Next Article in Journal
Economic Sustainability of Small-Scale Hydroelectric Plants on a National Scale—The Italian Case Study
Previous Article in Journal
Framework for the Integrated Sustainability Assessment of Irrigation with Marginal Water
 
 
Font Type:
Arial Georgia Verdana
Font Size:
Aa Aa Aa
Line Spacing:
Column Width:
Background:
Article

Pinhole Multistep Centrifuge Outflow Method for Estimating Unsaturated Hydraulic Properties with Small Volume Soil Samples

Graduate School of Environmental and Life Science, Okayama University, Okayama 700–8530, Japan
*
Author to whom correspondence should be addressed.
Water 2021, 13(9), 1169; https://doi.org/10.3390/w13091169
Submission received: 21 March 2021 / Revised: 17 April 2021 / Accepted: 21 April 2021 / Published: 23 April 2021
(This article belongs to the Section Hydrology)

Abstract

If soil hydraulic conductivity or water holding capacity could be measured with a small volume of samples, it would benefit international fields where researchers can only carry a limited amount of soils out of particular regions. We performed a pinhole multistep centrifuge outflow method on three types of soil, which included granite decomposed soil (Masa soil), volcanic ash soil (Andisol soil), and alluvial clayey soil (paddy soil). The experiment was conducted using 2 mL and 15 mL centrifuge tubes in which pinholes were created on the top and bottom for air intrusion and outflow, respectively. Water content was measured at 5, 15, and 30 min after applying the centrifuge to examine the equilibrium time. The results showed that pinhole drainage worked well for outflow, and 15 or 30 min was sufficient to obtain data for each step. Compared with equilibrium data, the retention curve was successfully optimized. Although the curve shape was similar, unsaturated hydraulic conductivities deviated largely, which implied that Ks caused convergence issues. When Ks was set as a measured constant, the unsaturated hydraulic properties converged well and gave excellent results. This method can provide soil hydraulic properties of regions where soil sampling is limited and lacks soil data.

Graphical Abstract

1. Introduction

Soil water is involved in many processes occurring under unsaturated conditions [1]. It is considered as the exchange agent underground and the crucial driving agent for transporting substances between the groundwater and atmosphere through the soil profile. The unsaturated region, known as the vadose zone, is involved in the complexity of time-dependent, chemical, biological, and nonlinear physical processes, including interactions with atmosphere and groundwater [2]. The water and solute movement rates in the vadose zone are influenced by both soil water retention function (θ(h)) and hydraulic conductivity (K) as a function of water content (θ) or soil water potential head (h); thus, impacting the transport time of contaminants to the groundwater [3,4,5]. Additionally, hydraulic conductivity function plays an essential role in the interrelationship between the source of moisture/nutrients to plant roots, and water/solute transport beyond the root zone [1]. Therefore, understanding and determining physical characteristics such as water retention and hydraulic conductivity functions of the vadose zone have great significance for soil science and would support the design of productive soil activities [6,7].
Many methods have been designed to determine soil water functions that fulfill the scientific knowledge demand. In-situ methods have some demerits due to the lack of precise knowledge of aquifer geometry and hydraulic boundaries, as well as the high cost of field operations and construction [4,5,8]. However, the results of in-situ methods are more represented in the field conditions. Laboratory experiments divided into direct and indirect methods are generally preferred because of the flexible initial and boundary conditions, even though they have some limitations in sampling size [4,5,9].
Regarding the laboratory methods, direct methods are quite tedious and require restrictive initial and boundary conditions [4,5]. Moreover, they are time-consuming and require expensive experimental setups [4,5,6,10,11] because of highly nonlinear factors, which pose a challenge for reaching several steady-state stages or equilibrium states [4,5]. Therefore, faster and easier techniques are continually being explored [12,13].
Indirect methods, including the inverse method, have been increasingly adopted to estimate soil hydraulic properties because a much shorter experimental time than steady-state methods is required. Additionally, both the soil water retention and the unsaturated hydraulic conductivity function can be simultaneously estimated from a single transient experiment by an inverse solution [3,12]. Indirect methods generally employ the parameter estimation technique which correlates with the indirect estimation of soil hydraulic functions by the numerical method of the equation managing the flow process, which is complied with the enforced boundary conditions. For example, integration along the soil water retention curve offers the amount of soil water quantity, which can then be applied to estimate the soil hydraulic conductivity [6]. One- or multistep-transient outflow and soil water pressure data [4,5], one–step centrifuge outflow [3,14], and multistep centrifuge outflow [13,15] were used to estimate hydraulic properties of the soils. Needless to say, optimized unsaturated hydraulic conductivity functions determined from soil core samples do not necessarily represent in-situ soil hydraulic properties [4,5].
Among the indirect laboratory methods, the centrifuge method is powerful and versatile in terms of the following:
  • The centrifuge force is easily reproducible and changeable simply by setting the centrifuge speed:
  • Since centrifuge force is expressed as the square of rotational speed, the force can correspond to a vast range of K values with the same equipment and implementation technique:
  • The centrifuge apparatus requires no accessories such as regulators, valves, transducers, complicated plumbing, and no porous plate is needed;
  • Power boundary is restricted within the centrifuge apparatus;
  • Overburden stress can be simulated by centrifugal force as it develops the driving force because of its effectiveness on all components of the medium [16,17].
Šimůnek and Nimmo [13] indicated that high-speed centrifuge methods are widely accepted in scientific and technical fields of soil sciences and environmental engineering. These methods have been used to measure soil water contents and saturated and unsaturated hydraulic properties over the last century, and they continue to develop in recent times [13]. Additionally, McCartney et al. [18] proved that the centrifuge permeameter was successfully implemented as a recent instrument to determine the unsaturated hydraulic characteristics of soils [18]. Developing centrifugal setups has been attempted in several studies [6,13,19,20]. However, steady-state centrifuge methods were generally not adopted for a considerable period of time, especially when unsaturated. They need to attain steady-state flow through the soil sample, hence, they require more time for interpreting the obtained data. Therefore, transient methods are adopted where the obtained soil hydraulic conductivity or soil water diffusivity is based on the time dependence of some aspects of the flow [6,13]. Thus far, these transient centrifuge methods have provided significant insights into the nature of unsaturated flow [13]. However, the problem of time consumption and the high expense of the methods were not solved thoroughly. For example, under steady–state conditions in a 1 g column infiltration test, 200 h were required to determine 20 points in the centrifuge permeameter versus 1800 h to achieve 2 points [6,10,18,21].
The issues were solved by combining experimental data using the one-step [22,23] or multi-step outflow methods [4,24,25] with a parameter estimation method frequently adopted to determine soil hydraulic parameters [12]. Pressure head and cumulative outflow data derived from the inverse simulation for laboratory determination of soil hydraulic functions using both one-step and multistep outflow experiments [4] yielded beneficial results. Furthermore, estimating soil hydraulic functions from the centrifuge transient flow experiments using the parameter optimization technique was conducted by Šimůnek and Nimmo [13], and it showed the excellent agreement of optimized results.
Another disadvantage of the traditional methods is the use of soil core cylinders with a standard volume of 100 mL. Although the soil core cylinders retain the original structure of soil samples, their large volumes are bulky and inconvenient when sampling abroad. Moreover, metal cylinders occupy most of the weight, which sometimes causes trouble when researchers attempt to export them to other countries.
In the 21st century, food production in Asian and African countries is crucial from a global perspective. However, soil water characteristics data for these areas are not adequate [26,27,28,29], although these characteristics do regulate water retention, infiltration, soil organic matter, gaseous exchanges, dynamics of nutrients, root penetration, and vulnerability to erosion [30]. This is partly because of the challenges faced by researchers in these countries, such as the limited amount of soil samples that can be exported, or instances where they were unable to carry soil samples out of these countries. In such cases, experiments need to be conducted in hotel rooms, or measurements need to be performed with a small volume of successfully imported samples. Therefore, it would be extremely beneficial to these regions if soil hydraulic conductivity or water holding capacity could be measured with a small volume of soil samples using low-cost equipment. Filling the data gap with a small amount of soil would help countries to understand water movement in their soils. Additionally, the soil water function data could become a database for other studies.
Therefore, we developed a simple and quick method to estimate the unsaturated hydraulic conductivity function from the cumulative multi-step outflow data. We employed 2 mL and 15 mL centrifuge tubes and pinhole drainage for a small and simple experiment. Centrifuge power was applied in 5 and 6 steps to 2 mL and 15 mL samples, respectively. A mini-centrifuge machine, usually used in biotechnology lab, was employed. van Genuchten’s model and HYDRUS 1D (PC-Progress, Prague, Czech Republic) were used for outflow optimization. Three types of air-dried soils were applied, which included decomposed granite soil (Masa soil), volcanic ash soil (Andisol soil), and alluvial clayey soils (paddy soil). The objectives of this study were to develop the pinhole centrifuge multi-step outflow method to estimate the unsaturated hydraulic conductivity and retention curve with a small volume of samples. The results would benefit regions with limited availability of hydraulic data.

2. Theory

When the centrifuge tube of a soil sample is at rest, water is evenly distributed along the tube. When the soil sample is centrifuged at a constant angular velocity, each soil particle is impacted, and water molecules move toward the outer edge until the process reaches a hydraulic equilibrium. Thus, the soil water content is lowest at the inner edge near the centrifuge center and largest at the outer edge.
For a tube that is centrifuged temporally at a constant angular velocity (ω), the centripetal force (F) impacting the water and soil particles is determined by the radius (r) from the center of the centrifuge (Figure 1) as expressed in the formula below [16,31]:
F   =   m r ω 2
where r is the radius of the rotation (cm); ω is the angular velocity (rads−1).
The energy could be expressed by the relationship between distance and force. In this case, the pressure head can be expressed as [31]:
m R R H r ω 2 d r = 1 2 m R H   2 R 2 ω 2 = m H R H 2 ω 2
m g h = m H R H 2 ω 2
h = H R H 2 ω 2 g
where h is the length from the middle to the bottom of the tube (cm); H is the length of the tube (cm); R is the length from the rotor center to the bottom of the tube (cm). This study used N (revolution per minute (rpm) unit instead of ω (as a function of N), and the gravitational acceleration was 981 cm/s2. Hence, the conversion formula is expressed as the following function:
h = H R H 2 2 π N 60 2 1 981
p F = l o g h = 2 l o g N + l o g H + l o g R H 2 4.95
We recorded the stepwise drainage process of the centrifuge method, assuming multi-step outflow experiments (Figure 2). In this experiment, pore water usually needs time to distribute along the soil profile because water pressure requires time to conduct through the profile. Centrifugal force, however, impacts every pore water molecule within the tubes at the instance of centrifuge application. Thus, centrifugal drainage is faster than pressure-plate outflow. At the equilibrium points, since the centrifuge method was also admitted as the retention curve measurement method, the water distribution was assumed to be the same as the pressure-plate method. Based on this, centrifuge data at the equilibrium points was assumed to satisfy the Richards equation. Therefore, equilibrium point data were used for the estimation of unsaturated hydraulic conductivity by employing HYDRUS 1D.
The experimental procedure was assumed to follow Richard’s equation. The measured cumulative centrifugal outflow and pore pressure head were expressed as time functions during monotonic draining from an initially saturated soil sample. The one-dimensional form, along with r direction, is taken to be positive downward and written as [3]:
θ t = r K h h r 1
where t is time (min), and h is pressure potential (cmH2O). The initial and boundary conditions for the system are given as:
h = h0(r),   t = 0,    RHrR
∂h/∂r = 1,   t > 0,    r = RH
h = hR, t > 0,    r = R
where r = R − H is taken at the top of the soil sample, r = R at the bottom of the centrifuge tube, and hR is the pressure head at the bottom of the centrifuge tube [3,14].
The soil water retention and unsaturated soil hydraulic properties were followed according to the expressions modified by Eching et al. [4,5]. The calculation of K(θ) using the inverse solution technique used the combination of van Genuchten’s θ(h) model (1980) with the pore-size distribution model of Mualem (1976) to yield unsaturated hydraulic function [4,5]:
S e = 1 + α h n m
S e = θ θ r θ s θ r
θ = θ r + θ s θ r 1 + α h n m  
K θ = K s S e   l 1 1 S e 1 / m   m 2
where Se is the effective saturation (0 < Se < 1); θr and θs (cm3·cm−3) are the residual and saturated water contents, respectively; Ks (cm·s−1) is the saturated hydraulic conductivity; α (cm−1), n, m (m = 1 − 1/n); and l (assumed to be = 0.5) are empirical parameters affecting the shape of the water retention curve.
At each step of the applied centrifugal force, the cumulative water content was calculated. The water contents and suction settings were the input data for the HYDRUS 1D v4.6 model to optimize saturated hydraulic conductivity (Ks), residue water content (θr), n, and α. Based on optimized parameters, the relationship between water retention function and hydraulic conductivity function was expressed as the van Genuchten’s model. The optimized results were compared with the equilibrium data and traditional pressure-plate method.

3. Materials and Methods

Decomposed granite soil (Masa soil), volcanic ash soil (Andisol soil), and alluvial clayey soil (paddy soil) were used in this study. They were selected based on particle distribution, such as sandy, loamy, and clayey soils. The characteristics of air-dried and 2 mm sieved soils were described in Table 1. Centrifuge tubes of 2 mL and 15 mL were used to observe the sample size effect.
Pinholes of diameters 0.35 mm and 0.4 mm were created at the top and bottom of the 2 mL centrifuge tubes. The hole on the top is for air intrusion, and the one at the bottom is for water outflow. The soil was filled into the tube up to the 2 mL mark and was slightly compacted. All the samples were saturated from the bottom by deionized water for 24 h. A mini high-speed centrifuge (MF-12000, AS ONE, Osaka, Japan) was used for conducting the 2 mL tube experiment. Samples were set at an inclined angle (Figure 2a), and thus centrifugal power vector and drainage line were different, which could be beneficial to avoid clogging at the drainage outlet. The applied centrifugal forces were 1000, 2000, 3000, 4000, and 5000 rpm, which are equivalent to 90, 360, 810, 1400, and 2250 cm H2O, respectively. The weight of the samples after saturation represented the zero-force step (0 cm H2O), and the subsequent steps were recorded to determine water storage at 5, 15, and 30 min. The experiments were conducted with the batch of six tubes of three soils based on the centrifugal time and size of pinholes, respectively. Soil samples were set symmetrically to meet the balance of the centrifuge (Figure 3a). After the final step (2250 cm H2O), the samples were dried in an oven at 105 °C for 24 h, and the dry soil weights were measured.
For the experiment using the 15 mL centrifuge tubes, 1 mm and 1.5 mm diameter pinholes were applied at the top and bottom of the tube. A small amount of cotton was placed at the bottom to prevent soil leakage from the sample when centrifuging. The soil was then filled into the tube up to the 15 mL mark and was slightly compacted. All the samples were also saturated from the bottom with deionized water. A laboratory centrifuge (LMC-3000, Biosan, Latvia) was used for centrifugal forces of 100, 300, 500, 800, 1000, and 1500 rpm, which are equivalent to 13, 121, 337, 862, 1346, and 3029 cm H2O, respectively. Samples were vertically set, and the sample holder arm swung toward the horizontal direction when the centrifuge power was applied. The weight of the sample after saturation represented the zero-force step (0 cm H2O), and the subsequent steps were recorded to determine water storage at 5, 15, and 30 min. The experiments were conducted with the batch of six tubes of three soils based on the centrifugal time regardless of pinhole sizes. The soil samples were symmetrically set up for each soil texture (Figure 3b). After the final step (3029 cm H2O), the samples were dried in an oven at 105 °C for 24 h, and the dry soil weights were measured.
HYDRUS 1D was employed to inversely solve the multi-step outflow process by parameter optimization. The software consists of a one-dimensional finite element model for simulating the soil water, heat, and solute movement in variably saturated porous media. The program numerically solves Richards’ equation for saturated−unsaturated water flow [13,15]. As described previously, we assumed that both the centrifuge and pressure plate methods gave the same equilibrium data points.

4. Results and Discussions

4.1. Pinhole Drainage

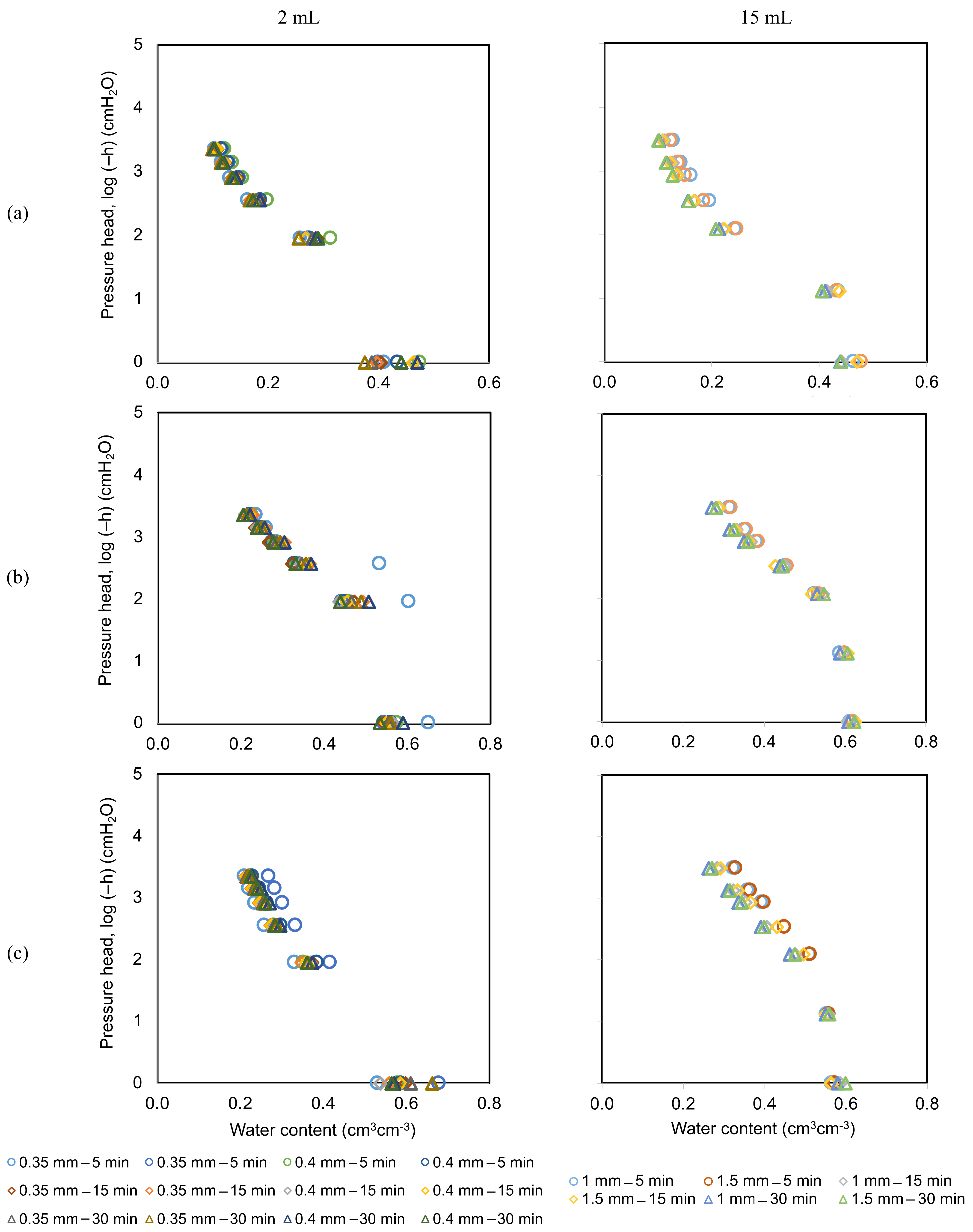
We used pinholes with diameters of 0.35 mm or 0.4 mm to ensure that the water would not drain under its own weight but would drain only when a centrifugal force is applied. In the 2 mL centrifuge tube, there was no significant difference in the drainage between the two tubes. The pinholes were screwed and whirled; hence, the risk of soil particle loss was small. In using a 2 mL centrifuge tube with a small sample weight, a 0.4 mm pinhole was sufficient for easy operation.
However, when the experiment was conducted using a 15 mL centrifuge tube with a 0.35 mm or 0.4 mm pinhole, the tube became clogged and could not drain. The centrifuge using a 15 mL centrifuge tube adds centrifugal force in a 180° horizontal position; thus, the force was concentrated near the drainage opening, which caused clogging. Therefore, in the 15 mL centrifuge tube, cotton was placed at the end of the drain to increase its cross-sectional area in the sample and avoid clogging. As cotton was used to prevent soil particle loss, pinholes of 1 mm or 1.5 mm were made for smooth drainage. Thus, the drainage experiments were conducted without clogging in a 15 mL centrifuge tube.
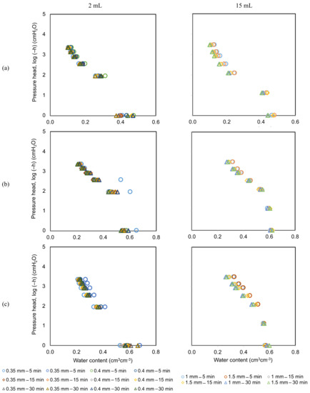
The results of the soil moisture characteristic curve and the optimization were not affected by the pinhole sizes within the samples of 2 mL and 15 mL (Figure 4), and the drainage by pinholes worked well as a test method.

4.2. Drainage Time to Equilibrium

Plotting the designed suction converted from the centrifugal force and the soil water content obtained after the experiment produced a curve similar to the soil water characteristic curve. Figure 4 showed that at 5 min, the drainage did not reach the final drainage level in some soils, however at 15 and 30 min, the water content was almost the same; thus, they were considered to have attained equilibrium.
The experiment was quicker than pressurized plate drainage, and if the unsaturated hydraulic conductivity is obtained properly after this step, it would be advantageous in field experiments with limited time or limited amount of soil. All water molecules were impacted and directly moved to the outlet allowing the water in an unsaturated sample to equilibrate faster with the centrifuge field than with the gravitational field [34]. Thus, the time for implementing the experiment under each forced step was reduced [31].
Analyses with a 5 and 15 min drainage step were also conducted to discuss the validity of the unsaturated hydraulic conductivity calculated as an unsteady flow inversion analysis. If the objective is to obtain soil water characteristics curves, then it is desirable to adopt the 30 min drainage step, which is considered as the equilibrium time.

4.3. Validation of Optimization

To evaluate the validity of the analysis, Figure 5 shows the comparison of the optimized soil moisture characteristic curves (lines) with the equilibrium data (triangles). Twelve curves were drawn for 2 mL and six for 15 mL centrifuge tubes, and most of the curves were drawn very close to the equilibrium data (triangles). The entire inverse analysis was considered to be successfully performed. However, a large deviation near saturation was observed, especially in the 2 mL centrifuge tube. The 2 mL centrifuge tube is small and enables quick experiments; however, it is necessary to pay attention to filling and saturation reproducibility. In addition, optimization using 15 and 30 min data converged properly with each other, though the 5 min data sometimes did not. Overall, the comparison between measured water content and optimized curve fit well.
We have also evaluated this method by comparing it with the traditional pressure-plate method (circle in Figure 5). These were obtained using 100mL core samples. For decomposed granite soil, both data corresponded well. For volcanic ash soil, there were curving shapes in the traditional method, which deviated from the pinhole centrifuge outflow method. This might be because volcanic ash soil has an innate aggregate structure. Nevertheless, overall, the data fits well when its small size is considered. For paddy soil, the 15mL tube data corresponded with each other, but the 2mL tube showed smaller water content than the traditional method. Although the reason is unclear, it might be emanating from the difference in methodology in that centrifuge worked all the water molecules in the tube, while the pressure plate method needed time to apply pressure on conduction based on hydraulic continuity. In all, the proposed method and traditional pressure plate method corresponded adequately.

4.4. Unsaturated Hydraulic Conductivity

The optimization of soil water storage and suction was conducted through experimentation. The optimization was performed at the actual set time of 5, 15, and 30 min; however, it was unsuccessful. The centrifugal method immediately applied centrifugal force to all water molecules in the sample, and the test proceeded quickly, although the Richards method employed pressure transfer to conduct water.
If we waited until equilibrium, the pressure plate method and the centrifugal method would have the same series of equilibrium points. Therefore, a sufficiently long time was set to reach equilibrium at each step in the calculation, assuming the adequate time required for equilibrium, thereby solving the multi-step outflow method. In the time close to equilibrium, water does not move much; therefore, the time could be shortened as long as the calculated value converges. This assumption is true for the 15 and 30 min drainage data; however, it may not be valid for the 5 min drainage data because equilibrium was not clearly attained. However, to evaluate a rapid experiment with limited time and place, availability of 5, 15, 30 min were all examined.
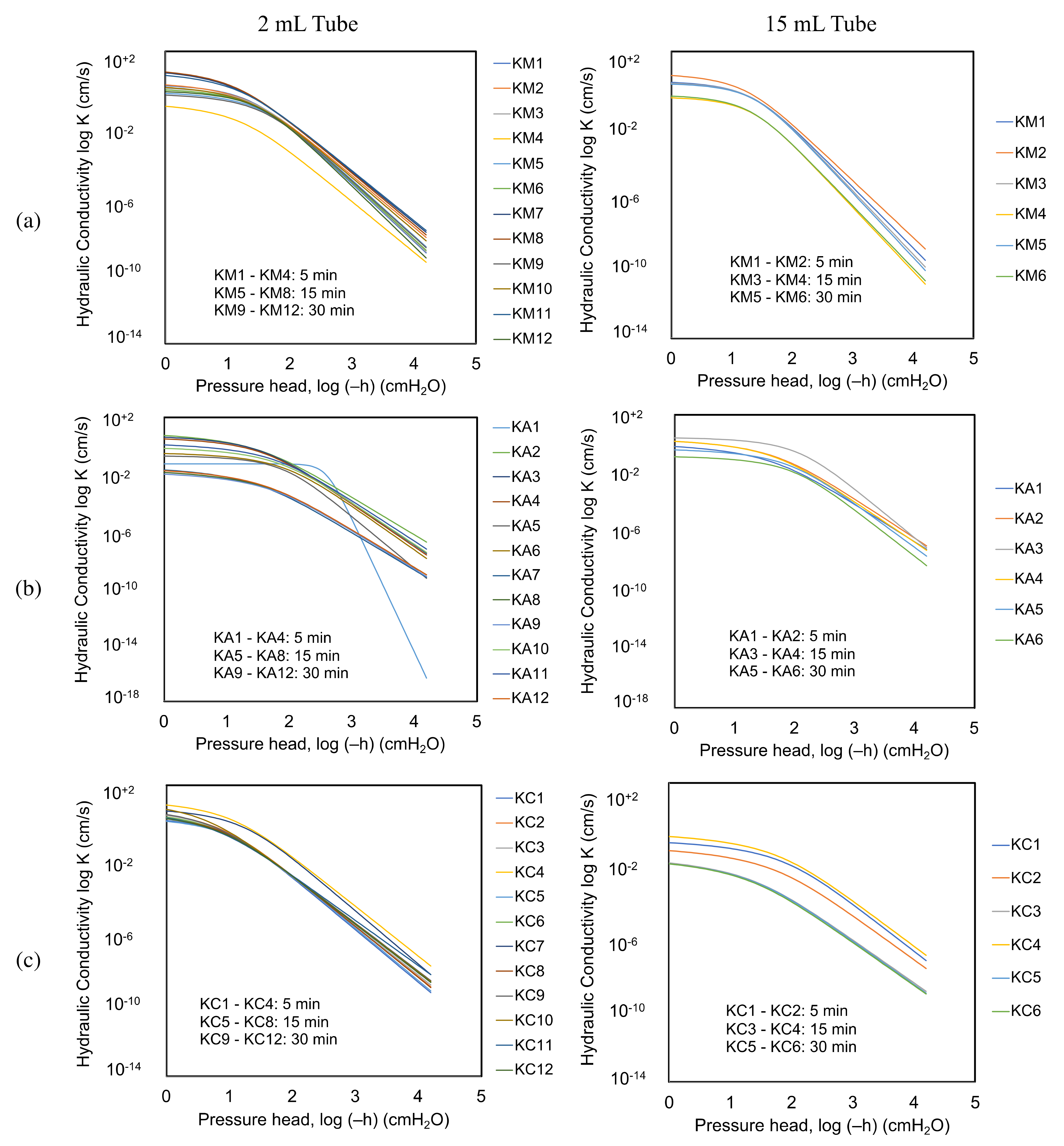
The results are depicted in Figure 6, showing the convergence of the data. Figure 7 shows the unsaturated hydraulic conductivity obtained in this case where α, n, θr, and Ks are variables. The 2 mL tube has a large variation in hydraulic conductivity, however, the variation of 15 mL is small and well integrated. A certain amount of drainage volume is required for optimization. Thus, the analysis is more reliable for the 15 mL tube than the 2 mL tube. As the shapes of the graphs in Figure 6 were similar to each other, there was no problem in estimating α, n, and θr. The major cause of the variation could be the effect of different starting points, especially for the Ks variable.
Therefore, the measured Ks of the soils in Table 1 was applied to the optimization as a fixed data, as shown in Figure 8 and Figure 9. The convergence was great, and the results were almost similar for both tubes.
Figure 6 and Figure 8, which depict the convergence of the suction, show that the shape of the curve leading to equilibrium was very different. Figure 6 shows the equilibrium curve with permeability as a variable and does not properly depict the curve shape, leading to equilibrium with drainage. Larger Ks lead to faster drainage and made it easier to reach equilibrium, resulting in an unnatural staircase shape with a sharp decrease in suction and almost no change to reach equilibrium. Contrarily, Figure 9 shows a smaller value of Ks as the measured value, and the shape of the curve leading to equilibrium (Figure 8) is more appropriate, especially for decomposed granite soils and alluvial clayey soils. Therefore, it would be better to measure Ks independently and use it as a constant value.
Part of the problem of the Ks variable might be attributed to the conductivity information for optimization. We could not measure water content or outflow volume during the high-speed rotation or place sensors because of the mini-scale of the measurement system. We used equilibrium point data for optimization. However, this meant we did not have information for drainage velocity over time. Therefore, measuring Ks independently would be a reasonable strategy for better optimization with this measurement system.
Another challenge would come from the compaction of soil samples under centrifugal force. Nimmo et al. [34] pointed out that compression can adjust the structure of the material to significantly impact K and water retention for fine-textured or lightly compacted media that showed higher values from the first step [34]. However, Nimmo and Akstin [34] also showed through modeling that the influence of initial compression by centrifugal force on unsaturated hydraulic conductivity is smaller than the impact of increasing levels of centrifugation [35]. The impact of compaction on the retention and unsaturated hydraulic conductivity curves is not well documented [14]. Therefore, it is necessary to conduct more experiments to elucidate the effects of compaction during centrifugation.
The final parameters are summarized in Table 2 and Table 3. In Table 2, the hydraulic conductivity fluctuated greatly, while α, n, and θr, which determine the shape of the curve, did not change significantly, indicating that it is reasonable to fix the hydraulic conductivity to give stability to the analysis. In Table 3, the RMSE is almost an order larger because Ks was fixed, however, as shown earlier, the analysis with fixed Ks gave more reasonable results for optimization in terms of the shape of the graph. In the case of volcanic ash and alluvial clay soils, which are relatively soft soils, α and n are larger, and θr is smaller for 2 mL, i.e., the data of 2 mL showed a tendency of having slightly lower water retention than that of 15 mL.
Two reasons could be responsible for this. As shown in Figure 5, the 15 mL tube data fit well with the pressure-plate method. The 2 mL data showed smaller water content which might be because of physical methodology differences. Centrifugal power worked all the water molecules and gave effective drainage without affected by hydraulic discontinuity. However, the 15 mL tube length was longer, thus, the drainage process might be similar to that of the pressure-plate method. Another reason might be that the 15 mL tube is more likely to clog because the centrifuge tube turns completely horizontal during the rotation, and the direction of centrifugal force and that of drainage coincide perfectly (Figure 2b). Thus, particle movements and clogging were likely to occur. On the other hand, the inclined setting of the 2 mL tube gave a different angle for centrifuge power and drainage line, which might avoid clogging and promote proper drainage. Further experiments are required to contribute to this knowledge field.

5. Conclusions

To develop a faster technique for estimating unsaturated hydraulic conductivity with a small amount of soil sample, the pinhole multistep centrifuge outflow experiment was conducted in 2 mL and 15 mL tubes, and the following conclusions were obtained:
  • A pinhole has successfully worked for water drainage to give a simple test tube design and 30 min drainage was sufficient for centrifuge drainage to reach equilibrium. Hence, 30 min data can also be used for the soil water retention curve.
  • Optimization was successful for α, n, and θr. However, optimized Ks values were found to deviate. When Ks was used as constant, optimization converged well and gave excellent results for unsaturated hydraulic conductivity optimization. Therefore, it would be better to measure Ks and use as a constant for optimization. Furthermore, 15 or 30 min drainage data can be used for transient outflow optimization. However, 5 min data gave some deviation from the standard drainage curve.
  • The 2 mL centrifuge tube needs careful soil packing and saturation to avoid deviation. Notably, the 2 mL tube did not clog and yielded fair results because the centrifuge vector was different from the inclined drainage line. The 15 mL tube resulted in stable data and optimization because of its larger size. However, care might be required to avoid clogging or particle movement because the horizontal centrifuge angle was the same for the drainage line.
  • When compared with the traditional pressure-plate method, the proposed method corresponded well and gave reasonable results.
To summarize, the pinhole-drainage centrifuge outflow method successfully gave hydraulic properties of soils with a very small volume of samples. We would not state that it was better than traditional laboratory methods. However, it provides valuable soil data for the field where soil sampling is limited and areas where experiments need to be conducted with limited time or no database is available.

Author Contributions

Conceptualization, Y.M.; methodology, L.T.B.; formal analysis, L.T.B.; experiment, L.T.B. and Y.M.; resources, Y.M.; writing—original draft preparation, L.T.B.; writing—review, editing, and supervision, Y.M.; funding acquisition, Y.M. All authors have read and agreed to the published version of the manuscript.

Funding

This work was partially supported by The Japan Society for the Promotion of Science, NEXT program (GS021, 2011–2014), KAKENHI (B) (26292127, 2014–2016), KAKENHI (B) (17H04484, 2017–2019), KAKENHI (A) (17H01496, 2017–2020) (21H04747, 2021–2024) and Sumitomo Foundation (Grant for Environmental Research Projects, 204008, 2020–2022).

Institutional Review Board Statement

Not applicable.

Informed Consent Statement

Not applicable.

Data Availability Statement

Not applicable.

Acknowledgments

We are grateful to T. Kurozumi, I. Kaida, K. Kishimoto, and Y. Yamamoto for their prototype experiment for this research.

Conflicts of Interest

The authors declare no conflict of interest.

References

  1. Hillel, D. Environmental Soil Physics; Academic Press: San Diego, CL, USA, 1998; pp. 203–204. [Google Scholar]
  2. Hopmans, J.W.; van Genuchten, M.T. Vadose zone: Hydrological Processes. In Encyclopedia of Soils in the Environment; Hillel, D., Ed.; Elsevier Ltd.: Oxford, UK, 2005; pp. 209–216. [Google Scholar]
  3. Nakajima, H.; Stadler, A.T. Centrifuge modeling of one–step outflow tests for unsaturated parameter estimations. Hydrol. Earth Syst. Sci. 2006, 10, 715–729. [Google Scholar] [CrossRef]
  4. Eching, S.O.; Hopmans, J.W. Optimization of Hydraulic Functions from Transient Outflow and Soil Water Pressure Data. Soil Sci. Soc. Am. J. 1993, 57, 1167–1175. [Google Scholar] [CrossRef]
  5. Eching, S.O.; Hopmans, J.W.; Wendroth, O. Unsaturated Hydraulic Conductivity from Transient Multistep Outflow and Soil Water Pressure data. Soil Sci. Soc. Am. J. 1994, 58, 687–695. [Google Scholar] [CrossRef]
  6. Singh, D.N.; Kuriyan, S.J. Estimation of hydraulic conductivity of unsaturated soils using a geotechnical centrifuge. Can. Geotech. J. 2002, 39, 684–694. [Google Scholar] [CrossRef]
  7. Rahardjo, H.; Lim, T.T.; Chang, M.F.; Fredlund, D.G. Shear–strength characteristics of a residual soil. Can. Geotech. J. 1995, 32, 60–77. [Google Scholar] [CrossRef]
  8. Ibrahim, M.M.; Aliyu, J. Comparison of Methods for Saturated Hydraulic Conductivity Determination: Field, Laboratory and Empirical Measurements (A Preview). Br. J. Appl. Phys. 2016, 15, 1–8. [Google Scholar] [CrossRef]
  9. Luthin, J. Method of measuring Soil Hydraulic Conductivity in situ. Nature 1961, 192, 383–384. [Google Scholar] [CrossRef]
  10. Di Emidio, G.; Peiffer, H.; Malengier, B.; Kison, P.; Bezuijen, A. Bench-scale centrifuge testing to determine the hydraulic conductivity clayey soils. In Proceedings of the 2nd European Conference on Physical Modelling in Geotechnics (EUROFUGE–2012), Delft, The Netherlands, 23–24 April 2012; Ghent University: Ghent, Belgium, 2012; pp. 1–10. [Google Scholar]
  11. Stephens, D.B. Vadose Zone Hydrology; Taylor & Francis Group: Boca Raton, FL, USA, 1996; pp. 18–22. [Google Scholar]
  12. Hopmans, J.W.; Šimůnek, J.; Romano, N.; Durner, W. Inverse modeling of transient water flow. In Methods of Soil Analysis, Part 1—Physical Methods; Dane, J.H., Topp, G.C., Eds.; John Wiley & Sons: Hoboken, NJ, USA, 2002; pp. 963–1008. [Google Scholar]
  13. Šimůnek, J.; Nimmo, J.R. Estimating soil hydraulic parameters from transient flow experiments in a centrifuge using parameter optimization technique. Water Resour. Res. 2005, 41. [Google Scholar] [CrossRef]
  14. van den Berg, E.H.; Perfect, E.; Tu, C.; Knappett, P.S.K.; Leao, T.P.; Donat, R.W. Unsaturated Hydraulic Conductivity Measurements with Centrifuges: A review. Vadose Zone J. 2009, 8, 531–547. [Google Scholar] [CrossRef]
  15. Simunek, J.; van Genuchten, M.T.; Sejna, M. The HYDRUS–1D Software Package for Simulating the Movement of Water, Heat, and Multiple Solutes in Variably Saturated Media, Version 4.17, HYDRUS Software Series 3; University of California Riverside: Riverside, CA, USA, 2013; p. 343. [Google Scholar]
  16. Alemi, M.H.; Nielsen, D.R.; Biggar, J.W. Determining the Hydraulic Conductivity of Soil Cores by Centrifugation. Soil Sci. Soc. Am. J. 1976, 40, 212–218. [Google Scholar] [CrossRef]
  17. Nimmo, J.R.; Mello, K.A. Centrifugal Techniques for Measuring Saturated Hydraulic Conductivity. Water Resour. Res. 1991, 27, 1263–1269. [Google Scholar] [CrossRef]
  18. McCartney, J.; Asce, A.M.; Zornberg, J.; Asce, M. Centrifuge Permeameter for Unsaturated Soils. I: Theoretical Basis and Experimental. J. Geotech. Geoenviron. 2010, 136, 1064–1076. [Google Scholar] [CrossRef]
  19. Ferno, M.A.; Bull, O.S.P.; Graue, A. Capillary pressures by fluid saturation profile measurements during centrifuge rotation. Transp. Porous Med. 2009, 80, 253–267. [Google Scholar] [CrossRef]
  20. Caputo, M.C.; Nimmo, J.R. Quasi-steady centrifuge method for unsaturated hydraulic properties. Water Resour. Res. 2005, 41, W11504. [Google Scholar] [CrossRef]
  21. Nimmo, J.R.; Stonestrom, D.A.; Akstin, K.C. The Feasibility of Recharge Rate Determinations Using the Steady-State Centrifuge Method. Soil Sci. Soc. Am. J. 1994, 58, 49–56. [Google Scholar] [CrossRef]
  22. Gardner, W.R. Calculation of capillary conductivity from pressure plate outflow data. Soil Sci. Soc. Am. Proc. 1956, 20, 317–320. [Google Scholar] [CrossRef]
  23. Kool, J.B.; Parker, J.C.; van Genuchten, M.T. Determining soil hydraulic properties from one–step outflow experiments by parameter estimation: I. Theory and numerical studies. Soil Sci. Soc. Am. J. 1985, 49, 1348–1354. [Google Scholar] [CrossRef]
  24. Durner, W.; Schultze, B.; Zurmühl, T. State-of-the-art in inverse modeling of inflow/outflow experiments. In Characterization and Measurement of the Hydraulic Properties of Unsaturated Porous Media; van Genuchten, M.T., Leij, F.J., Wu, L., Eds.; University of California: Riverside, CA, USA, 1999; pp. 661–681. [Google Scholar]
  25. van Dam, J.C.; Stricker, J.N.M.; Droogers, P. From One-Step to Multi-Step. Determination of Soil Hydraulic Functions by Outflow Experiments. 1990. Available online: http://edepot.wur.nl/216538 (accessed on 31 March 2020).
  26. FAO-Unesco. Soil Map of the World 1:5000000—Volume IX—Southeast Asia; The United Nations Educational, Scientific and Cultural Organization: Paris, France, 1979; pp. 1–2. [Google Scholar]
  27. Scipal, K.; Wagner, W.; Trommler, M.; Naumann, K. The global soil moisture archive 1992–2000 from ERS scatterometer data: First results. In Proceedings of the IEEE International Geoscience and Remote Sensing Symposium, Toronto, ON, Canada, 24–28 June 2002; Volume 3, pp. 1399–1401. [Google Scholar] [CrossRef]
  28. Lal, R. Restoring Soil Quality to Mitigate Soil Degradation. Sustainability 2015, 7, 5875–5895. [Google Scholar] [CrossRef]
  29. Dai, Y.; Shangguan, W.; Duan, Q.; Liu, B.; Fu, S.; Niu, G. Development of a China Dataset of Soil Hydraulic Parameters Using Pedotransfer Functions for Land Surface Modeling. J. Hydrometeorol. 2013, 14, 869–887. [Google Scholar] [CrossRef]
  30. Rabot, E.; Wiesmeier, M.; Schlüter, S.; Vogel, H.-J. Soil structure as an indicator of soil functions: A review. Geoderma 2018, 314, 122–137. [Google Scholar] [CrossRef]
  31. Mori, Y. Centrifuge method for measuring water retention properties of paddy soils with small volume samples. In Proceedings of the Japan Geoscience Union Meeting, Chiba, Japan, 20–24 May 2018. [Google Scholar]
  32. Sakikawa, K. Reproduction, Assessment and Optimum Design of Artificial Macropore Technique with HYDRUS–2D. Master’s Thesis, Okayama University, Okayama, Japan, March 2016. [Google Scholar]
  33. Mori, Y.; Kihara, Y.; Inoue, M.; Fukushima, A. Estimating unsaturated hydraulic conductivity of undisturbed Japanese soil by multistep outflow experiment. Trans. JSIDRE 2001, 213, 1–68. [Google Scholar]
  34. Nimmo, J.R.; Perkins, K.S.; Lewis, A.M. Steady–state centrifuge simultaneous determination of water transmission and retention properties. In Methods of Soil Analysis, Part 4—Physical Methods; Dane, J.H., Topp, G.C., Eds.; John Wiley & Sons: Hoboken, NJ, USA, 2002; pp. 903–916. [Google Scholar]
  35. Nimmo, J.R.; Akstin, K.C. Hydraulic conductivity of a sandy soil at low water content after compaction by various methods. Soil Sci. Soc. Am. J. 1988, 52, 303–310. [Google Scholar] [CrossRef]
Figure 1. The principle of centrifuge method [31].
Figure 1. The principle of centrifuge method [31].
Water 13 01169 g001
Figure 2. (a) Centrifuge power vector and drainage direction; (b) Traditional centrifuge outflow; (c) Descending pressure heads according to time.
Figure 2. (a) Centrifuge power vector and drainage direction; (b) Traditional centrifuge outflow; (c) Descending pressure heads according to time.
Water 13 01169 g002
Figure 3. Experimental setup for (a) 2 mL and (b) 15 mL tubes.
Figure 3. Experimental setup for (a) 2 mL and (b) 15 mL tubes.
Water 13 01169 g003
Figure 4. Experimental water content of 2 mL and 15 mL tubes (a) Decomposed granite soil (Masa soil); (b) Volcanic ash soil (Andisol soil); (c) Paddy soil (○: 5 min; ◇: 15 min; △: 30 min).
Figure 4. Experimental water content of 2 mL and 15 mL tubes (a) Decomposed granite soil (Masa soil); (b) Volcanic ash soil (Andisol soil); (c) Paddy soil (○: 5 min; ◇: 15 min; △: 30 min).
Water 13 01169 g004
Figure 5. Optimized water retention and measured 30-min water content of 2 mL and 15 mL tubes (a) Decomposed granite soil (Masa soil); (b) Volcanic ash soil (Andisol soil); (c) Paddy soil (△: equilibrium data; —: optimized data; ○: Pressure-plate method).
Figure 5. Optimized water retention and measured 30-min water content of 2 mL and 15 mL tubes (a) Decomposed granite soil (Masa soil); (b) Volcanic ash soil (Andisol soil); (c) Paddy soil (△: equilibrium data; —: optimized data; ○: Pressure-plate method).
Water 13 01169 g005
Figure 6. Optimized pressure head as extension time of 2 mL and 15 mL tubes: (a) Decomposed granite soil (Masa soil); (b) Volcanic ash soil (Andisol soil); (c) Paddy soil.
Figure 6. Optimized pressure head as extension time of 2 mL and 15 mL tubes: (a) Decomposed granite soil (Masa soil); (b) Volcanic ash soil (Andisol soil); (c) Paddy soil.
Water 13 01169 g006
Figure 7. Optimized hydraulic conductivity functions of 2 mL and 15 mL tubes: (a) Decomposed granite soil (Masa soil); (b) Volcanic ash soil (Andisol soil); (c) Paddy soil.
Figure 7. Optimized hydraulic conductivity functions of 2 mL and 15 mL tubes: (a) Decomposed granite soil (Masa soil); (b) Volcanic ash soil (Andisol soil); (c) Paddy soil.
Water 13 01169 g007
Figure 8. Optimized pressure head as extension time after setup of constant saturated hydraulic conductivity Ks of 2 mL and 15 mL tubes: (a) Decomposed granite soil (Masa soil); (b) Volcanic ash soil (Andisol soil); (c) Paddy soil.
Figure 8. Optimized pressure head as extension time after setup of constant saturated hydraulic conductivity Ks of 2 mL and 15 mL tubes: (a) Decomposed granite soil (Masa soil); (b) Volcanic ash soil (Andisol soil); (c) Paddy soil.
Water 13 01169 g008
Figure 9. Optimized hydraulic conductivity functions after setup of constant saturated hydraulic conductivity Ks of 2 mL and 15 mL tubes: (a) Decomposed granite soil (Masa soil); (b) Volcanic ash soil (Andisol soil); (c) Paddy soil.
Figure 9. Optimized hydraulic conductivity functions after setup of constant saturated hydraulic conductivity Ks of 2 mL and 15 mL tubes: (a) Decomposed granite soil (Masa soil); (b) Volcanic ash soil (Andisol soil); (c) Paddy soil.
Water 13 01169 g009
Table 1. The characteristics of the examined soils.
Table 1. The characteristics of the examined soils.
SoilMasa SoilAndisol SoilPaddy Soil
Soil TextureSandSilt LoamSilt Loam
Sand—Silt—Clay (%)90—10—025—65—1015—67—18
Bulk Density (g cm−3)1.450.981.15
Saturated Hydraulic Conductivity Ks (cm s−1)1.81 × 10−2 *9.72 × 10−3 **3.21 × 10−5 *
*: [32]; **: [33].
Table 2. Optimization results.
Table 2. Optimization results.
SizeTime for Centrifuge
(min)
Number of SampleKs
(cm/s)
αnθr
(cm3·cm−3)
RMSE
Masa soil
2 mL5410.8860.0301.4710.0610.003
15464.4740.0351.4520.0480.003
30425.3810.0271.4760.0460.004
15 mL5236.6910.0381.5950.1060.009
1528.9740.0331.7100.1000.010
3028.2910.0351.7060.0920.009
Andisol soil
2 mL545.4690.0142.0030.1270.016
1540.1670.0131.4070.0680.019
3040.6800.0121.3190.0250.012
15 mL522.4090.0131.2510.1080.020
1523.0540.0101.4240.1650.012
3020.3470.0071.4380.1550.018
Paddy soil
2 mL5473.8430.0801.3800.1750.005
15435.6820.0681.3980.1640.008
30489.9910.1111.3080.1400.016
15 mL520.5210.0091.2380.1170.017
1520.9930.0161.2040.0340.014
3020.0990.0241.1840.0010.021
Table 3. Optimization results (fixed Ks).
Table 3. Optimization results (fixed Ks).
SizeTime for Centrifuge
(min)
Number of SampleKs
(cm/s)
αnθr
(cm3·cm−3)
RMSE
Masa soil
2 mL541.81 × 10−20.0211.7150.0980.025
1541.81 × 10−20.0201.7520.0910.027
3041.81 × 10−20.0191.6750.0800.022
15 mL521.81 × 10−20.0241.8780.1250.036
1521.81 × 10−20.0231.9440.1090.030
3021.81 × 10−20.0241.9540.1010.030
Andisol soil
2 mL549.72 × 10−30.0131.5540.1690.026
1549.72 × 10−30.0101.4910.1230.029
3049.72 × 10−30.0101.4190.0920.022
15 mL529.72 × 10−30.0101.3730.2000.025
1529.72 × 10−30.0081.4900.2010.016
3029.72 × 10−30.0071.4520.1620.019
Paddy soil
2 mL543.21 × 10−50.0112.1520.2270.235
1543.21 × 10−50.0102.1670.2140.226
3043.21 × 10−50.0112.0950.2170.239
15 mL523.21 × 10−50.0051.6730.2860.062
1523.21 × 10−50.0061.7410.2570.082
3023.21 × 10−50.0071.7900.2470.107
Publisher’s Note: MDPI stays neutral with regard to jurisdictional claims in published maps and institutional affiliations.

Share and Cite

MDPI and ACS Style

Bui, L.T.; Mori, Y. Pinhole Multistep Centrifuge Outflow Method for Estimating Unsaturated Hydraulic Properties with Small Volume Soil Samples. Water 2021, 13, 1169. https://doi.org/10.3390/w13091169

AMA Style

Bui LT, Mori Y. Pinhole Multistep Centrifuge Outflow Method for Estimating Unsaturated Hydraulic Properties with Small Volume Soil Samples. Water. 2021; 13(9):1169. https://doi.org/10.3390/w13091169

Chicago/Turabian Style

Bui, Long Thanh, and Yasushi Mori. 2021. "Pinhole Multistep Centrifuge Outflow Method for Estimating Unsaturated Hydraulic Properties with Small Volume Soil Samples" Water 13, no. 9: 1169. https://doi.org/10.3390/w13091169

APA Style

Bui, L. T., & Mori, Y. (2021). Pinhole Multistep Centrifuge Outflow Method for Estimating Unsaturated Hydraulic Properties with Small Volume Soil Samples. Water, 13(9), 1169. https://doi.org/10.3390/w13091169

Note that from the first issue of 2016, this journal uses article numbers instead of page numbers. See further details here.

Article Metrics

Back to TopTop