Modeling a Three-Stage Biological Trickling Filter Based on the A2O Process for Sewage Treatment
Abstract
1. Introduction
2. Materials and Methods
2.1. Experimental Setup
2.2. Models
2.3. Working Conditions
2.4. Operating Parameters
3. Results and Discussion
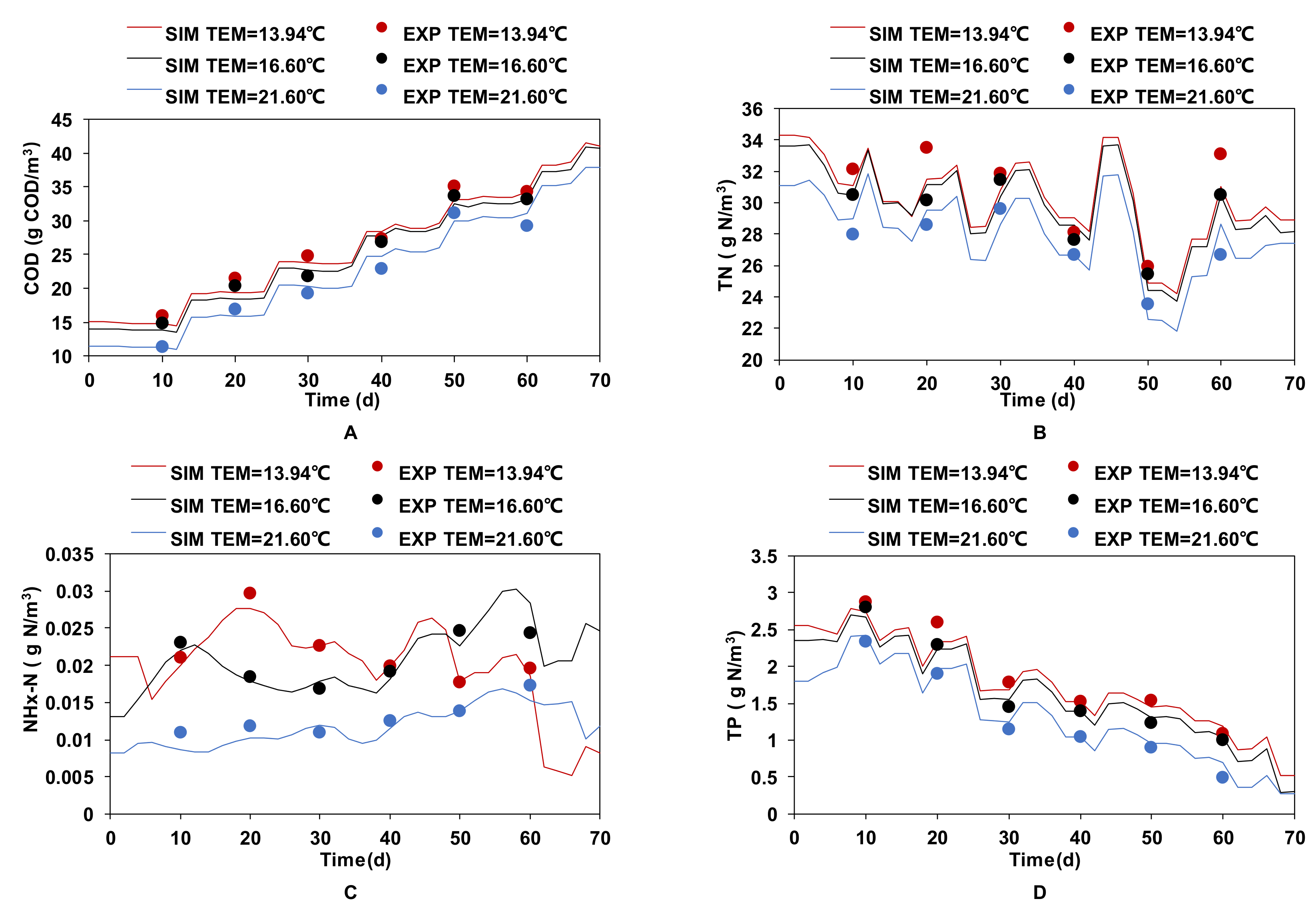
3.1. Modeling Verification and Process Comparison
3.2. The Influence of Temperature
3.3. The Influence of Dissolved Oxygen
3.3.1. The Influence of Dissolved Oxygen on the Effluent
3.3.2. The Effect of Dissolved Oxygen on Biomass
3.4. The Influence of the Reflux Ratio
3.4.1. The Influence of the Reflux Ratio on the Effluent
3.4.2. The Effect of the Mixed Liquor Reflux Ratio on Biomass
4. Conclusions
Author Contributions
Funding
Institutional Review Board Statement
Informed Consent Statement
Data Availability Statement
Acknowledgments
Conflicts of Interest
Abbreviations
| A2O | anaerobic–anoxic–oxic |
| ADM | anaerobic digestion model |
| AOB | ammonia-oxidizing bacteria |
| AS | activated sludge |
| ASM | activated sludge model |
| BOD | biochemical oxygen demand |
| BTF | biological trickling filter |
| COD | chemical oxygen demand |
| DO | dissolved oxygen |
| IFAS | integrated fixed-film activated sludge |
| IWA | International Water Association |
| MBBR | moving bed biofilm reactor |
| MLVSS | mixed liquid volatile suspended solids |
| NOB | nitrite-oxidizing bacteria |
| OHO | ordinary heterotrophic organism |
| PAO | polyphosphate accumulating bacteria |
| PN/A | partial nitrification anammox |
| RR | reflux ratio |
| SBR | sequence batch reactor |
| TN | total nitrogen |
| TP | total phosphorus |
| TKN | total Kjeldahl nitrogen |
| WWTP | wastewater treatment process |
References
- Ahn, J.H.; Kwan, T.; Chandran, K. Comparison of partial and full nitrification processes applied for treating high-strength nitrogen wastewaters: Microbial ecology through nitrous oxide production. Environ. Sci. Technol. 2011, 45, 2734–2740. [Google Scholar] [CrossRef]
- Gullicks, H.; Hasan, H.; Das, D.; Morretti, C.; Hung, Y.T. Biofilm Fixed Film Systems. Water 2011, 3, 843–868. [Google Scholar] [CrossRef]
- Ibrahim, S.; El-Liethy, M.A.; Abia, A.L.K.; Abdel-Gabbar, M.; Al-Zananty, A.M.; Kamel, M.M. Design of a bioaugmented multistage biofilter for accelerated municipal wastewater treatment and deactivation of pathogenic microorganisms. Sci. Total Environ. 2020, 703, 134786. [Google Scholar] [CrossRef]
- Li, J.; Jin, Y.; Guo, Y.; He, J. Enhancement of phosphorus removal in a low temperature A2/O process by anaerobic phosphorus release of activated sludge. Water Sci. Technol. 2013, 67, 2437–2443. [Google Scholar] [CrossRef] [PubMed]
- Pan, Z.; Zhou, J.; Lin, Z.; Wang, Y.; Zhao, P.; Zhou, J.; Liu, S.; He, X. Effects of COD/TN ratio on nitrogen removal efficiency, microbial community for high saline wastewater treatment based on heterotrophic nitrification-aerobic denitrification process. Bioresour. Technol. 2020, 301. [Google Scholar] [CrossRef] [PubMed]
- Golshan, M.; Jorfi, S.; Haghighifard, N.J.; Takdastan, A.; Ghafari, S.; Rostami, S.; Ahmadi, M. Development of salt-tolerant microbial consortium during the treatment of saline bisphenol A-containing wastewater: Removal mechanisms and microbial characterization. J. Water Process Eng. 2019, 32. [Google Scholar] [CrossRef]
- Ghosh, S.; Chakraborty, S. Influence of inoculum variation on formation and stability of aerobic granules in oily wastewater treatment. J. Environ. Manage. 2019, 248. [Google Scholar] [CrossRef] [PubMed]
- Ahmadi, M.; Ahmadmoazzam, M.; Saeedi, R.; Abtahi, M.; Ghafari, S.; Jorfi, S. Biological treatment of a saline and recalcitrant petrochemical wastewater by using a newly isolated halo-tolerant bacterial consortium in MBBR. Desalin. Water Treat. 2019, 167, 84–95. [Google Scholar] [CrossRef]
- Hodgson, B.; Sharvelle, S. Development of generalized empirical models for comparing effectiveness of wastewater nutrient removal technologies. Environ. Sci. Pollut. Res. 2019, 26, 27915–27929. [Google Scholar] [CrossRef]
- Ravishankar, H.; Moazzem, S.; Jegatheesan, V. Performance evaluation of A2O MBR system with graphene oxide (GO) blended polysulfone (PSf) composite membrane for treatment of high strength synthetic wastewater containing lead. Chemosphere 2019, 234, 148–161. [Google Scholar] [CrossRef]
- Yang, C.C.; Lu, M.S.; Dao, K.C.; Lin, J.W.; Chou, Y.H.; Tsai, Y.P. Comparison of the Influences of Cadmium Toxicity to Phosphate Removal in Activated Sludge Separately Fed by Glucose and Acetic Acid as Carbon Sources. Water 2020, 12, 1205. [Google Scholar] [CrossRef]
- Qian, M.; Yang, L.; Chen, X.; Li, K.; Xue, W.; Li, Y.; Zhao, H.; Cao, G.; Guan, X.; Shen, G. The treatment of veterinary antibiotics in swine wastewater by biodegradation and Fenton-like oxidation. Sci. Total Environ. 2020, 710, 136299. [Google Scholar] [CrossRef]
- Park, J.; Kim, C.; Hong, Y.; Lee, W.; Chung, H.; Jeong, D.H.; Kim, H. Distribution and Removal of Pharmaceuticals in Liquid and Solid Phases in the Unit Processes of Sewage Treatment Plants. Int. J. Env. Res. Public Health 2020, 17, 687. [Google Scholar] [CrossRef]
- Tao, C.; Hamouda, M.A. Steady-state modeling and evaluation of partial nitrification-anammox (PNA) for moving bed biofilm reactor and integrated fixed-film activated sludge processes treating municipal wastewater. J. Water Process Eng. 2019, 31, 100854. [Google Scholar] [CrossRef]
- Leyva-Diaz, J.C.; Monteoliva-Garcia, A.; Martin-Pascual, J.; Munio, M.M.; Garcia-Mesa, J.J.; Poyatos, J.M. Moving bed biofilm reactor as an alternative wastewater treatment process for nutrient removal and recovery in the circular economy model. Bioresour. Technol. 2020, 299. [Google Scholar] [CrossRef]
- Cramer, M.; Traenckner, J. Development of Decay in Biofilms under Starvation Conditions-Rethinking of the Biomass Model. Water 2020, 12, 1249. [Google Scholar] [CrossRef]
- Cramer, M.; Tranckner, J.; Kotzbauer, U. Kinetic of denitrification and enhanced biological phosphorous removal (EBPR) of a trickling filter operated in a sequence-batch-reactor-mode (SBR-TF). Environ. Technol. 2019, 10. [Google Scholar] [CrossRef]
- Naz, I.; Saroj, D.P.; Mumtaz, S.; Ali, N.; Ahmed, S. Assessment of biological trickling filter systems with various packing materials for improved wastewater treatment. Environ. Technol. 2015, 36, 424–434. [Google Scholar] [CrossRef]
- Akratos, C.S.; Tatoulis, T.I.; Tekerlekopoulou, A.G. Biotreatment of Winery Wastewater Using a Hybrid System Combining Biological Trickling Filters and Constructed Wetlands. Appl. Sci. 2020, 10, 619. [Google Scholar] [CrossRef]
- Diez-Montero, R.; Castrillo, M.; Casao, M.; Tejero, I. Model-based evaluation of a trickling filter facility upgrade to biological nutrient removal. Sci. Total Environ. 2019, 661, 187–195. [Google Scholar] [CrossRef]
- Aziz, S.Q.; Ali, S.M. Characterization of municipal and dairy wastewaters with 30 quality parameters and potential wastewater treatment by biological trickling filters. Int. J. Green Energy 2017, 14, 1156–1162. [Google Scholar] [CrossRef]
- Shahriari, T.; Shokouhi, M. Textile wastewater treatment using biological trickling filter with natural media in cold weather (case study: Motahari textile factory). Fresenius Environ. Bull. 2018, 27, 779–786. [Google Scholar]
- Zhang, X.; Wang, Y.; Zhong, Z.; Shao, Q.; Wang, Y.; Li, W. Bacterial complexes of Bacillus subtilis and Pseudomonas stutzeri alter the microbial composition in grass carp water. Aquacult. Int. 2019, 27, 303–312. [Google Scholar] [CrossRef]
- Yu, D.; Yang, J.; Fang, X.; Ren, H. Simultaneous efficient removal of high-strength ammonia nitrogen and chemical oxygen demand from landfill leachate by using an extremely high ammonia nitrogen-resistant strain. Biotechnol. Appl. Biochem. 2015, 62, 357–368. [Google Scholar] [CrossRef]
- Sekar, S.; Sivaprakasam, S.; Mahadevan, S. Investigations on ultraviolet light and nitrous acid induced mutations of halotolerant bacterial strains for the treatment of tannery soak liquor. Int. Biodeterior. Biodegrad. 2009, 63, 176–181. [Google Scholar] [CrossRef]
- Zhou, H.; Li, X.; Xu, G.; Yu, H. Overview of strategies for enhanced treatment of municipal/domestic wastewater at low temperature. Sci. Total Environ. 2018, 643, 225–237. [Google Scholar] [CrossRef]
- Gomez-Rios, D.; Ramirez-Malule, H.; Neubauer, P.; Junne, S.; Rios-Estepa, R. Degradation Kinetics of Clavulanic Acid in Fermentation Broths at Low Temperatures. Antibiotics 2019, 8, 6. [Google Scholar] [CrossRef]
- Kumwimba, M.N.; Zhu, B.; Wang, T.; Dzakpasu, M.; Li, X. Nutrient dynamics and retention in a vegetated drainage ditch receiving nutrient-rich sewage at low temperatures. Sci. Total Environ. 2020, 741. [Google Scholar] [CrossRef]
- Maurer, M.; Gujer, W. Dynamic modelling of enhanced biological phosphorus and nitrogen removal in activated sludge systems. Water Sci. Technol. 1998, 38, 203–210. [Google Scholar] [CrossRef]
- Gujer, W.; Henze, M.; Mino, T.; van Loosdrecht, M. Activated Sludge Model No. 3. Water Sci. Technol. 1999, 39, 183–193. [Google Scholar] [CrossRef]
- Watari, T.; Hata, Y.; Hirakata, Y.; Nguyet, P.N.; Nguyen, T.H.; Maki, S.; Hatamoto, M.; Sutani, D.; Setia, T.; Yamaguch, T. Performance evaluation of down-flow hanging sponge reactor for direct treatment of actual textile wastewater; Effect of effluent recirculation to performance and microbial community. J. Water Process Eng. 2021, 39, 8. [Google Scholar] [CrossRef]
- Abou-Elela, S.I.; Hellal, M.S.; Aly, O.H.; Abo-Elenin, S.A. Decentralized wastewater treatment using passively aerated biological filter. Environ. Technol. 2019, 40, 250–260. [Google Scholar] [CrossRef] [PubMed]
- Zeng, W.; Li, L.; Yang, Y.; Zhang, Y.; Peng, Y. Effect of nitrite accumulation on enhanced biological phosphorus removal (EBPR) in A2O process treating domestic wastewater. Huan Jing Ke Xue 2010, 31, 2105–2112. [Google Scholar] [PubMed]
- Makuwa, S.; Tlou, M.; Fosso-Kankeu, E.; Green, E. Evaluation of Fecal Coliform Prevalence and Physicochemical Indicators in the Effluent from a Wastewater Treatment Plant in the North-West Province, South Africa. Int. J. Env. Res. Public Health 2020, 17, 6381. [Google Scholar] [CrossRef]
- Cao, G.; Wang, S.; Peng, Y.; Miao, Z. Biological nutrient removal by applying modified four step-feed technology to treat weak wastewater. Bioresour. Technol. 2013, 128, 604–611. [Google Scholar] [CrossRef]
- Peng, Y.; Ge, S. Enhanced nutrient removal in three types of step feeding process from municipal wastewater. Bioresour. Technol. 2011, 102, 6405–6413. [Google Scholar] [CrossRef]
- Huisman, J.L.; Gujer, W. Modelling wastewater transformation in sewers based on ASM3. Water Sci. Technol. 2002, 45, 51–60. [Google Scholar] [CrossRef]
- Elawwad, A.; Zaghloul, M.; Abdel-Halim, H. Simulation of municipal-industrial full scale WWTP in an arid climate by application of ASM3. J. Water Reuse Desalin. 2017, 7, 37–44. [Google Scholar] [CrossRef]
- Otuzalti, M.M.; Perendeci, N.A. Modeling of real scale waste activated sludge anaerobic digestion process by Anaerobic Digestion Model 1 (ADM1). Int. J. Green Energy 2018, 15, 454–464. [Google Scholar] [CrossRef]
- Dereli, R.K.; Ersahin, M.E.; Ozgun, H.; Ozturk, I.; Aydin, A.F. Applicability of Anaerobic Digestion Model No. 1 (ADM1) for a specific industrial wastewater: Opium alkaloid effluents. Chem. Eng. J. 2010, 165, 89–94. [Google Scholar] [CrossRef]
- Baeten, J.E.; Batstone, D.J.; Schraa, O.J.; van Loosdrecht, M.C.M.; Volcke, E.I.P. Modelling anaerobic, aerobic and partial nitritation-anammox granular sludge reactors—A review. Water Res. 2019, 149, 322–341. [Google Scholar] [CrossRef]
- Seuntjens, D.; Han, M.; Kerckhof, F.M.; Boon, N.; Al-Omari, A.; Takacs, I.; Meerburg, F.; De Mulder, C.; Wett, B.; Boot, C.; et al. Pinpointing wastewater and process parameters controlling the AOB to NOB activity ratio in sewage treatment plants. Water Res. 2018, 138, 37–46. [Google Scholar] [CrossRef]
- Gazsó, Z.; Házi, F.; Kenyeres, I.; Váci, L. Full-scale wastewater treatment plant simulation for real-time optimization. Water Pract. Technol. 2017, 12, 848–856. [Google Scholar] [CrossRef]
- Chuang, H.; Ohashi, A.; Imachi, H.; Tandukar, M.; Harada, H. Effective partial nitrification to nitrite by down-flow hanging sponge reactor under limited oxygen condition. Water Res. 2007, 41, 295–302. [Google Scholar] [CrossRef]
- Watari, T.; Vazquez, C.L.; Hatamoto, M.; Yamaguchi, T.; van Lier, J.B. Development of a single-stage mainstream anammox process using a sponge-bed trickling filter. Environ. Technol. 2020. [Google Scholar] [CrossRef]
- Guillen, J.A.S.; Jayawardana, L.K.M.C.B.; Vazquez, C.M.L.; Cruz, L.M.O.; Brdjanovic, D.; van Lier, J.B. Autotrophic nitrogen removal over nitrite in a sponge-bed trickling filter. Bioresour. Technol. 2015, 187, 314–325. [Google Scholar] [CrossRef]
- Tian, X.; Guo, X.; Yuan, X. Effects of Influent Organic Loading on Removal of Nitrogen and Phosphorus from the Three Stage Bio-Trickling Filters. Environ. Engineer. 2017, 35, 29–34. [Google Scholar]
- Bai, X. The Optimization Research about the Operation of Wastewater Treatment Plant by Biowin Simulation Model. Master’s Thesis, Kunming University of Science and Technology, Kunming, China, 2016. [Google Scholar]
- Ge, S.; Wang, S.; Yang, X.; Qiu, S.; Li, B.; Peng, Y. Detection of nitrifiers and evaluation of partial nitrification for wastewater treatment: A review. Chemosphere 2015, 140, 85–98. [Google Scholar] [CrossRef]
- Onwosi, C.O.; Igbokwe, V.C.; Odimba, J.N.; Eke, I.E.; Nwankwoala, M.O.; Iroh, I.N.; Ezeogu, L.I. Composting technology in waste stabilization: On the methods, challenges and future prospects. J. Environ. Manag. 2017, 190, 140–157. [Google Scholar] [CrossRef]
- Chang, Y.; Lai, J.-Y.; Lee, D.-J. Thermodynamic parameters for adsorption equilibrium of heavy metals and dyes from wastewaters: Research updated. Bioresour. Technol. 2016, 222, 513–516. [Google Scholar] [CrossRef]
- Brown, E.V.; Enzminger, J.D. Temperature profile and heat-transfer model for a chemical waste-water treatment-plant. Environ. Prog. 1991, 10, 159–168. [Google Scholar] [CrossRef]
- Kanda, R.; Kishimoto, N.; Hinobayashi, J.; Hashimoto, T. Effects of recirculation rate of nitrified liquor and temperature on biological nitrification-denitrification process using a trickling filter. Water Environ. J. 2016, 30, 190–196. [Google Scholar] [CrossRef]
- Chen, Y.; Lan, S.; Wang, L.; Dong, S.; Zhou, H.; Tan, Z.; Li, X. A review: Driving factors and regulation strategies of microbial community structure and dynamics in wastewater treatment systems. Chemosphere 2017, 174, 173–182. [Google Scholar] [CrossRef]
- Sankaran, S.; Khanal, S.K.; Jasti, N.; Jin, B.; Pometto, A.L.; van Leeuwen, J. Use of Filamentous Fungi for Wastewater Treatment and Production of High Value Fungal Byproducts: A Review. Crit. Rev. Environ. Sci. Technol. 2010, 40, 400–449. [Google Scholar] [CrossRef]
- Varma, M.; Gupta, A.K.; Ghosal, P.S.; Majumder, A. A review on performance of constructed wetlands in tropical and cold climate: Insights of mechanism, role of influencing factors, and system modification in low temperature. Sci. Total Environ. 2020, 755, 142540. [Google Scholar] [CrossRef]
- Lotti, T.; Kleerebezem, R.; Hu, Z.; Kartal, B.; Jetten, M.S.M.; van Loosdrecht, M.C.M. Simultaneous partial nitritation and anammox at low temperature with granular sludge. Water Res. 2014, 66, 111–121. [Google Scholar] [CrossRef]
- Li, J.; Zhang, L.; Peng, Y.; Zhang, Q. Effect of low COD/N ratios on stability of single-stage partial nitritation/anammox (SPN/A) process in a long-term operation. Bioresour. Technol. 2017, 244. [Google Scholar] [CrossRef]
- Gani, K.M.; Awolusi, O.O.; Khan, A.A.; Kumari, S.; Bux, F. Potential strategies for the mainstream application of anammox in treatment of anaerobic effluents—A review. Crit. Rev. Environ. Sci. Technol. 2020. [Google Scholar] [CrossRef]
- Cao, S.; Du, R.; Zhou, Y. Coupling anammox with heterotrophic denitrification for enhanced nitrogen removal: A review. Crit. Rev. Environ. Sci. Technol. 2020. [Google Scholar] [CrossRef]
- Kunapongkiti, P.; Rongsayamanont, C.; Nayranritsattha, P.; Limpiyakorn, T. Application of cell immobilization technology to promote nitritation: A review. Environ. Eng. Res. 2020, 25, 807–818. [Google Scholar] [CrossRef]
- Wang, L.; Shen, H.; Zhang, H.; Wu, X.; Wang, X. Experimental Studies on The Effects of Different Carbon Sources on Phosphorus Removal During Denitrifying Process in the Parallel A(2)O-Mbr System. Environ. Eng. Manag. J. 2013, 12, 1833–1836. [Google Scholar] [CrossRef]
- Peng, S.; Kong, Q.; Deng, S.; Xie, B.; Yang, X.; Li, D.; Hu, Z.; Sun, S. Application potential of simultaneous nitrification/Fe-0-supported autotrophic denitrification (SNAD) based on iron-scraps and micro electrolysis. Sci. Total Environ. 2020, 711. [Google Scholar] [CrossRef]
- Wang, Y.; Liu, B.; Zhang, K.; Liu, Y.; Xu, X.; Wang, H. In-situ sludge reduction and simultaneous phosphorus removal in A(2)O and side-stream induced crystallization coupling system for treating domestic wastewater. Desalin. Water Treat. 2019, 146, 165–175. [Google Scholar] [CrossRef]
- Jung, J.; Cho, Y.; Kim, Y. Efficiencies of Organic Matters and Nitrogen Removal at Different Recycle Ratios in a SMBR System. Ksce J. Civil Eng. 2019, 23, 985–991. [Google Scholar] [CrossRef]
- Yan, X.; Zheng, J.; Han, Y.; Eiu, J.; Sun, J. Experimental studies on the effects of different carbon sources on phosphorus removal during denitrifying process in the parallel A(2)O-mbr system. Environ. Prot. Eng. 2019, 45, 87–101. [Google Scholar]
- Li, J.; Li, J.; Peng, Y.; Wang, S.; Zhang, L.; Yang, S.; Li, S. Insight into the impacts of organics on anammox and their potential linking to system performance of sewage partial nitrification-anammox (PN/A): A critical review. Bioresour. Technol. 2020, 300. [Google Scholar] [CrossRef] [PubMed]
- Zhang, M.; Wang, S.; Ji, B.; Lin, Y. Towards mainstream deammonification of municipal wastewater: Partial nitrification-anammox versus partial denitrification-anammox. Sci. Total Environ. 2019, 692, 393–401. [Google Scholar] [CrossRef]










| Name | Value | SI Unit |
|---|---|---|
| Total COD | 310–807 | g COD/m3 |
| TKN | 31.00–46.50 | g N/m3 |
| Total Phosphorus | 3.46–4.56 | g P/m3 |
| Fraction of NH3 in TKN | 88.00–93.50 | % |
| PH | 6 | - |
| Influent cBOD | 200 | mg BOD/L |
| Flow Rate | 0.027 | m3/d |
| PO4 Fraction of TP | 58.14 | % |
| Name | Value | SI Unit |
|---|---|---|
| Temperature | 20.00 | °C |
| Desired DO Setpoint of No. 3 Reactor | 2 | g O2/m3 |
| Mixture Reflux Ratio | 1.25 | - |
| Sludge Reflux Ratio | 1 | - |
| Name | Value | SI Unit |
|---|---|---|
| Temperature | 13.95–21.60 | °C |
| Desired DO Setpoint of No. 3 Reactor | 0.2–4 | g O2/m3 |
| Mixture Reflux Ratio | 0.50–2.50 | - |
| Name | Value | Unit |
|---|---|---|
| COD of biodegradable substrate in volatile solids | 1.60 | g COD.g VSS−1 |
| COD of particulate unbiodegradable organics in volatile solids | 1.30 | g COD.g VSS−1 |
| COD of biomass in volatile solids | 1.42 | g COD.g VSS−1 |
| COD of endogenous products in volatile solids | 1.42 | g COD.g VSS−1 |
| Maximum specific growth rate of AOBs | 0.85 | 1/d |
| Half-saturation of O2 for AOBs (AS) | 0.25 | g O2/m3 |
| Half-saturation of O2 for NOBs (AS) | 0.25 | g O2/m3 |
| Half-saturation of NH3 for AOBs (AS) | 0.50 | g N/m3 |
| Maximum specific growth rate of NOBs | 0.65 | 1/d |
| Maximum specific growth rate of OHOs | 4.00 | 1/d |
| Half-saturation of NO2 for NOBs (AS) | 0.10 | g N/m3 |
| Half-saturation of readily biodegradable substrate for OHOs (AS) | 5.00 | g COD/m3 |
| Half-saturation of O2 for OHOs (AS) | 0.15 | g O2/m3 |
| Maximum specific growth rate of PAOs | 1.00 | 1/d |
| Half-saturation of PO4 for PAOs (AS) | 0.50 | g P/m3 |
| Rate of hydrolysis | 2.00 | 1/d |
| Temp | Parameter | Default | Value | Unit |
|---|---|---|---|---|
| 13.94 °C | Maximum specific growth rate of AOBs | 0.85 | 0.71 | 1/d |
| Maximum specific growth rate of OHOs | 4.00 | 4.40 | 1/d | |
| 21.60 °C | Maximum specific growth rate of AOBs | 0.85 | 0.62 | 1/d |
| Decay rate of AOBS | 0.17 | 0.20 | 1/d | |
| Maximum specific growth rate of OHOs | 3.20 | 5.00 | 1/d | |
| Half-saturation of O2 for OHOs | 5.00 | 2.00 | g O2/m3 | |
| Reduction factor for anoxic growth of OHOs | 0.60 | 0.65 | ||
| 16.60 °C | Maximum specific growth rate of AOBs | 0.90 | 0.66 | 1/d |
| Decay rate of AOBS | 0.17 | 0.20 | 1/d | |
| Maximum specific growth rate of OHOs | 3.20 | 4.60 | 1/d | |
| Reduction factor for anoxic growth of OHOs | 0.60 | 0.65 |
Publisher’s Note: MDPI stays neutral with regard to jurisdictional claims in published maps and institutional affiliations. |
© 2021 by the authors. Licensee MDPI, Basel, Switzerland. This article is an open access article distributed under the terms and conditions of the Creative Commons Attribution (CC BY) license (https://creativecommons.org/licenses/by/4.0/).
Share and Cite
Liang, J.; Yuan, Y.; Zhang, Z.; You, S.; Yuan, Y. Modeling a Three-Stage Biological Trickling Filter Based on the A2O Process for Sewage Treatment. Water 2021, 13, 1152. https://doi.org/10.3390/w13091152
Liang J, Yuan Y, Zhang Z, You S, Yuan Y. Modeling a Three-Stage Biological Trickling Filter Based on the A2O Process for Sewage Treatment. Water. 2021; 13(9):1152. https://doi.org/10.3390/w13091152
Chicago/Turabian StyleLiang, Jiabin, Yuan Yuan, Zimeng Zhang, Shijie You, and Yixing Yuan. 2021. "Modeling a Three-Stage Biological Trickling Filter Based on the A2O Process for Sewage Treatment" Water 13, no. 9: 1152. https://doi.org/10.3390/w13091152
APA StyleLiang, J., Yuan, Y., Zhang, Z., You, S., & Yuan, Y. (2021). Modeling a Three-Stage Biological Trickling Filter Based on the A2O Process for Sewage Treatment. Water, 13(9), 1152. https://doi.org/10.3390/w13091152
