Stream Temperature Response to 50% Strip-Thinning in a Temperate Forested Headwater Catchment
Abstract
1. Introduction
2. Materials and Methods
2.1. Study Site
2.2. Monitoring
2.3. Paired-Catchment Analysis of Stream Temperature Responses
2.4. Analysis of Hydrometeorological Controls
3. Results
3.1. Canopy Openness
3.2. Climatic Conditions
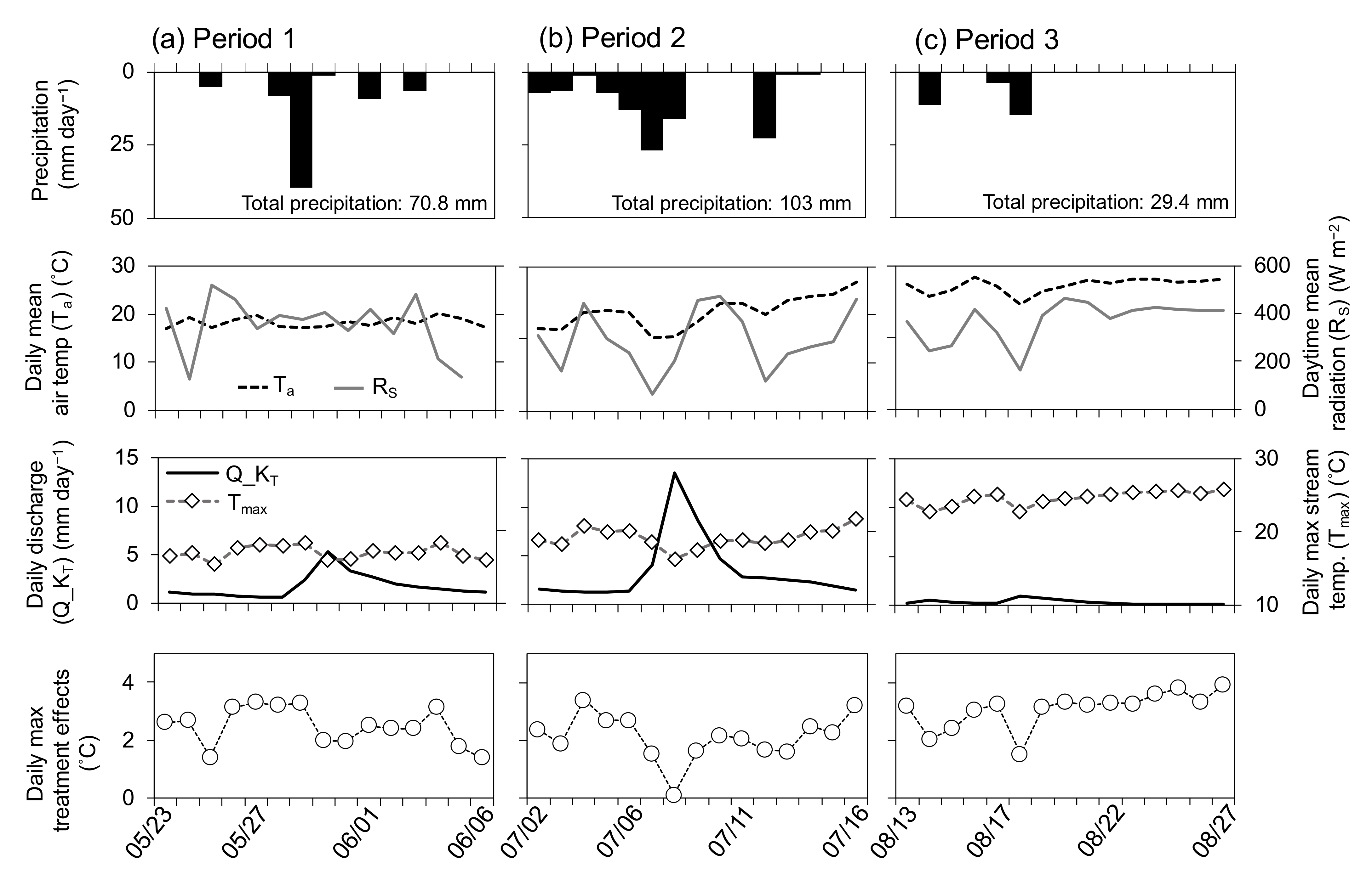
3.3. Hydrological Processes and Stream Temperature
3.4. Treatment Effects
3.5. Analysis of Factors Controlling the Magnitude of Treatment Effects
4. Discussion
4.1. Effects of Riparian Forest Practices on Stream Temperature Responses
4.2. Temporal Variability of Treatment Effects and Influence of Catchment Hydrology
5. Conclusions
Author Contributions
Funding
Institutional Review Board Statement
Informed Consent Statement
Data Availability Statement
Acknowledgments
Conflicts of Interest
References
- Becker, M.W.; Georgian, T.; Ambrose, H.; Siniscalchi, J.; Fredrick, K. Estimating flow and flux of ground water discharge using water temperature and velocity. J. Hydrol. 2004, 296, 221–233. [Google Scholar] [CrossRef]
- Westhoff, M.C.; Gooseff, M.N.; Bogaard, T.A.; Savenije, H.H.G. Quantifying hyporheic exchange at high spatial resolution using natural temperature variations along a first-order stream. Water Resour. Res. 2011, 47, W10508. [Google Scholar] [CrossRef]
- Gomi, T.; Sidle, R.C.; Richardson, J.S. Understanding processes and downstream linkages of headwater systems. Bioscience 2002, 52, 905–916. [Google Scholar] [CrossRef]
- Webb, B.W.; Clack, P.D.; Walling, D.E. Water-air temperature relationships in a Devon river system and the role of flow. Hydrol. Process. 2003, 17, 3069–3084. [Google Scholar] [CrossRef]
- Tague, C.; Farrell, M.; Grant, G.; Lewis, S.; Rey, S. Hydrogeologic controls on summer stream temperatures in the McKenzie River basin, Oregon. Hydrol. Process. 2007, 21, 3288–3300. [Google Scholar] [CrossRef]
- Leach, J.A.; Moore, R.D.; Hinch, S.G.; Gomi, T. Estimation of forest harvesting-induced stream temperature changes and bioenergetic consequences for cutthroat trout in a coastal stream in British Columbia, Canada. Aquat. Sci. 2012, 74, 427–441. [Google Scholar] [CrossRef]
- Richardson, J.S. Biological Diversity in Headwater Streams. Water 2019, 11, 366. [Google Scholar] [CrossRef]
- Webb, B.W.; Hannah, D.M.; Moore, R.D.; Brown, L.E.; Nobilis, F. Recent advances in stream and river temperature research. Hydrol. Process. 2008, 22, 902–918. [Google Scholar] [CrossRef]
- Moore, R.D.; Spittlehouse, D.L.; Story, A. Riparian microclimate and stream temperature response to forest harvesting: A review. J. Am. Water Resour. Assoc. 2005, 41, 813–834. [Google Scholar] [CrossRef]
- Harris, D.D. Hydrologic Changes after Logging in two Small Oregon Coastal Watersheds; Department of the Interior, Geological Survey: Burlington, MA, USA, 1977; Volume 2037. [Google Scholar] [CrossRef]
- Webb, B.W.; Crisp, D.T. Afforestation and stream temperature in a temperate maritime environment. Hydrol. Process. 2006, 20, 51–66. [Google Scholar] [CrossRef]
- Carlson, K.M.; Curran, L.M.; Ponette-Gonzalez, A.G.; Ratnasari, D.; Lisnawati, N.; Purwanto, Y.; Brauman, K.A.; Raymond, P.A. Influence of watershed-climate interactions on stream temperature, sediment yield, and metabolism along a land use intensity gradient in Indonesian Borneo. J. Geophys. Res. Biogeo. 2014, 119, 1110–1128. [Google Scholar] [CrossRef]
- Raulerson, S.; Jackson, C.R.; Melear, N.D.; Younger, S.E.; Dudley, M.; Elliott, K.J. Do southern Appalachian Mountain summer stream temperatures respond to removal of understory rhododendron thickets? Hydrol. Process. 2020, 34, 3045–3060. [Google Scholar] [CrossRef]
- Wilkerson, E.; Hagan, J.M.; Siegel, D.; Whitman, A.A. The effectiveness of different buffer widths for protecting headwater stream temperature in Maine. Forest Sci. 2006, 52, 221–231. [Google Scholar]
- Groom, J.D.; Dent, L.; Madsen, L.J.; Fleuret, J. Response of western Oregon (USA) stream temperatures to contemporary forest management. Forest Ecol. Manag. 2011, 262, 1618–1629. [Google Scholar] [CrossRef]
- Bowler, D.E.; Mant, R.; Orr, H.; Hannah, D.M.; Pullin, A.S. What are the effects of wooded riparian zones on stream temperature? Environ. Evid. 2012, 1, 1–9. [Google Scholar] [CrossRef]
- Groom, J.D.; Johnson, S.L.; Seeds, J.D.; Ice, G.G. Evaluating Links Between Forest Harvest and Stream Temperature Threshold Exceedances: The Value of Spatial and Temporal Data. J. Am. Water Resour. Assoc. 2017, 53, 761–773. [Google Scholar] [CrossRef]
- Gomi, T.; Moore, R.D.; Dhakal, A.S. Headwater stream temperature response to clear-cut harvesting with different riparian treatments, coastal British Columbia, Canada. Water Resour. Res. 2006, 42, W08437. [Google Scholar] [CrossRef]
- Janisch, J.E.; Wondzell, S.M.; Ehinger, W.J. Headwater stream temperature: Interpreting response after logging, with and without riparian buffers, Washington, USA. Forest Ecol. Manag. 2012, 270, 302–313. [Google Scholar] [CrossRef]
- Bladon, K.D.; Segura, C.; Cook, N.A.; Bywater-Reyes, S.; Reiter, M. A multicatchment analysis of headwater and downstream temperature effects from contemporary forest harvesting. Hydrol. Process. 2018, 32, 293–304. [Google Scholar] [CrossRef]
- Johnson, S.L.; Jones, J.A. Stream temperature responses to forest harvest and debris flows in western Cascades, Oregon. Can. J. Fish. Aquat. Sci. 2000, 57, 30–39. [Google Scholar] [CrossRef]
- Quinn, J.M.; Wright-Stow, A.E. Stream size influences stream temperature impacts and recovery rates after clearfell logging. Forest Ecol. Manag. 2008, 256, 2101–2109. [Google Scholar] [CrossRef]
- Guenther, S.M.; Gomi, T.; Moore, R.D. Stream and bed temperature variability in a coastal headwater catchment: Influences of surface-subsurface interactions and partial-retention forest harvesting. Hydrol. Process. 2014, 28, 1238–1249. [Google Scholar] [CrossRef]
- Leach, J.A.; Moore, D. Insights on stream temperature processes through development of a coupled hydrologic and stream temperature model for forested coastal headwater catchments. Hydrol. Process. 2017, 31, 3160–3177. [Google Scholar] [CrossRef]
- Moore, R.D.; Sutherland, P.; Gomi, T.; Dhakal, A. Thermal regime of a headwater stream within a clear-cut, coastal British Columbia, Canada. Hydrol. Process. 2005, 19, 2591–2608. [Google Scholar] [CrossRef]
- Hockey, J.; Owens, I.; Tapper, N. Empirical and theoretical models to isolate the effect of discharge on summer water temperatures in the Hurunui River. J. Hydrol. 1982, 21, 1–12. [Google Scholar]
- Du, X.Z.; Goss, G.; Faramarzi, M. Impacts of Hydrological Processes on Stream Temperature in a Cold Region Watershed Based on the SWAT Equilibrium Temperature Model. Water 2020, 12, 1112. [Google Scholar] [CrossRef]
- Vano, J.A.; Nijssen, B.; Lettenmaier, D.P. Seasonal hydrologic responses to climate change in the Pacific Northwest. Water Resour. Res. 2015, 51, 1959–1976. [Google Scholar] [CrossRef]
- Swanson, F.J.; Franklin, J.F. New Forestry Principles from Ecosystem Analysis of Pacific-Northwest Forests. Ecol. Appl. 1992, 2, 262–274. [Google Scholar] [CrossRef]
- Mitchell, S.J.; Beese, W.J. The retention system: Reconciling variable retention with the principles of silvicultural systems. For. Chron. 2002, 78, 397–403. [Google Scholar] [CrossRef]
- Kreutzweiser, D.P.; Capell, S.S.; Holmes, S.B. Stream temperature responses to partial-harvest logging in riparian buffers of boreal mixedwood forest watersheds. Can. J. Forest Res. 2009, 39, 497–506. [Google Scholar] [CrossRef]
- Maleque, M.A.; Ishii, H.T.; Maeto, K.; Taniguchi, S. Line thinning fosters the abundance and diversity of understory Hymenoptera (Insecta) in Japanese cedar (Cryptomeria japonica D. Don) plantations. J. Forest Res. 2007, 12, 14–23. [Google Scholar] [CrossRef]
- Ishii, H.T.; Maleque, M.A.; Shingo, T.G. Line thinning promotes stand growth and understory diversity in Japanese cedar (Cryptomeria japonica D. Don) plantations. J. Forest Res. 2008, 13, 73–78. [Google Scholar] [CrossRef]
- Kerr, G.; Haufe, J. Thinning Practice: A Silvicultural Guide. Forestry Commission. 2011. Available online: https://www.forestresearch.gov.uk/documents/4992/Silviculture_Thinning_Guide_v1_Jan2011.pdf (accessed on 5 April 2021).
- Nam, S.; Hiraoka, M.; Gomi, T.; Dung, B.X.; Onda, Y.; Kato, H. Suspended-sediment responses after strip thinning in headwater catchments. Landsc. Ecol. Eng. 2016, 12, 197–208. [Google Scholar] [CrossRef]
- Montgomery, D.R.; Buffington, J.M. Channel-reach morphology in mountain drainage basins. Geol. Soc. Am. Bull. 1997, 109, 596–611. [Google Scholar] [CrossRef]
- Sun, X.C.; Onda, Y.; Kato, H.; Otsuki, K.; Gomi, T. Partitioning of the total evapotranspiration in a Japanese cypress plantation during the growing season. Ecohydrology 2014, 7, 1042–1053. [Google Scholar] [CrossRef]
- Lopez-Vicente, M.; Sun, X.C.; Onda, Y.; Kato, H.; Gomi, T.; Hiraoka, M. Effect of tree thinning and skidding trails on hydrological connectivity in two Japanese forest catchments. Geomorphology 2017, 292, 104–114. [Google Scholar] [CrossRef]
- Herschy, R.W. Streamflow Measurement; Elsevier Applied Science: New York, NY, USA, 1985. [Google Scholar]
- Dung, B.X.; Gomi, T.; Miyata, S.; Sidle, R.C.; Kosugi, K.; Onda, Y. Runoff responses to forest thinning at plot and catchment scales in a headwater catchment draining Japanese cypress forest. J. Hydrol. 2012, 444, 51–62. [Google Scholar] [CrossRef]
- Frazer, G.W.; Canham, C.D.; Lertzman, K.P. Gap Light Analyzer (GLA), Version 2.0: Imaging Software to Extract Canopy Structure and Gap Light Transmission Indices from True-Colour Fisheye Photographs, Users Manual and Program Documentation; Simon Fraser University: Burnaby, BC, Canada; The Institute of Ecosystem Studies: Millbrook, NY, USA, 1999; Volume 36. [Google Scholar]
- Watson, F.; Vertessy, R.; McMahon, T.; Rhodes, B.; Watson, I. Improved methods to assess water yield changes from paired-catchment studies: Application to the Maroondah catchments. Forest Ecol. Manag. 2001, 143, 189–204. [Google Scholar] [CrossRef]
- Akaike, H. A new look at the statistical model identification. IEEE Trans. Automat. Control 1974, 19, 716–723. [Google Scholar] [CrossRef]
- Som, N.A.; Zegre, N.P.; Ganio, L.M.; Skaugset, A.E. Corrected prediction intervals for change detection in paired watershed studies. Hydrolog. Sci. J. 2012, 57, 134–143. [Google Scholar] [CrossRef]
- Webb, B.W.; Zhang, Y. Spatial and seasonal variability in the components of the river heat budget. Hydrol. Process. 1997, 11, 79–101. [Google Scholar] [CrossRef]
- MacDonald, R.J.; Boon, S.; Byrne, J.M.; Silins, U. A comparison of surface and subsurface controls on summer temperature in a headwater stream. Hydrol. Process. 2014, 28, 2338–2347. [Google Scholar] [CrossRef]
- Greenacre, M.; Primicerio, R. Multivariate Analysis of Ecological Data; Fundacion BBVA: Bilbao, Spain, 2014; Available online: https://www.fbbva.es/wp-content/uploads/2017/05/dat/DE_2013_multivariate.pdf (accessed on 5 April 2021).
- Yamashita, T.; Yamashita, K.; Kamimura, R. A stepwise AIC method for variable selection in linear regression. Commun. Stat. Theor. M 2007, 36, 2395–2403. [Google Scholar] [CrossRef]
- Neter, J.; Kutner, M.H.; Nachtsheim, C.J.; Wasserman, W. Applied Linear Statistical Models; McGraw-Hill/Irwin, WCB McGraw-Hill: New York, NY, USA, 1996; Volume 4. [Google Scholar]
- Rex, J.F.; Maloney, D.A.; Krauskopf, P.N.; Beaudry, P.G.; Beaudry, L.J. Variable-retention riparian harvesting effects on riparian air and water temperature of sub-boreal headwater streams in British Columbia. Forest Ecol. Manag. 2012, 269, 259–270. [Google Scholar] [CrossRef]
- Brown, G.W.; Krygier, J.T. Effects of clear-cutting on stream temperature. Water Resour. Res. 1970, 6, 1133–1139. [Google Scholar] [CrossRef]
- Kiffney, P.M.; Richardson, J.S.; Bull, J.P. Responses of periphyton and insects to experimental manipulation of riparian buffer width along forest streams. J. Appl. Ecol. 2003, 40, 1060–1076. [Google Scholar] [CrossRef]
- Bladon, K.D.; Cook, N.A.; Light, J.T.; Segura, C. A catchment-scale assessment of stream temperature response to contemporary forest harvesting in the Oregon Coast Range. Forest Ecol. Manag. 2016, 379, 153–164. [Google Scholar] [CrossRef]
- Reiter, M.; Johnson, S.L.; Homyack, J.; Jones, J.E.; James, P.L. Summer stream temperature changes following forest harvest in the headwaters of the Trask River watershed, Oregon Coast Range. Ecohydrology 2020, 13, e2178. [Google Scholar] [CrossRef]
- Bescond, H.; Fenton, N.J.; Bergeron, Y. Partial harvests in the boreal forest: Response of the understory vegetation five years after harvest. Forest Chron. 2011, 87, 86–98. [Google Scholar] [CrossRef]
- Gravelle, J.A.; Link, T.E. Influence of timber harvesting on headwater peak stream temperatures in a northern Idaho watershed. Forest Sci. 2007, 53, 189–205. [Google Scholar]
- Brown, G.W. Predicting temperatures of small streams. Water Resour. Res. 1969, 5, 68–75. [Google Scholar] [CrossRef]
- Hannah, D.M.; Malcolm, I.A.; Soulsby, C.; Youngson, A.F. Heat exchanges and temperatures within a salmon spawning stream in the cairngorms, Scotland: Seasonal and sub-seasonal dynamics. River Res. Appl. 2004, 20, 635–652. [Google Scholar] [CrossRef]
- Leach, J.A.; Moore, R.D. Above-stream microclimate and stream surface energy exchanges in a wildfire-disturbed riparian zone. Hydrol. Process. 2010, 24, 2369–2381. [Google Scholar] [CrossRef]
- Szeitz, A.J.; Moore, R.D. Predicting evaporation from mountain streams. Hydrol. Process. 2020, 34, 4262–4279. [Google Scholar] [CrossRef]
- Leach, J.A.; Moore, R.D. Winter stream temperature in the rain-on-snow zone of the Pacific Northwest: Influences of hillslope runoff and transient snow cover. Hydrol. Earth Syst. Sci. 2014, 18, 819–838. [Google Scholar] [CrossRef]
- Sun, X.C.; Onda, Y.; Chiara, S.; Kato, H.; Gomi, T. The effect of strip thinning on spatial and temporal variability of throughfall in a Japanese cypress plantation. Hydrol. Process. 2015, 29, 5058–5070. [Google Scholar] [CrossRef]
- Sun, X.C.; Onda, Y.; Otsuki, K.; Kato, H.; Gomi, T.; Liu, X.Y. Change in evapotranspiration partitioning after thinning in a Japanese cypress plantation. Trees Struct. Funct. 2017, 31, 1411–1421. [Google Scholar] [CrossRef]
- Sidle, R.C.; Tsuboyama, Y.; Noguchi, S.; Hosoda, I.; Fujieda, M.; Shimizu, T. Stormflow generation in steep forested headwaters: A linked hydrogeomorphic paradigm. Hydrol. Process. 2000, 14, 369–385. [Google Scholar] [CrossRef]
- Gomi, T.; Asano, Y.; Uchida, T.; Onda, Y.; Sidle, R.C.; Miyata, S.; Kosugi, K.; Mizugaki, S.; Fukuyama, T.; Fukushima, T. Evaluation of storm runoff pathways in steep nested catchments draining a Japanese cypress forest in central Japan: A geochemical approach. Hydrol. Process. 2010, 24, 550–566. [Google Scholar] [CrossRef]
- Uchida, T.; Kosugi, K.; Mizuyama, T. Effects of pipe flow and bedrock groundwater on runoff generation in a steep headwater catchment in Ashiu, central Japan. Water Resour. Res. 2002, 38, 1119. [Google Scholar] [CrossRef]
- Onda, Y.; Tsujimura, M.; Fujihara, J.I.; Ito, J. Runoff generation mechanisms in high-relief mountainous watersheds with different underlying geology. J. Hydrol. 2006, 331, 659–673. [Google Scholar] [CrossRef]







| Prethinning | During Thinning Operation | Post-Thinning | |
|---|---|---|---|
| Total rainfall (mm) | 1230 | 1040 | 1295 |
| Air temperature (°C) | |||
| Max | 37.9 | 37.9 | 38.6 |
| Mean | 14.2 | 18.9 | 15.1 |
| SD | 8.7 | 6.9 | 8.3 |
| Min | −4.6 | 0.0 | −5.7 |
| Discharge (mm day−1) | |||
| KT catchment | |||
| Max | 14.6 | 44.3 | 44.9 |
| Mean | 0.8 | 2.6 | 1.2 |
| SD | 1.6 | 6.3 | 2.9 |
| Min | 0.1 | 0.2 | 0.1 |
| KC catchment | |||
| Max | 38.2 | 39.0 | 28.8 |
| Mean | 0.8 | 2.2 | 0.9 |
| SD | 3.0 | 5.8 | 2.1 |
| Min | 0.1 | 0.2 | 0.1 |
| Stream temperature (°C) | |||
| KT catchment | |||
| Max | 22.3 | 22.4 | 26.2 |
| Mean | 11.5 | 14.8 | 12.2 |
| SD | 5.6 | 4.8 | 6.4 |
| Min | 1.8 | 3.1 | 0.9 |
| KC catchment | |||
| Max | 21.5 | 20.8 | 21.5 |
| Mean | 11.8 | 14.5 | 11.7 |
| SD | 4.8 | 4.1 | 5.3 |
| Min | 2.8 | 4.2 | 1.8 |
| Stream Temperature Variables | b Estimates | k | |||||||||
|---|---|---|---|---|---|---|---|---|---|---|---|
| Intercept | KC | Sine | Cosine | ||||||||
| (s.e.) | (s.e.) | (s.e.) | (s.e.) | (s.e.) | (s.e.) | (s.e.) | (s.e.) | (s.e.) | (s.e.) | ||
| Daily maximum | −1.51 | 1.11 | 0.04 | −0.58 | 6 | 0.522 | 0.03 | 0.05 | −0.06 | 0.08 | 0.13 |
| (0.27) | (0.02) | (0.12) | (0.11) | (0.06) | (0.07) | (0.06) | (0.06) | (0.06) | (0.06) | ||
| Daily mean | −1.94 | 1.14 | 0.33 | −0.42 | 5 | 0.8 | −0.13 | 0.07 | −0.05 | 0.15 | - |
| (0.2) | (0.02) | (0.15) | (0.01) | (0.06) | (0.07) | (0.07) | (0.07) | (0.06) | |||
| Daily minimum | −1.64 | 1.12 | 0.27 | −0.51 | 6 | 0.64 | 0.06 | −0.03 | 0.04 | 0.03 | 0.1 |
| (0.22) | (0.02) | (0.12) | (0.12) | (0.06) | (0.07) | (0.07) | (0.07) | (0.07) | (0.06) | ||
| Stream Temperature Variables | Residuals (°C) | Treatment Effects (Te) (°C) | Significance of Te | ||||||||
|---|---|---|---|---|---|---|---|---|---|---|---|
| Prethinning | Post-Thinning | k | z-Score | p-Value | |||||||
| (n = 339) | (n = 366) | ||||||||||
| Max | Mean | SD | Min | Max | Mean | SD | Min | ||||
| Daily maximum | 0.9 | 0.0 | 0.2 | −1.5 | 3.9 | 1.3 | 1.0 | −0.2 | 240 | 85 | <0.001 |
| Daily mean | 0.7 | 0.0 | 0.2 | −0.7 | 2.5 | 0.8 | 0.5 | −0.2 | 235 | 83 | <0.001 |
| Daily minimum | 0.7 | 0.0 | 0.3 | −0.9 | 1.7 | 0.5 | 0.4 | −0.5 | 124 | 40 | <0.001 |
| Solar Radiation | Air Temperature | Air Vapor Pressure | Wind Speed | Discharge | |
|---|---|---|---|---|---|
| Daily maximum | 0.61 ** | 0.47 ** | 0.37 *** | 0.07 | −0.31 ** |
| Daily mean | 0.35 ** | 0.52 ** | 0.48 *** | 0.09 | −0.45 ** |
| Daily minimum | 0.03 | 0.44 ** | 0.47 *** | 0.21 * | −0.55 ** |
| Solar radiation | 1 | 0.4 ** | 0.04 | 0.31 ** | −0.03 |
| Air temperature | 1 | 0.9 *** | 0.11 | −0.25 * | |
| Air vapor pressure | 1 | 0.01 | −0.21 * | ||
| Wind speed | 1 | −0.21 * | |||
| Discharge | 1 |
| Treatment Effects | Explanatory Variables | Standardized Coefficients | SE | t-Value | p-Value |
|---|---|---|---|---|---|
| Daily maximum | Daytime mean solar radiation | 0.55 | 0.051 | 10.80 | <0.001 |
| Daily stream discharge | −0.3 | 0.051 | −5.71 | <0.001 | |
| Daytime mean air vapor pressure | 0.26 | 0.055 | 3.67 | <0.001 | |
| Daily mean | Daily stream discharge | −0.47 | 0.055 | −8.55 | <0.001 |
| Daytime mean air vapor pressure | 0.32 | 0.053 | 5.95 | <0.001 | |
| Daytime mean solar radiation | 0.26 | 0.054 | 4.98 | <0.001 | |
| Daily minimum | Daily stream discharge | −0.53 | 0.056 | −9.55 | <0.001 |
| Daytime mean air vapor pressure | 0.32 | 0.056 | 5.72 | <0.001 |
Publisher’s Note: MDPI stays neutral with regard to jurisdictional claims in published maps and institutional affiliations. |
© 2021 by the authors. Licensee MDPI, Basel, Switzerland. This article is an open access article distributed under the terms and conditions of the Creative Commons Attribution (CC BY) license (https://creativecommons.org/licenses/by/4.0/).
Share and Cite
Oanh, D.Q.; Gomi, T.; Moore, R.D.; Chiu, C.-W.; Hiraoka, M.; Onda, Y.; Dung, B.X. Stream Temperature Response to 50% Strip-Thinning in a Temperate Forested Headwater Catchment. Water 2021, 13, 1022. https://doi.org/10.3390/w13081022
Oanh DQ, Gomi T, Moore RD, Chiu C-W, Hiraoka M, Onda Y, Dung BX. Stream Temperature Response to 50% Strip-Thinning in a Temperate Forested Headwater Catchment. Water. 2021; 13(8):1022. https://doi.org/10.3390/w13081022
Chicago/Turabian StyleOanh, Dinh Quynh, Takashi Gomi, R. Dan Moore, Chen-Wei Chiu, Marino Hiraoka, Yuichi Onda, and Bui Xuan Dung. 2021. "Stream Temperature Response to 50% Strip-Thinning in a Temperate Forested Headwater Catchment" Water 13, no. 8: 1022. https://doi.org/10.3390/w13081022
APA StyleOanh, D. Q., Gomi, T., Moore, R. D., Chiu, C.-W., Hiraoka, M., Onda, Y., & Dung, B. X. (2021). Stream Temperature Response to 50% Strip-Thinning in a Temperate Forested Headwater Catchment. Water, 13(8), 1022. https://doi.org/10.3390/w13081022

