A Thermal Effect Model for the Impact of Vertical Groundwater Migration on Temperature Distribution of Layered Rock Mass and Its Application
Abstract
1. Introduction
2. Model Establishment
2.1. One-Dimensional Geothermal Field of Homogeneous Rock Mass
2.2. One-Dimensional Geothermal Field of Stratified Rock Mass
- (1)
- The temperature of each layer in the Tc-type temperature field of the upper m layer is expressed as
- (2)
- The temperature of each layer in the Tcc-type temperature field in the middle layer j is expressed as follows:
- (3)
- The temperature of each stratum in the Tc-type temperature field in the lower n-m-j layer is expressed as follows:
3. Parameter Analysis
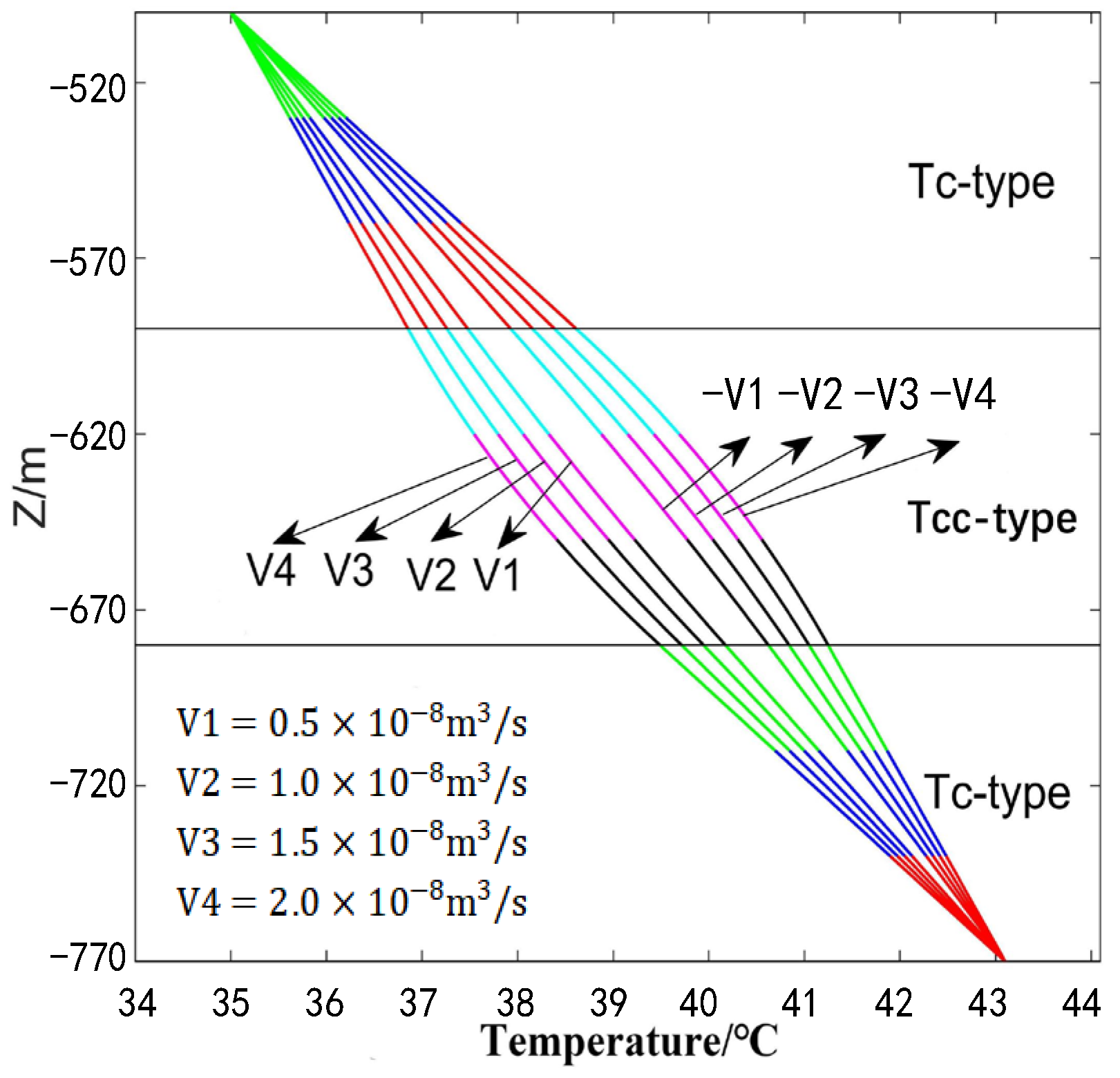
3.1. Effect of Seepage Velocity on Geothermal Field
3.2. Effect of Thermal Conductivity of Rock on Temperature Field
4. Case Study
5. Conclusions
- (1)
- The calculation equations for ground temperature distribution in layered strata were derived, which could be employed to calculate the variation of ground temperature caused by vertical seepage of geothermal water and the thermal conductivity of surrounding rocks at any location under the actual geological formations. The parameters required in the calculation equations are easily accessible, and the calculation results are highly accurate as the equations fully consider the factors in actual scenarios.
- (2)
- In the present work, the geothermal heat transfer patterns in the Tc-type and Tcc-type strata in stratified rock masses were summarized. In the Tc-type strata, the ground temperature was mainly affected by the thermal conductivity of the rock; higher thermal conductivity of the rock led to smaller variations of the ground temperature, while lower conductivity led to larger variations of the ground temperature, and the temperature curve resembled a broken line. In the Tcc-type-type strata, the ground temperature was mainly subject to the vertical seepage of geothermal water; the ground temperature curve was convex when the seepage was upward, but concave when the seepage was downward, and the curvature of the curve grew as the seepage velocity increased. In addition, different from the homogeneous model in which the ground temperature curves were straight lines, the layered model fully showed the geothermal variations caused by the difference of thermal conductivity of the rock mass.
- (3)
- Application of the model to a study case showed that the difference between ground temperature obtained by modeling and the measured temperature was less than 0.2 °C, the maximum geothermal gradient error was only 0.03 °C/100 m, and the curve fitting degree was high, indicating that the geothermal transfer model of stratified rock masses proposed in this study can appropriately identify the Tc-type and Tcc-type regions in the temperature curve in actual stratified formations. Moreover, the groundwater seepage velocity in the Tcc-type region can be obtained by reverse calculation. The research result is envisioned to provide a geological basis for further development of geothermal water resources.
Author Contributions
Funding
Institutional Review Board Statement
Informed Consent Statement
Data Availability Statement
Conflicts of Interest
References
- Cao, Y.F. Geothermal will become a competitive new energy. Chin. Energy 2015, 11, 102–105. [Google Scholar]
- Li, T.L.; Zhu, J.L.; Xin, S.L.; Zhang, W. A novel geothermal system combined power generation, gathering heat tracing, heating/domestic hot water and oil recovery in an oilfield. Geothermics 2014, 51, 388–396. [Google Scholar] [CrossRef]
- Li, T.L.; Liu, Q.H.; Xu, Y.; Dong, Z.X.; Meng, N.; Jia, Y.N.; Qin, H.S. Techno-economic performance of multi-generation energy system driven by associated mixture of oil and geothermal water for oilfield in high water cut. Geothermics 2021, 89, 101991. [Google Scholar] [CrossRef]
- Pang, Z.H.; Luo, J.; Cheng, Y.Z.; Duan, Z.F.; Tian, J.; Kong, Y.L.; Li, Y.M.; Hu, S.B.; Wang, J.Y. Evaluation of geological conditions for deep geothermal energy exploitation in China. Chin. Geosci. Front. 2020, 27, 134–151. [Google Scholar]
- Jaeger, J.K.; Carslaw, H.S. Conduction of Heat in Solids, 2nd ed.; Oxford Press: London, UK, 1959. [Google Scholar]
- Bredehoeft, J.D.; Papadopulos, I.S. Rates of vertical groundwater movement estimated from the Earth’s thermal profile. Water Resour. Res. 1965, 1, 325–328. [Google Scholar] [CrossRef]
- Sorey, M. Measurement of vertical groundwater velocity from temperature profiles in wells. Water Resour. Res. 1971, 7, 963–970. [Google Scholar] [CrossRef]
- Bodvarsson, G.S.; Benson, S.M.; Witherspoon, P.A. Theory of the development of geothermal systems charged by vertical faults. J. Geophys. Res. Solid Earth 1982, 87, 9317–9328. [Google Scholar] [CrossRef]
- Application of Finite Element Method in Geothermal Research; Institute of Geology, Chinese Academy of Sciences: Beijing, China, 1984.
- Lu, N.; Ge, S.M. Effect of horizontal heat and fluid flow on the vertical temperature distribution in a semiconfining layer. Water Resour. Res. 1996, 32, 1449–1453. [Google Scholar] [CrossRef]
- Xu, H.H.; Xiong, L.P.; Wang, J.Y. Study on mathematical Model of thermal effect of vertical fluid migration. Chin. Geol. Rev. 2000, 46 (Suppl. 1), 266–268. [Google Scholar]
- Liu, C.J.; Chen, J.S.; Bai, L.L.; Dong, H.Z.; Chen, L. Calculation and Distribution characteristics of vertical permeability Coefficient of thermal conductivity—Convection type temperature field in fractured rock mass. Chin. J. Rock Mech. Eng. 2007, 4, 780–786. [Google Scholar]
- Gong, H.; Zhu, C.Q.; Xu, M.; Guo, T.L.; Yuan, Y.S.; Lu, Q.Z.; Hu, S.B. The direction of underground water flow and oil and gas storage Conditions based on the temperature measurement curve of drilling—A case study of Dingshan No.1 well in southeastern Sichuan. Chin. Geol. Sci. 2010, 45, 853–862. [Google Scholar]
- Lv, X.; Liu, Y. Characteristics of geothermal distribution and its influencing factors in an jiazhuang well field. Chin. Coal Technol. 2020, 39, 105–108. [Google Scholar]
- Wang, Z.T.; Zhang, C.; Jiang, G.Z.; Hu, J.; Tang, X.C.; Hu, S.B. Current Geothermal field characteristics and genesis mechanism in Xiongan New Area. Chin. J. Earth Phys. 2019, 62, 4313–4322. [Google Scholar]
- Wu, J.W.; Wang, G.T.; Zhai, X.R.; Zhang, W.Y.; Peng, T.; Bi, Y.S. Geothermal characteristics and geothermal resource evaluation in Huainan mining area. Chin. J. Coal Sci. 2019, 44, 2566–2578. [Google Scholar]
- Xu, Y.M.; Hao, W.H.; Fang, S.Q.; Cheng, L.Q.; Du, L.X.; Xie, W.; Nie, C.G. Characteristics and genesis of four geothermal anomalies in Hebei province. Chin. Geol. Bull. 2020, 1–15. Available online: https://kns.cnki.net/kcms/detail/11.4648.P.20201112.1015.002.html (accessed on 6 March 2021).
- Chen, M.X.; Zhang, J.M.; Xia, S.G. Finite element Simulation and case study of the relationship between wellhead water temperature and thermal reservoir temperature. Chin. J. Geosci. 1991, 26, 55–65. [Google Scholar]
- Pan, G.L. Characteristics and prospective zoning of geothermal resources in anhui province. Chin. J. Geol. Disasters Prev. 2011, 22, 130–134. [Google Scholar]
- Wu, H.Q.; Yang, Z.D.; Shu, S.; Cao, H. Geothermal resources distribution characteristics and suggestions for exploitation and utilization in Anhui province. Chin. J. Geol. 2016, 40, 171–177. [Google Scholar]
- Standardization Administration of the People’s Republic of China. Geological Prospecting Criteria for Geothermal Resources (GB/T 11615—2010); Standard Press of China: Beijing, China, 2010; pp. 3–45. [Google Scholar]
- Sun, Z.X.; Zhang, W.; Hu, B.Q. Features of heatflow and the geothermal field of the Qinshui Basin. Chin. J. Geophys. 2006, 49, 130–134. [Google Scholar] [CrossRef]
- Zhang, P.; Wang, L.S.; Liu, S.W. Geothermal field in the South Huabei Basins. Chin. Prog. Geophys. 2007, 22, 604–608. [Google Scholar]








| Temperature Field | Layer | Thickness (m) | Thermal Conductivity k (W·(m·°C)−1) | Aquifer Location |
|---|---|---|---|---|
| Tc-type | 1 | 30 | 2.0 | Water-resisting layer |
| 2 | 30 | 2.0 | ||
| 3 | 30 | 2.0 | ||
| Tcc-type | 4 | 30 | 2.0 | Aquifer |
| 5 | 30 | 2.0 | ||
| 6 | 30 | 2.0 | ||
| Tc-type | 7 | 30 | 2.0 | Water-resisting layer |
| 8 | 30 | 2.0 | ||
| 9 | 30 | 2.0 |
| Layer | 1 | 2 | 3 | 4 | 5 | 6 | 7 | 8 | 9 | Variance | |
|---|---|---|---|---|---|---|---|---|---|---|---|
| Scheme | Thermal Conductivity k (W·(m·°C)−1) | ||||||||||
| 1 | 4.1 | 3.7 | 3.3 | 2.9 | 2.5 | 2.1 | 1.7 | 1.3 | 0.9 | 1.07 | |
| 2 | 3.3 | 3.1 | 2.9 | 2.7 | 2.5 | 2.3 | 2.1 | 1.9 | 1.7 | 0.27 | |
| 3 | 2.5 | 2.5 | 2.5 | 2.5 | 2.5 | 2.5 | 2.5 | 2.5 | 2.5 | 0.00 | |
| 4 | 1.7 | 1.9 | 2.1 | 2.3 | 2.5 | 2.7 | 2.9 | 3.1 | 3.3 | 0.27 | |
| 5 | 0.9 | 1.3 | 1.7 | 2.1 | 2.5 | 2.9 | 3.3 | 3.7 | 4.1 | 1.07 | |
| (A) Hole XLZM1 at Guqiao Mine | |||||||||||||||
| Formation | Permian | Carboniferous | Ordovician | Cambrian | |||||||||||
| Thickness (m) | 40 | 18 | 31 | 24 | 18 | 27 | 57 | 31 | 70 | 46 | 18 | 38 | 90 | 85 | 107 |
| Thermal conductivity | 1.95 | 1.81 | 1.92 | 1.98 | 1.95 | 2.25 | 1.71 | 1.40 | 2.23 | 2.35 | 1.45 | 2.34 | 2.34 | 2.35 | 2.34 |
| (B) Hole 16-11 at Dingji Mine | |||||||||||||||
| Formation | Permian | Carboniferous | |||||||||||||
| Thickness (m) | 46 | 51 | 38 | 45 | 12 | 42 | 24 | 30 | 33 | 99 | |||||
| Thermal conductivity | 2.80 | 2.75 | 1.92 | 1.80 | 1.82 | 1.80 | 1.95 | 1.75 | 1.30 | 2.35 | |||||
| Location | Upper Boundary | Lower Boundary | Aquifer | |||||
|---|---|---|---|---|---|---|---|---|
| Boreholes | Elevation H0 (m) | Temperature T0 (°C) | Elevation Hn (m) | Temperature Tn (°C) | Porosity n | Fluid Density ρ (kg/m3) | Specific Heat Capacity Cw (J/(kg·°C)) | |
| XLZM1 | −800 | 41.8 | −1500 | 61.1 | 0.13 | 1000 | 4200 | |
| 16-11 | −600 | 34.9 | −1020 | 50.5 | 0.12 | 1000 | 4200 | |
| Aquifer | Seepage Velocity (m3/s) | Interface Elevation (m) | |||
|---|---|---|---|---|---|
| Boreholes | Carboniferous | Ordovician | Cambrian | ||
| XLZM1 | −0.70 × 10−8 | −1.35 × 10−8 | −0.60 × 10−8 | −1020 | |
| 16-11 | −0.75 × 10−8 | / | / | −890 | |
Publisher’s Note: MDPI stays neutral with regard to jurisdictional claims in published maps and institutional affiliations. |
© 2021 by the authors. Licensee MDPI, Basel, Switzerland. This article is an open access article distributed under the terms and conditions of the Creative Commons Attribution (CC BY) license (https://creativecommons.org/licenses/by/4.0/).
Share and Cite
Lu, H.; Zhang, Y.; Zhang, G.; Zhang, M. A Thermal Effect Model for the Impact of Vertical Groundwater Migration on Temperature Distribution of Layered Rock Mass and Its Application. Water 2021, 13, 1285. https://doi.org/10.3390/w13091285
Lu H, Zhang Y, Zhang G, Zhang M. A Thermal Effect Model for the Impact of Vertical Groundwater Migration on Temperature Distribution of Layered Rock Mass and Its Application. Water. 2021; 13(9):1285. https://doi.org/10.3390/w13091285
Chicago/Turabian StyleLu, Haifeng, Yuan Zhang, Guifang Zhang, and Manman Zhang. 2021. "A Thermal Effect Model for the Impact of Vertical Groundwater Migration on Temperature Distribution of Layered Rock Mass and Its Application" Water 13, no. 9: 1285. https://doi.org/10.3390/w13091285
APA StyleLu, H., Zhang, Y., Zhang, G., & Zhang, M. (2021). A Thermal Effect Model for the Impact of Vertical Groundwater Migration on Temperature Distribution of Layered Rock Mass and Its Application. Water, 13(9), 1285. https://doi.org/10.3390/w13091285
