The Sustainable Treatment Effect of Constructed Wetland for the Aquaculture Effluents from Blunt Snout Bream (Megalobrama amblycephala) Farm
Abstract
:1. Introduction
2. Materials and Methods
2.1. Constructed Wetlands and Aquaculture System
2.2. Fish Culturing
2.3. Water Sampling and Water Quality Detection
2.4. Statistical Analysis
3. Results
3.1. Monitoring Running Parameters
3.2. Removal Efficiency of CW on Phosphorus
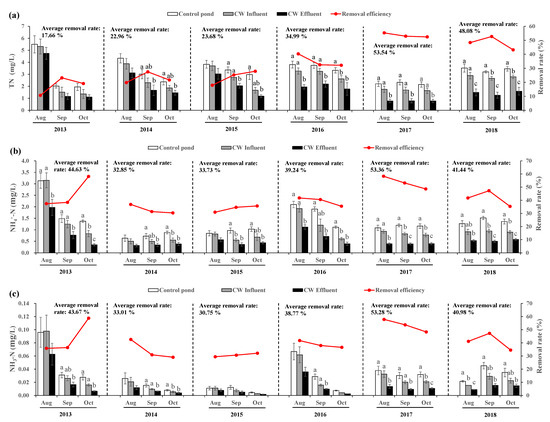
3.3. Removal Efficiency of CW on Nitrogen
3.4. Removal Efficiency of CW on COD
3.5. Removal Efficiency of CW on Chlorophyll a
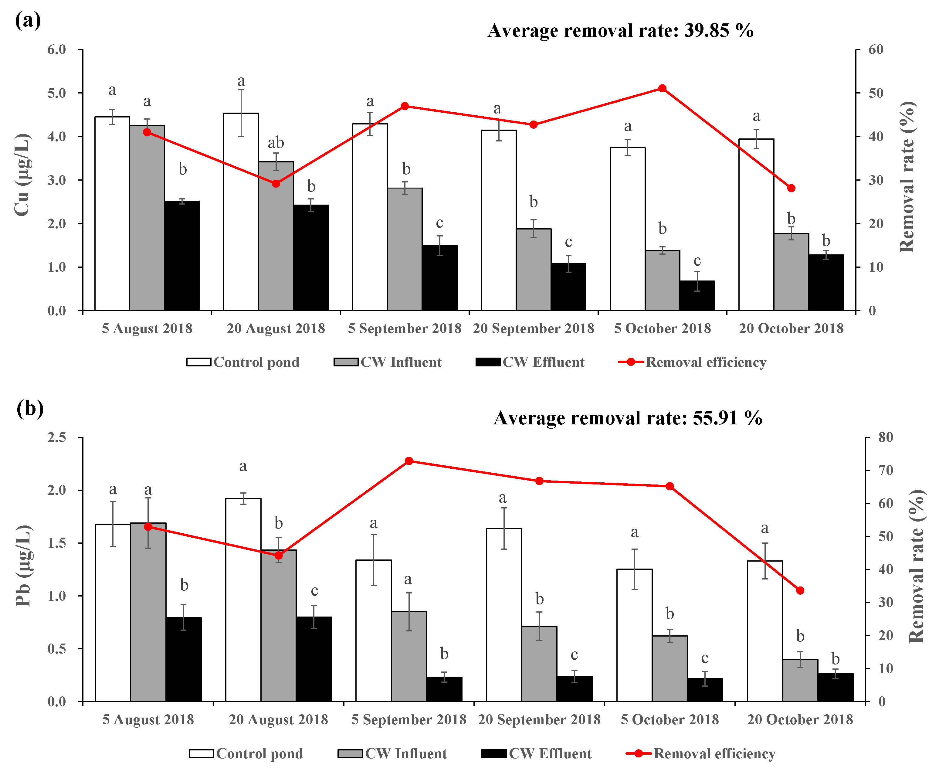
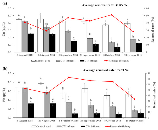
3.6. Removal Efficiency of CW on Heavy Metals
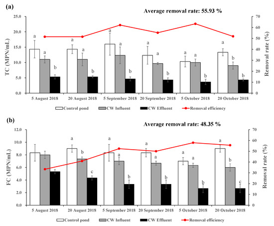
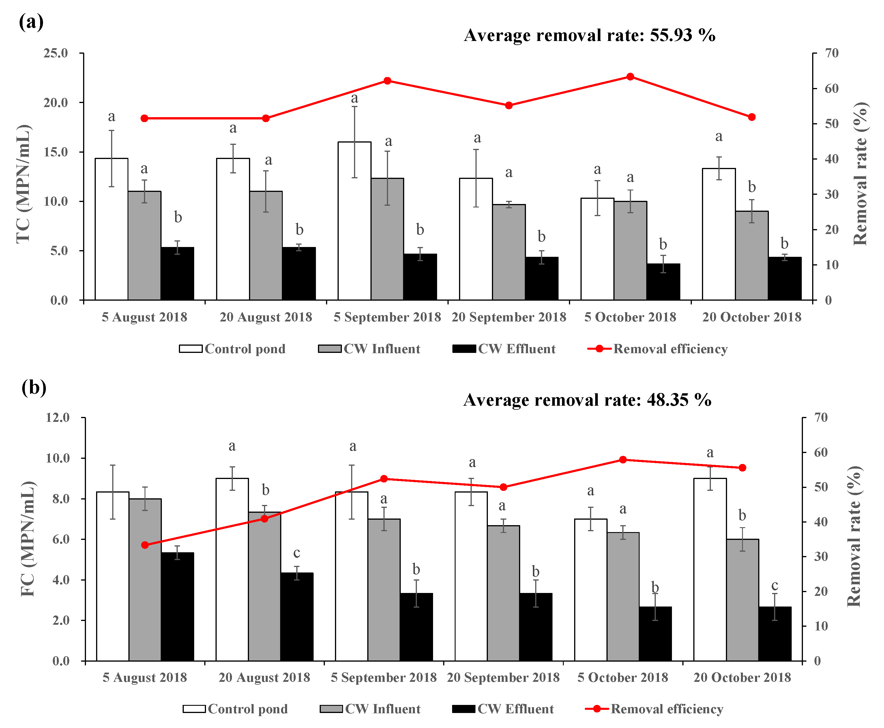
3.7. Removal Efficiency of CW on Pathogenic Microorganism
3.8. Principal Component Analysis for Water Quality Characteristics
3.9. Fish Breeding
4. Discussion
5. Conclusions
Author Contributions
Funding
Institutional Review Board Statement
Informed Consent Statement
Data Availability Statement
Conflicts of Interest
References
- Yu, X.; Xu, L.; Wu, F. China Fishery Statistical Yearbook; China Agriculture Press: Beijing, China, 2020. [Google Scholar]
- Hossain, M.A.; Sarker, A.K.; Amin, M.N.; Hossain, M.M.; Miah, M.S. Development and performance evaluation of sludge remover for intensive aquaculture. Aquac. Eng. 2016, 74, 62–69. [Google Scholar] [CrossRef]
- Al-Shehri, A.M. Toxin-producing blooms of the cyanobacterium Microcystis aeruginosa in rainwater ponds in Saudi Arabia. Oceanol. Hydrobiol. Stud. 2010, 39, 171–187. [Google Scholar] [CrossRef]
- Jegatheesan, V.; Shu, L.; Visvanathan, C. Aquaculture Effluent: Impacts and Remedies for Protecting the Environment and Human Health. In Encyclopedia of Environmental Health; Nriagu, J.O., Ed.; Elsevier: Burlington, NJ, USA, 2011; pp. 123–135. [Google Scholar]
- Md Anawar, H.; Chowdhury, R. Remediation of polluted river water by biological, chemical, ecological and engineering processes. Sustainability 2020, 12, 7017. [Google Scholar] [CrossRef]
- Wang, W.; Chen, J.; Liu, H.; He, Y. The overview of aquaculture water purification technology in China. J. Shanghai Ocean Univ. 2010, 19, 41–48. [Google Scholar]
- Bai, X.; Zhu, X.; Jiang, H.; Wang, Z.; He, C.; Sheng, L.; Zhuang, J. Purification effect of sequential constructed wetland for the polluted water in urban river. Water 2020, 12, 1054. [Google Scholar] [CrossRef] [Green Version]
- Li, X.-L.; Marella, T.K.; Tao, L.; Dai, L.-L.; Peng, L.; Song, C.-F.; Li, G. The application of ceramsite ecological floating bed in aquaculture: Its effects on water quality, phytoplankton, bacteria and fish production. Water Sci. Technol. 2018, 77, 2742–2750. [Google Scholar] [CrossRef] [Green Version]
- Zhang, S.-Y.; Li, G.; Wu, H.-B.; Liu, X.-G.; Yao, Y.-H.; Tao, L.; Liu, H. An integrated recirculating aquaculture system (RAS) for land-based fish farming: The effects on water quality and fish production. Aquac. Eng. 2011, 45, 93–102. [Google Scholar] [CrossRef]
- Lin, Y.F.; Jing, S.R.; Lee, D.Y.; Chang, Y.F.; Sui, H.Y. Constructed wetlands for water pollution management of aquaculture farms conducting earthen pond culture. Water Environ. Res. 2010, 82, 759–768. [Google Scholar] [CrossRef] [PubMed]
- Konnerup, D.; Koottatep, T.; Brix, H. Treatment of domestic wastewater in tropical, subsurface flow constructed wetlands planted with Canna and Heliconia. Ecol. Eng. 2009, 35, 248–257. [Google Scholar] [CrossRef]
- Lin, Y.F.; Jing, S.R.; Lee, D.Y.; Wang, T.W. Removal of Solids and Oxygen Demand from Aquaculture Wastewater with a Constructed Wetland System in the Start-Up Phase. Water Environ. Res. 2002, 74, 136–141. [Google Scholar] [CrossRef]
- Sindilariu, P.D.; Brinker, A.; Reiter, R. Factors influencing the efficiency of constructed wetlands used for the treatment of intensive trout farm effluent. Ecol. Eng. 2009, 35, 711–722. [Google Scholar] [CrossRef]
- Sindilariu, P.-D.; Wolter, C.; Reiter, R. Constructed wetlands as a treatment method for effluents from intensive trout farms. Aquaculture 2008, 277, 179–184. [Google Scholar] [CrossRef]
- Omotade, I.F.; Alatise, M.O.; Olanrewaju, O.O. Recycling of aquaculture wastewater using charcoal based constructed wetlands. Int. J. Phytoremediat. 2019, 21, 399–404. [Google Scholar] [CrossRef]
- Hang Pham, T.T.; Cochevelou, V.; Khoa Dinh, H.D.; Breider, F.; Rossi, P. Implementation of a constructed wetland for the sustainable treatment of inland shrimp farming water. J. Environ. Manag. 2021, 279, 111782. [Google Scholar] [CrossRef]
- Gorito, A.M.; Ribeiro, A.R.; Gomes, C.R.; Almeida, C.M.R.; Silva, A.M.T. Constructed wetland microcosms for the removal of organic micropollutants from freshwater aquaculture effluents. Sci. Total Environ. 2018, 644, 1171–1180. [Google Scholar] [CrossRef] [PubMed]
- Jiang, F.Y.; Chen, X.; Luo, A.C. Iron plaque formation on wetland plants and its influence on phosphorus, calcium and metal uptake. Aquat. Ecol. 2009, 43, 879–890. [Google Scholar] [CrossRef]
- Hu, J. Study on the Growth and Sewage Purification Effect of Barracuda in Constructed Wetland; South China Normal University: Guangzhou, China, 2010. [Google Scholar]
- China Environmental Protection Administration. Monitor and Analysis Method of Water and Wastewater, 4th ed.; Chinese Environmental Science Publication House: Beijing, China, 2002.
- China Ministry of Environmental Protection. Water Quality-Determination of Chlorophyll a—Spectrophotometric Method; Standards Press of China: Beijing, China, 2017.
- Chen, X.; Su, Y.; Liu, H.; Yang, J. Active Biomonitoring of Metals with Cultured Anodonta woodiana: A Case Study in the Taihu Lake, China. Bull. Environ. Contam. Toxicol. 2019, 102, 198–203. [Google Scholar] [CrossRef]
- China Ministry of Environmental Protection. Water Quality-Determination of Total Coliforms and Fecal Coliforms Paper Strip Method; Standards Press of China: Beijing, China, 2015.
- Yi, D.; Wu, Z.; Wang, X. Potential of phosphorus release from lake water and sediments on algae growth in Taihu Lake. J. Nanjing Univ. 1996, 32, 253–260. [Google Scholar]
- Smith, V.H.; Tilman, G.D.; Nekola, J.C. Eutrophication: Impacts of excess nutrient inputs on freshwater, marine, and terrestrial ecosystems. Environ. Pollut. 1999, 100, 179–196. [Google Scholar] [CrossRef]
- Guan, C.; Yu, D.; Zheng, X.; Wei, Y. Removing Nitrogen and Phosphoros of Effluent from Wastewater Treatment Plants by Constructed Wetlands in China: An Overview. J. Agro Environ. Sci. 2012, 31, 2309–2320. [Google Scholar]
- Wang, J.; Wang, W.; Xiong, J.; Li, L.; Zhao, B.; Sohail, I.; He, Z. A constructed wetland system with aquatic macrophytes for cleaning contaminated runoff/storm water from urban area in Florida. J. Environ. Manag. 2021, 280, 111794. [Google Scholar] [CrossRef]
- China Ministry of Rural Agriculture. Freshwater Aquaculture Effluent Discharge Requirements; Standards Press of China: Beijing, China, 2017; pp. 1–14.
- Singh, R.P.; He, J.Y.; Peng, W.X. Phosphorus Removal Efficiency of Different Media and Macrophyte in Constructed Wetland. In Proceedings of the International Conference of Environment Materials and Environment Management, Harbin, China, 24–25 July 2010; pp. 2368–2372. [Google Scholar]
- Wu, H.; Zhang, J.; Ngo, H.H.; Guo, W.; Hu, Z.; Liang, S.; Fan, J.; Liu, H. A review on the sustainability of constructed wetlands for wastewater treatment: Design and operation. Bioresour. Technol. 2015, 175, 594–601. [Google Scholar] [CrossRef]
- Vohla, C.; Kõiv, M.; Bavor, H.J.; Chazarenc, F.; Mander, Ü. Filter materials for phosphorus removal from wastewater in treatment wetlands—A review. Ecol. Eng. 2011, 37, 70–89. [Google Scholar] [CrossRef]
- Grizzetti, B.; Bouraoui, F.; Billen, G.; van Grinsven, H.; Cardoso, A.C.; Thieu, V.; Garnier, J.; Curtis, C.; Howarth, R.W.; Johnes, P. Nitrogen as a Threat to European Water Quality; Cambridge University Press: Cambridge, UK, 2011. [Google Scholar]
- Vinni, M.; Horppila, J.; Olin, M.; Ruuhijarvi, J.; Nyberg, K. The food, growth and abundance of five co-existing cyprinids in lake basins of different morphometry and water quality. Aquat. Ecol. 2000, 34, 421–431. [Google Scholar] [CrossRef]
- Sehar, S.; Aamir, R.; Naz, I.; Ali, N.; Ahmed, S. Reduction of Contaminants (Physical, Chemical, and Microbial) in Domestic Wastewater through Hybrid Constructed Wetland. ISRN Microbiol. 2013, 2013, 350260. [Google Scholar] [CrossRef] [PubMed] [Green Version]
- Alonso, A.; Camargo, J.A. Short-Term Toxicity of Ammonia, Nitrite, and Nitrate to the Aquatic Snail Potamopyrgus antipodarum (Hydrobiidae, Mollusca). Bull. Environ. Contam. Toxicol. 2003, 70, 1006–1012. [Google Scholar] [CrossRef] [PubMed]
- Valencia-Castañeda, G.; Frías-Espericueta, M.G.; Vanegas-Pérez, R.C.; Chávez-Sánchez, M.C.; Páez-Osuna, F. Toxicity of ammonia, nitrite and nitrate to Litopenaeus vannamei juveniles in low-salinity water in single and ternary exposure experiments and their environmental implications. Environ. Toxicol. Pharmacol. 2019, 70, 103193. [Google Scholar] [CrossRef]
- Ip, Y.K.; Chew, S.F. Ammonia production, excretion, toxicity, and defense in fish: A review. Front. Physiol. 2010, 1, 134. [Google Scholar] [CrossRef] [Green Version]
- Lin, Y.-F.; Jing, S.-R.; Lee, D.-Y.; Wang, T.-W. Nutrient removal from aquaculture wastewater using a constructed wetlands system. Aquaculture 2002, 209, 169–184. [Google Scholar] [CrossRef]
- Lu, J.; Guo, Z.; Kang, Y.; Fan, J.; Zhang, J. Recent advances in the enhanced nitrogen removal by oxygen-increasing technology in constructed wetlands. Ecotoxicol. Environ. Saf. 2020, 205, 111330. [Google Scholar] [CrossRef] [PubMed]
- Liu, F.-F.; Fan, J.; Du, J.; Shi, X.; Zhang, J.; Shen, Y. Intensified nitrogen transformation in intermittently aerated constructed wetlands: Removal pathways and microbial response mechanism. Sci. Total Environ. 2019, 650, 2880–2887. [Google Scholar] [CrossRef]
- Liu, Y. The Ecological Evaluation of Nitrogen and Phosphorus Removals of Domestic Sewage for Constructed Wetland Plants; Nanchang University: Nanchang, China, 2011. [Google Scholar]
- Su, S.; Zhou, Y.; Qin, J.G.; Wang, W.; Yao, W.; Song, L. Physiological responses of Egeria densa to high ammonium concentration and nitrogen deficiency. Chemosphere 2012, 86, 538–545. [Google Scholar] [CrossRef]
- Uusheimo, S.; Huotari, J.; Tulonen, T.; Aalto, S.; Rissanen, A.; Arvola, L. High Nitrogen Removal in a Constructed Wetland Receiving Treated Wastewater in a Cold Climate. Environ. Sci. Technol. 2018, 52, 13343–13350. [Google Scholar] [CrossRef]
- Xie, A.; Chen, H.; You, S. Advance of Nitrogen Removal in Constructed Wetland. IOP Conf. Ser. Mater. Sci. Eng. 2018, 301, 012120. [Google Scholar] [CrossRef]
- Wang, Y.; Yang, J.; Xu, H.; Liu, C.; Shen, Z.; Hu, K. Preparation of Ceramsite Based on Waterworks Sludge and Its Application as Matrix in Constructed Wetlands. Int. J. Environ. Res. Public Health 2019, 16, 2637. [Google Scholar] [CrossRef] [PubMed] [Green Version]
- Xia, H.X.; Zhu, Q.H. Purification Effect of Self-Aeration Constructed Wetlands on COD. Adv. Mater. Res. 2013, 690–693, 1122–1126. [Google Scholar] [CrossRef]
- Lu, Y.; Shihe, W.; Weiguo, L.; Juan, H.; Qiushuang, Z. Study on the Oxygen Condition in Subsurface Flow Wetlands in Operation. Environ. Sci. 2006, 27, 2009–2013. [Google Scholar]
- Wang, H.; Jiang, D.L.; Yang, Y.; Cao, G.P. Analysis of chemical reaction kinetics of depredating organic pollutants from secondary effluent of wastewater treatment plant in constructed wetlands. Water Sci. Technol. 2013, 67, 353–358. [Google Scholar] [CrossRef]
- Ye, J.-F.; Xu, Z.-X.; LI, H.-Z. Dynamic Rule of Organic Matter Removal in Vertical-Flow Constructed Wetland. Environ. Sci. 2008, 29, 2167–2171. [Google Scholar]
- Jiang, S.H.; Tang, B.P.; Ren, Y.C.; Ge, B.M.; Tong, X.Y. Annual Variation Characteristics of Chlorophyll a in Typical Sea Cucumber Apostichopus japonicus Culture Ponds. Turk. J. Fish. Aquat. Sci. 2020, 20, 235–240. [Google Scholar] [CrossRef]
- Hartshorn, N.; Marimon, Z.; Xuan, Z.M.; Cormier, J.; Chang, N.B.; Wanielista, M. Complex interactions among nutrients, chlorophyll-a, and microcystins in three stormwater wet detention basins with floating treatment wetlands. Chemosphere 2016, 144, 408–419. [Google Scholar] [CrossRef]
- Zhong, T.; Tian, Y.H.; Song, B.R.; Chen, Z.J.; Zhang, Y.; Chen, Z.H. Effect of four wetland plants on nutrient removal and growth of eutrophic algae. Aquat. Ecosyst. Health Manag. 2016, 19, 49–57. [Google Scholar] [CrossRef]
- Moss, B. Biomanipulation Tool for Water Management; Engineering and Biological Approaches to the Restoration from Eutrophication of Shallow Lakes in Which Aquatic Plant Communities Are Important Components; Springer: New York, NY, USA, 1990; pp. 367–377. [Google Scholar]
- Cao, J.; Sheng, X.; Liu, Q.; Zhao, F. Removal Effects of Constructed Wetlands on Algae. J. Shanxi Agric. Univ. 2013, 33, 319–323. [Google Scholar]
- Gupta, A.; Rai, D.K.; Pandey, R.S.; Sharma, B. Analysis of some heavy metals in the riverine water, sediments and fish from river Ganges at Allahabad. Environ. Monit. Assess. 2009, 157, 449–458. [Google Scholar] [CrossRef] [PubMed]
- Pandey, G.; Madhuri, S. Heavy metals causing toxicity in animals and fishes. Res. J. Anim. Vet. Fish. Sci. 2014, 2, 17–23. [Google Scholar]
- Bakhshoodeh, R.; Alavi, N.; Mohammadi, A.S.; Ghanavati, H. Removing heavy metals from Isfahan composting leachate by horizontal subsurface flow constructed wetland. Environ. Sci. Pollut. Res. 2016, 23, 12384–12391. [Google Scholar] [CrossRef]
- Terzaki, S.; Fountoulakis, M.S.; Georgaki, I.; Albantakis, D.; Sabathianakis, I.; Karathanasis, A.D.; Kalogerakis, N.; Manios, T. Constructed wetlands treating highway runoff in the central Mediterranean region. Chemosphere 2008, 72, 141–149. [Google Scholar] [CrossRef]
- Khan, S.; Ahmad, I.; Shah, M.T.; Rehman, S.; Khaliq, A. Use of constructed wetland for the removal of heavy metals from industrial wastewater. J. Environ. Manag. 2009, 90, 3451–3457. [Google Scholar] [CrossRef]
- Zeng, Z.; Luo, W.-G.; Yi, F.-C.; Huang, F.-Y.; Wang, C.-X.; Zhang, Y.-P.; Cheng, Q.-Q.; Wang, Z. Horizontal Distribution of Cadmium in Urban Constructed Wetlands: A Case Study. Sustainability 2021, 13, 5381. [Google Scholar] [CrossRef]
- Wang, J.; Lu, X.; Zhang, J.; Ouyang, Y.; Wei, G.; Xiong, Y. Rice intercropping with alligator flag (Thalia dealbata): A novel model to produce safe cereal grains while remediating cadmium contaminated paddy soil. J. Hazard. Mater. 2020, 394, 122505. [Google Scholar] [CrossRef]
- Lin, Y.; Wen, S.; Wang, D. Heavy metals removal property of major afforested plants in Xiangtan manganese mine area, central-south China. In Proceedings of the 3rd International Conference on Civil Engineering and Transportation (ICCET 2013), Kunming, China, 14–15 December 2014; p. 833. [Google Scholar]
- Dong, X.X.; Yang, F.; Yang, S.P.; Yan, C.Z. Subcellular distribution and tolerance of cadmium in Canna indica L. Ecotoxicol. Environ. Saf. 2019, 185, 109692. [Google Scholar] [CrossRef]
- Wang, T.; Duan, J.; Wang, J.; Liu, J.; Hu, J. Biomass allocation pattern of Canna indica L. at different growthstages and its accumulation and distribution characteristics of heavy metals. Huanjing Huaxue Environ. Chem. 2020, 39, 1031–1038. [Google Scholar] [CrossRef]
- Li, S.; Zhang, K.; Zhang, L.; Chen, Q. Use of Ornamental in Phytoremediation of Heavy Metals in Sewage Sludge. In Proceedings of the 2nd International Conference on Civil Engineering and Transportation (ICCET 2012), Guilin, China, 27–28 October 2013; p. 1044. [Google Scholar]
- Song, X.; Yan, D.; Liu, Z.; Chen, Y.; Lu, S.; Wang, D. Performance of laboratory-scale constructed wetlands coupled with micro-electric field for heavy metal-contaminating wastewater treatment. Ecol. Eng. 2011, 37, 2061–2065. [Google Scholar] [CrossRef]
- Kaushal, M.; Patil, M.D.; Wani, S.P. Potency of constructed wetlands for deportation of pathogens index from rural, urban and industrial wastewater. Int. J. Environ. Sci. Technol. 2018, 15, 637–648. [Google Scholar] [CrossRef] [Green Version]
- Kaushal, M.; Wani, S.; Patil, M.; Datta, A. Monitoring efficacy of constructed wetland for treating domestic effluent–microbiological approach. Curr. Sci. 2016, 110, 1710–1715. [Google Scholar] [CrossRef]
- Alufasi, R.; Gere, J.; Chakauya, E.; Lebea, P.; Parawira, W.; Chingwaru, W. Mechanisms of pathogen removal by macrophytes in constructed wetlands. Environ. Technol. Rev. 2017, 6, 135–144. [Google Scholar] [CrossRef]
- Vymazal, J. Removal of enteric bacteria in constructed treatment wetlands with emergent macrophytes: A review. J. Environ. Sci. Health 2005, 40, 1355–1367. [Google Scholar] [CrossRef]
- China Environmental Protection Agency. Water Quality Standard for Fisheries; Standards Press of China: Beijing, China, 1989.
- China Environmental Protection Agency. Environmental Quality Standards for Surface Water; Standards Press of China: Beijing, China, 2002.








Publisher’s Note: MDPI stays neutral with regard to jurisdictional claims in published maps and institutional affiliations. |
© 2021 by the authors. Licensee MDPI, Basel, Switzerland. This article is an open access article distributed under the terms and conditions of the Creative Commons Attribution (CC BY) license (https://creativecommons.org/licenses/by/4.0/).
Share and Cite
Li, B.; Jia, R.; Hou, Y.; Zhang, C.; Zhu, J.; Ge, X. The Sustainable Treatment Effect of Constructed Wetland for the Aquaculture Effluents from Blunt Snout Bream (Megalobrama amblycephala) Farm. Water 2021, 13, 3418. https://doi.org/10.3390/w13233418
Li B, Jia R, Hou Y, Zhang C, Zhu J, Ge X. The Sustainable Treatment Effect of Constructed Wetland for the Aquaculture Effluents from Blunt Snout Bream (Megalobrama amblycephala) Farm. Water. 2021; 13(23):3418. https://doi.org/10.3390/w13233418
Chicago/Turabian StyleLi, Bing, Rui Jia, Yiran Hou, Chengfeng Zhang, Jian Zhu, and Xianping Ge. 2021. "The Sustainable Treatment Effect of Constructed Wetland for the Aquaculture Effluents from Blunt Snout Bream (Megalobrama amblycephala) Farm" Water 13, no. 23: 3418. https://doi.org/10.3390/w13233418
APA StyleLi, B., Jia, R., Hou, Y., Zhang, C., Zhu, J., & Ge, X. (2021). The Sustainable Treatment Effect of Constructed Wetland for the Aquaculture Effluents from Blunt Snout Bream (Megalobrama amblycephala) Farm. Water, 13(23), 3418. https://doi.org/10.3390/w13233418

