R.D.; investigation, R.-L.S., N.C., D.W., R.D. and U.D.; resources, B.H. and D.v.S.; data curation, H.S.; writing—original draft preparation, D.W.; writing—review and editing, A.M.; visualization, D.W., A.M. and R.D.; supervision, P.R.; project administration, D.W.; funding acquisition, P.R. and A.M. All authors have read and agreed to the published version of the manuscript.
Funding
The research was funded by Berlin Environmental Relief Programme II (11409 UEPII/2) with funds of the European Regional Development Fund and Veolia Eau, which is greatly acknowledged.
Institutional Review Board Statement
Not applicable.
Informed Consent Statement
Not applicable.
Data Availability Statement
The full data set of concentrations is available as a repository under https://doi.org/10.5281/zenodo.4631695 (stormwater runoff concentrations) and https://doi.org/10.5281/zenodo.4631875 (Panke river concentrations).
Acknowledgments
The stormwater monitoring would not have been possible without the following persons: Simon Holsteijn, Mark Masch and Clara Eichler. We also thank all the colleagues from Berliner Wasserbetriebe who supported the monitoring.
Conflicts of Interest
The authors declare no conflict of interest. The funders had no role in the design of the study; in the collection, analyses, or interpretation of data; in the writing of the manuscript; or in the decision to publish the results.
References
- Walsh, C.J.; Roy, A.H.; Feminella, J.W.; Cottingham, P.D.; Groffman, P.M.; Morgan, R.P., II. The urban stream syndrome: Current knowledge and the search for a cure. J. N. Am. Benthol. Soc. 2005, 24, 706–723. [Google Scholar] [CrossRef]
- Göbel, P.; Dierkes, C.; Coldewey, W.G. Storm water runoff concentration matrix for urban areas. J. Contam. Hydrol. 2007, 91, 26–42. [Google Scholar] [CrossRef] [PubMed]
- Thomson, N.R.; McBean, E.A.; Snodgrass, W.; Monstrenko, I.B. Highway stormwater runoff quality: Development of surrogate parameter relationships. Water Air Soil Pollut. 1997, 94, 307–347. [Google Scholar] [CrossRef]
- Gnecco, I.; Berretta, C.; Lanza, L.G.; La Barbera, P. Storm water pollution in the urban environment of Genoa, Italy. Atmos. Res. 2005, 77, 60–73. [Google Scholar] [CrossRef]
- Huber, M.; Welker, A.; Helmreich, B. Critical review of heavy metal pollution of traffic area runoff: Occurrence, influencing factors, and partitioning. Sci. Total Environ. 2016, 541, 895–919. [Google Scholar] [CrossRef]
- Gasperi, J.; Sebastian, C.; Ruban, V.; Delamain, M.; Percot, S.; Wiest, L.; Mirande, C.; Caupos, E.; Demare, D.; Kessoo, M.D.K.; et al. Micropollutants in urban stormwater: Occurrence, concentrations, and atmospheric contributions for a wide range of contaminants in three French catchments. Environ. Sci. Pollut. Res. 2014, 21, 5267–5281. [Google Scholar] [CrossRef] [PubMed]
- Zgheib, S.; Moilleron, R.; Chebbo, G. Priority pollutants in urban stormwater: Part 1—Case of separate storm sewers. Water Res. 2012, 46, 6683–6692. [Google Scholar] [CrossRef] [PubMed]
- Becouze-Lareure, C.; Dembélé, A.; Coquery, M.; Cren-Olivé, C.; Bertrand-Krajewski, J.L. Assessment of 34 dissolved and particulate organic and metallic micropollutants discharged at the outlet of two contrasted urban catchments. Sci. Total Environ. 2019, 651, 1810–1818. [Google Scholar] [CrossRef]
- Masoner, J.R.; Kolpin, D.W.; Cozzarelli, I.M.; Barber, L.B.; Burden, D.S.; Foreman, W.T.; Forshay, K.J.; Furlong, E.T.; Groves, J.F.; Hladik, M.L.; et al. Urban Stormwater: An Overlooked Pathway of Extensive Mixed Contaminants to Surface and Groundwaters in the United States. Environ. Sci. Tech. 2019, 53, 10070–10081. [Google Scholar] [CrossRef]
- Spahr, S.; Teixidó, M.; Sedlak, D.L.; Luthy, R.G. Hydrophilic trace organic contaminants in urban stormwater: Occurrence, toxicological relevance, and the need to enhance green stormwater infrastructure. Environ. Sci. Water Res. Tech. 2020, 6, 15–44. [Google Scholar] [CrossRef]
- Mutzner, L.; Bohren, C.; Mangold, S.; Bloem, S.; Ort, C. Spatial Differences among Micropollutants in Sewer Overflows: A Multisite Analysis Using Passive Samplers. Environ. Sci. Tech. 2020, 54, 6584–6593. [Google Scholar] [CrossRef]
- Dittmer, U.; Bachmann-Machnik, A.; Launay, M.A. Impact of Combined Sewer Systems on the Quality of Urban Streams: Frequency and Duration of Elevated Micropollutant Concentrations. Water 2020, 12, 850. [Google Scholar] [CrossRef]
- Weyrauch, P.; Matzinger, A.; Pawlowsky-Reusing, E.; Plume, S.; von Seggern, D.; Heinzmann, B.; Schroeder, K.; Rouault, P. Contribution of combined sewer overflows to trace contaminant loads in urban streams. Water Res. 2010, 44, 4451–4462. [Google Scholar] [CrossRef] [PubMed]
- Wicke, D.; Cochrane, T.A.; O’Sullivan, A.D.; Cave, S.; Derksen, M. Effect of age and rainfall pH on contaminant yields from metal roofs. Water Sci. Tech. 2014, 69, 2166–2173. [Google Scholar] [CrossRef] [PubMed]
- Pennington, S.L.; Webster-Brown, J.G. Stormwater runoff quality from copper roofing, Auckland, New Zealand. N. Z. J. Mar. Freshw. Res. 2008, 42, 99–108. [Google Scholar] [CrossRef]
- Burkhardt, M.; Zuleeg, S.; Vonbank, R.; Bester, K.; Carmeliet, J.; Boller, M.; Wangler, T. Leaching of biocides from Façades under natural weather conditions. Environ. Sci. Tech. 2012, 46, 5497–5503. [Google Scholar] [CrossRef] [PubMed]
- Kloepfer, A.; Jekel, M.; Reemtsma, T. Occurrence, sources, and fate of benzothiazoles in municipal wastewater treatment plants. Environ. Sci. Tech. 2005, 39, 3792–3798. [Google Scholar] [CrossRef]
- Callen, M.S.; López, J.M.; Iturmendi, A.; Mastral, A.M. Nature and sources of particle associated polycyclic aromatic hydrocarbons (PAH) in the atmospheric environment of an urban area. Environ. Pollut. 2013, 183, 166–174. [Google Scholar] [CrossRef] [PubMed]
- Chevreuil, M.; Garmouma, M.; Teil, M.J.; Chesterikoff, A. Occurrence of organochlorines (PCBs, pesticides) and herbicides (triazines, phenylureas) in the atmosphere and in the fallout from urban and rural stations of the Paris area. Sci. Total Environ. 1996, 182, 25–37. [Google Scholar] [CrossRef]
- Roder Green, A.L.; Putschew, A.; Nehls, T. Littered cigarette butts as a source of nicotine in urban waters. J. Hydrol. 2014, 519, 3466–3474. [Google Scholar] [CrossRef]
- Eriksson, E.; Baun, A.; Scholes, L.; Ledin, A.; Ahlman, S.; Revitt, M.; Noutsopoulos, C.; Mikkelsen, P.S. Selected stormwater priority pollutants—a European perspective. Sci. Total Environ. 2007, 383, 41–51. [Google Scholar] [CrossRef] [PubMed]
- Burkhardt, M.; Junghans, M.; Zuleeg, S.; Schoknecht, U.; Lamani, X.; Bester, K.; Vonbank, R.; Simmler, H.; Boller, M. Biocides in building facades—Ecotoxicological effects, leaching and environmental risk assessment for surface waters. Umweltwissenschaften und Schadstoff-Forschung 2009, 21, 36–47. [Google Scholar] [CrossRef]
- Carpenter, K.D.; Kuivila, K.M.; Hladik, M.L.; Haluska, T.; Cole, M.B. Storm-event-transport of urban-use pesticides to streams likely impairs invertebrate assemblages. Environ. Monit. Assess. 2016, 188, 345. [Google Scholar] [CrossRef] [PubMed]
- Wittmer, I.K.; Bader, H.P.; Scheidegger, R.; Singer, H.; Lück, A.; Hanke, I.; Carlsson, C.; Stamm, C. Significance of urban and agricultural land use for biocide and pesticide dynamics in surface waters. Water Res. 2010, 44, 2850–2862. [Google Scholar] [CrossRef] [PubMed]
- Kayhanian, M.; Stransky, C.; Bay, S.; Lau, S.L.; Stenstrom, M.K. Toxicity of urban highway runoff with respect to storm duration. Sci. Total Environ. 2008, 389, 386–406. [Google Scholar] [CrossRef]
- Gerbersdorf, S.U.; Cimatoribus, C.; Class, H.; Engesser, K.H.; Helbich, S.; Hollert, H.; Lange, C.; Kranert, M.; Metzger, J.; Nowak, W.; et al. Anthropogenic Trace Compounds (ATCs) in aquatic habitats—Research needs on sources, fate, detection and toxicity to ensure timely elimination strategies and risk management. Environ. Int. 2015, 79, 85–105. [Google Scholar] [CrossRef] [PubMed]
- Järveläinen, J.; Sillanpää, N.; Koivusalo, H. Land-use based stormwater pollutant load estimation and monitoring system design. Urb. Water J. 2017, 14, 223–236. [Google Scholar] [CrossRef]
- Pitt, R.; Maestre, A.; Morquecho, R. The National Stormwater Quality Database. 2004. Available online: http://rpitt.eng.ua.edu/Research/ms4/Paper/recentpaper.htm (accessed on 15 February 2021).
- Rossi, L. Qualité des eaux de ruissellement urbaines; EPFL: Lausanne, Switzerland, 1998. [Google Scholar] [CrossRef]
- Ort, C.; Gujer, W. Sampling for representative micropollutant loads in sewer systems. Water Sci. Tech. 2006, 54, 169–176. [Google Scholar] [CrossRef]
- Rossi, L.; Rumley, L.; Ort, C.; Minkkinen, P.; Barry, D.A.; Chèvre, N. Samplinghelper a web-based tool to assess the reliability of sampling strategies in sewers and receiving waters. Water Sci. Tech. 2011, 63, 2975–2982. [Google Scholar] [CrossRef] [PubMed]
- Shelley, P.E. Sampling of Water and Wastwater; Environmental Protection Agency, PB-272 664: Cincinnati, OH, USA, 1977.
- Becouze, C. Caractérisation et estimation des flux de substances prioritaires dans les rejets urbains par temps de pluie sur deux bassins versants expérimentaux; INSA: Lyon, France, 2010. [Google Scholar]
- Dembélé, A. MES, DCO et polluants prioritaires des rejets urbains de temps de plui: Mesure et modélisation des flux événementiels; INSA: Lyon, France, 2010. [Google Scholar]
- Sandoval, S.; Bertrand-Krajewski, J.-L.; Caradot, N.; Hofer, T.; Gruber, G. Performance and uncertainties of TSS stormwater sampling strategies from online time series. Water Sci. Tech. 2018, 78, 1407–1416. [Google Scholar] [CrossRef]
- Brombach, H.; Fuchs, S. Datenpool gemessener Verschmutzungskonzentrationen in Misch- und Trennkanalisationen. Korrespondenz Abwasser 2003, 50, 441–450. [Google Scholar]
- Fuchs, S.; Brombach, H.; Weiss, G. New database on urban runoff pollution. In Proceedings of the Novatech Conference, Lyon, France, 6–10 June 2004; pp. 145–152. [Google Scholar]
- Tobiszewski, M.; Namieśnik, J. PAH diagnostic ratios for the identification of pollution emission sources. Environ. Pollut. 2012, 162, 110–119. [Google Scholar] [CrossRef] [PubMed]
- Bartolomé, L.; Etxebarria, N.; Alonso, M.; Navarro, P.; Ortiz-Zarragoitia, M. A chemical and biological approach to phthalates contamination in two estuaries from the basque coast (Bay of Biscay): Levels, distribution and biomarker responses. In Phthalates: Chemical Properties, Impacts on Health and the Environment; Moretti, G.L., Romano, D., Eds.; Nova Science Publishers: Hauppauge, NY, USA, 2012; pp. 61–86. [Google Scholar]
- Bucheli, T.; Müller, S.; Voegelin, A.; Schwarzenbach, R. Bituminous Roof Sealing Membranes as Major Sources of the Herbicide (R,S)-Mecoprop in Roof Runoff Waters: Potential Contamination of Groundwater and Surface Waters. Environ. Sci. Tech. 1998, 32, 3465–3471. [Google Scholar] [CrossRef]
- UBA. Phthalate—Die nützlichen Weichmacher mit den unerwünschten Eigenschaften; Umweltbundesamt: Dessau-Roßlau, Germany, 2007; p. 24. Available online: https://www.umweltbundesamt.de/sites/default/files/medien/publikation/long/3540.pdf (accessed on 7 May 2021).
- OGewV, Verordnung zum Schutz der Oberflächengewässer (Oberflächengewässerverordnung—OGewV). Bundesgesetzblatt Nr. 28. 2016. pp. 1373–1443. Available online: https://www.gesetze-im-internet.de/ogewv_2016/OGewV.pdf (accessed on 7 May 2021).
- Wenzel, A.; Schlich, K.; Shemotyuk, L.; Nendza, M. Revision der Umweltqualitätsnormen der Bundes-Oberflächengewässerverordnung nach Ende der Übergangsfrist für Richtlinie 2006/11/EG und Fortschreibung der europäischen Umweltqualitätsziele für prioritäre Stoffe. In Texte 47/2015; Umweltbundesamt (UBA): Oberried, Germany, 2015. Available online: https://www.umweltbundesamt.de/publikationen/revision-der-umweltqualitaetsnormen-der-bundes (accessed on 7 May 2021).
- Carvalho, R.N.; Arukwe, A.; Ait-Aissa, S.; Bado-Nilles, A.; Balzamo, S.; Baun, A.; Belkin, S.; Blaha, L.; Brion, F.; Conti, D.; et al. Mixtures of chemical pollutants at European legislation safety concentrations: How safe are they? Toxicol. Sci. 2014, 141, 218–233. [Google Scholar] [CrossRef] [PubMed]
Publisher’s Note: MDPI stays neutral with regard to jurisdictional claims in published maps and institutional affiliations. |
© 2021 by the authors. Licensee MDPI, Basel, Switzerland. This article is an open access article distributed under the terms and conditions of the Creative Commons Attribution (CC BY) license (https://creativecommons.org/licenses/by/4.0/).