Eucalyptus Leaf Solution to Replace Metals in the Removal of Cyanobacteria in Wastewater from the Paper Mill Industry
Abstract
:1. Introduction
2. Materials and Methods
2.1. Experimental Design
2.2. Index Measurement and Analysis
2.2.1. Preparation of the Eucalyptus Leaf Solution
2.2.2. Determination of the pH and Temperature of Water
2.2.3. Determination of Chlorophyll a Concentration
2.2.4. Determination of Turbidity
2.2.5. Determination of BGA
2.3. Data Analysis
3. Results
3.1. Variations in Water’s Physicochemical Properties between Treatments
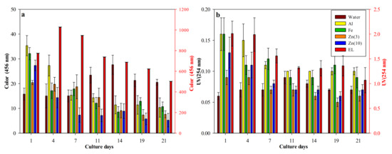
3.2. Variations in Color and UV
3.3. Variations in Water Conductivity
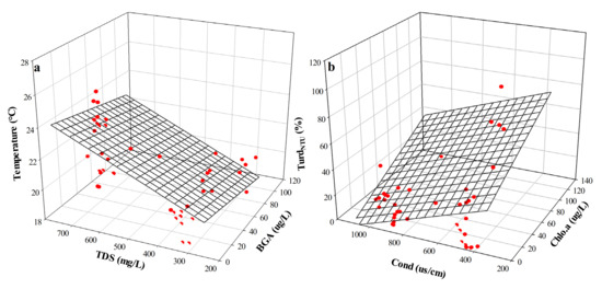
3.4. Variations in Total Dissolved Solids and Turbidity
3.5. Variations in Chlorophyll a and Blue-Green Algae
4. Conclusions
Supplementary Materials
Author Contributions
Funding
Institutional Review Board Statement
Informed Consent Statement
Data Availability Statement
Conflicts of Interest
References
- Jordan, Y.C.; Ghulam, A.; Hartling, S. Traits of surface water pollution under climate and land use changes: A remote sensing and hydrological modeling approach. Earth-Sci. Rev. 2014, 128, 181–195. [Google Scholar] [CrossRef]
- Tscheikner, G.F.; Bellos, V.; Schellart, A. Recent insights on uncertainties present in integrated catchment water quality modelling. Water Res. 2019, 150, 368–379. [Google Scholar] [CrossRef] [PubMed]
- He, Z.; Xiao, P.; Jia, G.; Liu, Z.; Yu, X. Field studies on the influence of rainfall intensity, vegetation cover and slope length on soil moisture infiltration on typical watersheds of the loess plateau, china. Hydrol. Process. 2020, 8, 13892. [Google Scholar] [CrossRef]
- Axinte, O.; Badescu, I.S.; Stroe, C. Evolution of trophic parameters from Amara Lake. Environmental Eng. Manag. J. 2015, 14, 559–565. [Google Scholar]
- Batool, S.; Idrees, M.; Hussain, Q. Adsorption of copper (II) by using derived-farmyard and poultry manure biochars: Efficiency and mechanism. Chem. Phys. Lett. 2017, 689, 190–198. [Google Scholar] [CrossRef]
- Romero, C.L.A.; Garcia, R.H.; Gonzalez, G.L.V. Functionalized adsorbents prepared from fruit peels: Equilibrium, kinetic and thermodynamic studies for copper adsorption in aqueous solution. J. Clean. Prod. 2017, 162, 195–204. [Google Scholar] [CrossRef]
- Gossuin, Y.; Vuong, Q.L. NMR relaxometry for adsorption studies: Proof of concept with copper adsorption on activated alumina. Sep. Purif. Technol. 2018, 202, 138–143. [Google Scholar] [CrossRef]
- Chang, X.; Sun, L.; Yu, X.; Liu, Z.; Zhu, X. Windbreak efficiency in controlling wind erosion and particulate matter concentrations from farmlands. Agric. Ecosyst. Environ. 2021, 308, 107269. [Google Scholar] [CrossRef]
- Souza, C.; Majuste, D.; Ciminelli, V.S.T. Effects of surface properties of activated carbon on the adsorption mechanism of copper cyanocomplexes. Hydrometallurgy 2014, 142, 1–11. [Google Scholar] [CrossRef]
- Yang, G.X.; Jiang, H. Amino modification of biochar for enhanced adsorption of copper ions from synthetic wastewater. Water Res. 2014, 48, 396–405. [Google Scholar] [CrossRef]
- Mahaninia, M.H.; Rahimian, P.; Kaghazchi, T. Modified activated carbons with amino groups and their copper adsorption properties in aqueous solution. Chin. J. Chem. Eng. 2015, 23, 50–56. [Google Scholar] [CrossRef]
- Bakhtiari, N.; Azizian, S. Adsorption of copper ion from aqueous solution by nanoporous MOF-5: A kinetic and equilibrium study. J. Mol. Liq. 2015, 206, 114–118. [Google Scholar] [CrossRef]
- Freitas, E.D.; Carmo, A.C.R.; Almeida, N.A.F. Binary adsorption of silver and copper on Verde-lodo bentonite: Kinetic and equilibrium study. Appl. Clay Sci. 2017, 137, 69–76. [Google Scholar] [CrossRef]
- Xie, X.; Deng, R.; Pang, Y. Adsorption of copper (II) by sulfur microparticles. Chem. Eng. J. 2017, 314, 434–442. [Google Scholar] [CrossRef]
- Murugesan, A.; Divakaran, M.; Senthilkumar, P. Enhanced adsorption of Cu2+, Ni2+, Cd2+ and Zn2+ ions onto physico-chemically modified agricultural waste: Kinetic, isotherm and thermodynamic studies. Desalin. Water Treat. 2018, 122, 176–191. [Google Scholar] [CrossRef]
- Teow, Y.H.; Kam, L.M.; Mohammad, A.W. Synthesis of cellulose hydrogel for copper (II) ions adsorption. J. Environ. Chem. Eng. 2018, 6, 4588–4597. [Google Scholar] [CrossRef]
- Dong, N.T.; Novak, P.; Vejpravova, J. Removal of copper and nickel from water using nanocomposite of magnetic hydroxyapatite nanorods. J. Magn. Magn. Mater. 2018, 456, 451–460. [Google Scholar]
- Ebrahimi, A.; Hashemi, S.; Akbarzadeh, S. Modification of green algae harvested from the Persian Gulf by L-cysteine for enhancing copper adsorption from wastewater: Experimental data. Chem. Data Collect. 2016, 2, 36–42. [Google Scholar] [CrossRef]
- Anantha, R.K.; Kota, S. Bio-composites for the sorption of copper from aqueous solution: A comparative study. Groundw. Sustain. Dev. 2018, 7, 265–276. [Google Scholar] [CrossRef]
- Wu, Q.; Chen, J.; Clark, M. Adsorption of copper to different biogenic oyster shell structures. Appl. Surf. Sci. 2014, 311, 264–272. [Google Scholar] [CrossRef]
- Atar, N.; Olgun, A.; Wang, S. Adsorption of cadmium (II) and zinc (II) on boron enrichment process waste in aqueous solutions: Batch and fixed-bed system studies. Chem. Eng. J. 2012, 192, 1–7. [Google Scholar] [CrossRef]
- Vivacqua, V.; Xu, W.; Hebrard, G. Modeling of zinc adsorption onto clinoptilolite in a slurry bubble column. Chem. Eng. Sci. 2013, 100, 326–331. [Google Scholar] [CrossRef]
- Coruh, S.; Geyikci, F.; Kilic, E. The use of NARX neural network for modeling of adsorption of zinc ions using activated almond shell as a potential biosorbent. Bioresour. Technol. 2014, 151, 406–410. [Google Scholar] [CrossRef]
- Rashid, A.; Bhatti, H.N.; Iqbal, M. Fungal biomass composite with bentonite efficiency for nickel and zinc adsorption: A mechanistic study. Ecol. Eng. 2016, 91, 459–471. [Google Scholar] [CrossRef]
- Jakobik, K.A.; Bok, B.J.; Karon, K. Hybrid pectin-based biosorbents for zinc ions removal. Carbohydr. Polym. 2017, 169, 213–219. [Google Scholar] [CrossRef]
- Liu, Z.Q.; Jia, G.D.; Yu, X.X. Variation of water uptake in degradation agroforestry shelterbelts on the North China Plain. Agric. Ecosyst. Environ. 2020, 1, 106697. [Google Scholar] [CrossRef]
- Tang, Q.; Bao, Y.; He, X. Sedimentation and associated trace metal enrichment in the riparian zone of the Three Gorges Reservoir, China. Sci Total Environ. 2014, 479, 258–266. [Google Scholar] [CrossRef]
- Bing, H.; Zhou, J.; Wu, Y. Current state, sources, and potential risk of heavy metals in sediments of Three Gorges Reservoir, China. Environ. Pollut. 2016, 214, 485–496. [Google Scholar] [CrossRef]
- Deng, K.; Yang, S.; Lian, E. Three Gorges Dam alters the Changjiang (Yangtze) river water cycle in the dry seasons: Evidence from H-O isotopes. Sci. Total Environ. 2016, 562, 89–97. [Google Scholar] [CrossRef]
- Tang, Q.; Bao, Y.; He, X. Flow regulation manipulates contemporary seasonal sedimentary dynamics in the reservoir fluctuation zone of the Three Gorges Reservoir, China. Sci. Total Environ. 2016, 548, 410–420. [Google Scholar] [CrossRef]
- Zhu, H.; Bing, H.; Wu, Y. The spatial and vertical distribution of heavy metal contamination in sediments of the Three Gorges Reservoir determined by anti-seasonal flow regulation. Sci. Total Environ. 2019, 664, 79–88. [Google Scholar] [CrossRef] [PubMed]
- Zhao, L.; Gong, D.; Zhao, W. Spatial-temporal distribution characteristics and health risk assessment of heavy metals in surface water of the Three Gorges Reservoir, China. Sci. Total Environ. 2020, 704, 134883. [Google Scholar] [CrossRef] [PubMed]
- Gao, Q.; Li, Y.; Cheng, Q. Analysis and assessment of the nutrients, biochemical indexes and heavy metals in the Three Gorges Reservoir, China, from 2008 to 2013. Water Res. 2016, 92, 262–274. [Google Scholar] [CrossRef]
- Wei, X.; Han, L.; Gao, B. Distribution, bioavailability, and potential risk assessment of the metals in tributary sediments of Three Gorges Reservoir: The impact of water impoundment. Ecol. Indic. 2016, 61, 667–675. [Google Scholar] [CrossRef]
- Lin, L.; Li, C.; Yang, W. Spatial variations and periodic changes in heavy metals in surface water and sediments of the Three Gorges Reservoir, China. Chemosphere 2020, 240, 124837. [Google Scholar] [CrossRef] [PubMed]
- Deyerling, D.; Wang, J.; Hu, W. PAH distribution and mass fluxes in the Three Gorges Reservoir after impoundment of the Three Gorges Dam. Sci. Total Environ. 2014, 491, 123–130. [Google Scholar] [CrossRef]
- Liu, T.T.; Liu, Z.G.; Zheng, Q.F. Effect of hydrothermal carbonization on migration and environmental risk of heavy metals in sewage sludge during pyrolysis. Bioresour. Technol. 2018, 247, 282–290. [Google Scholar] [CrossRef] [PubMed]
- Liu, Z.Q.; Jia, G.D.; Yu, X.X. Water uptake and WUE of Apple tree-Corn Agroforestry in the Loess hilly region of China. Agric. Water Manag. 2020, 234, 106138. [Google Scholar] [CrossRef]
- Ullah, K.; Ahmad, M.; Sofia, M. Assessing the potential of algal biomass opportunities for bioenergy industry: Areview. Fuel 2015, 143, 414–423. [Google Scholar] [CrossRef]
- Vassilev, S.V.; Vassileva, C.G. Composition, properties and challenges of algae biomass for biofuel application: An overview. Fuel 2016, 181, 1–33. [Google Scholar] [CrossRef]
- Christaki, E.; Bonos, E.; Giannenas, I. Functional properties of carotenoids originating from algae. J. Sci. Food Agric. 2013, 93, 5–11. [Google Scholar] [CrossRef]
- Gao, L.Y.; Deng, J.H.; Huang, G.F. Relative distribution of Cd2+ adsorption mechanisms on biochars derived from rice straw and sewage sludge. Bioresour. Technol. 2019, 272, 114–122. [Google Scholar] [CrossRef]
- Hamed, S.M.; Zinta, G.; Kloeck, G. Zinc-induced differential oxidative stress and antioxidant responses in Chlorella sorokiniana and Scenedesmus acuminatus. Ecotoxcol. Environ. Safe 2017, 140, 256–263. [Google Scholar] [CrossRef]
- Gu, P.; Li, Q.; Zhang, W. Effects of different metal ions (Ca, Cu, Pb, Cd) on formation of cyanobacterial blooms. Ecotoxcol. Environ. Safe 2020, 189, 109976. [Google Scholar] [CrossRef]
- Pandey, L.K.; Bergey, E.A. Metal toxicity and recovery response of riverine periphytic algae. Sci. Total Environ. 2018, 642, 1020–1031. [Google Scholar] [CrossRef]
- Godlewska, P.; Siatecka, A.; Konczak, M. Adsorption capacity of phenanthrene and pyrene to engineered carbon-based adsorbents produced from sewage sludge or sewage sludge-biomass mixture in various gaseous conditions. Bioresour. Technol. 2019, 280, 421–429. [Google Scholar] [CrossRef]






| Cultivation Days | A | B | C | D | E | F |
|---|---|---|---|---|---|---|
| 1 | −11.62 ± 2.93 | −4.51 ± 0.50 | −6.29 ± 0.02 | −14.97 ± 1.20 | 84.73 ± 2.15 | −2.47 ± 0.61 |
| 4 | −8.14 ± 2.33 | −2.39 ± 0.86 | −9.65 ± 0.37 | −13.42 ± 1.79 | −88.86 ± 2.80 | 5.21 ± 0.61 |
| 7 | −1.91 ± 0.37 | −3.31 ± 0.67 | −2.38 ± 0.25 | −0.17 ± 0.04 | −14.05 ± 2.24 | 7.93 ± 1.05 |
| 11 | −0.75 ± 0.01 | −1.98 ± 0.11 | 0.49 ± 0.13 | −0.12 ± 0.06 | −5.9 ± 1.73 | 3.95 ± 0.51 |
| 14 | −1.24 ± 0.72 | 0.12 ± 0.06 | 1.85 ± 0.58 | 0 | −3.47 ± 0.03 | −4.66 ± 0.78 |
| 19 | −0.02 ± 0.01 | −0.04 ± 0.02 | 3.25 ± 0.29 | 0 | −0.1 ± 0.07 | −0.31 ± 0.01 |
| 21 | −1.68 ± 0.21 | −3.91 ± 0.15 | −5.75 ± 0.36 | 0 | −8.86 ± 1.85 | −26.32 ± 1.21 |
| Cultivation (days) | A | B | C | D | E | F |
|---|---|---|---|---|---|---|
| 1 | −18.69 ± 2.82 | −25.68 ± 1.53 | −11.81 ± 24.84 | −23.91 ± 2.22 | −12.52 ± 2.34 | −1.72 ± 0.22 |
| 4 | −20.94 ± 3.42 | −12.67 ± 1.27 | −35.9 ± 25.14 | −59.99 ± 1.8 | −16.09 ± 2.46 | 13.28 ± 2.04 |
| 7 | −4.09 ± 0.71 | −7.67 ± 1.95 | −12.54 ± 7.26 | −0.58 ± 0.02 | 3.48 ± 1.52 | 20.55 ± 2.65 |
| 11 | −1.04 ± 0.17 | −1.6 ± 0.03 | −0.09 ± 0.055 | −0.06 ± 0.01 | −14.42 ± 1.52 | 12.43 ± 1.68 |
| 14 | −0.23 ± 0.12 | −0.26 ± 0.05 | −0.05 ± 0.01 | 0 | −0.66 ± 0.03 | −23.35 ± 2.8 |
| 19 | 0.19 ± 0.03 | 0 | 0 | 0 | −0.03 ± 0.01 | −1.09 ± 0.17 |
| 21 | −0.33 ± 0.04 | 0 | 0 | 0 | −0.07 ± 0.02 | 0 |
Publisher’s Note: MDPI stays neutral with regard to jurisdictional claims in published maps and institutional affiliations. |
© 2021 by the authors. Licensee MDPI, Basel, Switzerland. This article is an open access article distributed under the terms and conditions of the Creative Commons Attribution (CC BY) license (https://creativecommons.org/licenses/by/4.0/).
Share and Cite
Hu, Z.; Jin, S.; Ying, R.; Yang, X.; Sun, B. Eucalyptus Leaf Solution to Replace Metals in the Removal of Cyanobacteria in Wastewater from the Paper Mill Industry. Water 2021, 13, 1014. https://doi.org/10.3390/w13081014
Hu Z, Jin S, Ying R, Yang X, Sun B. Eucalyptus Leaf Solution to Replace Metals in the Removal of Cyanobacteria in Wastewater from the Paper Mill Industry. Water. 2021; 13(8):1014. https://doi.org/10.3390/w13081014
Chicago/Turabian StyleHu, Zhewei, Shu Jin, Rongrong Ying, Xiaohui Yang, and Baoping Sun. 2021. "Eucalyptus Leaf Solution to Replace Metals in the Removal of Cyanobacteria in Wastewater from the Paper Mill Industry" Water 13, no. 8: 1014. https://doi.org/10.3390/w13081014
APA StyleHu, Z., Jin, S., Ying, R., Yang, X., & Sun, B. (2021). Eucalyptus Leaf Solution to Replace Metals in the Removal of Cyanobacteria in Wastewater from the Paper Mill Industry. Water, 13(8), 1014. https://doi.org/10.3390/w13081014

