A Comparison of Methods to Address Anaerobic Conditions in Rainwater Harvesting Systems
Abstract
1. Introduction
2. Materials and Methods
2.1. Site Description
2.2. Monitoring Design
2.3. Data Analyses
3. Results and Discussion
3.1. Pollen
3.2. Dissolved Oxygen
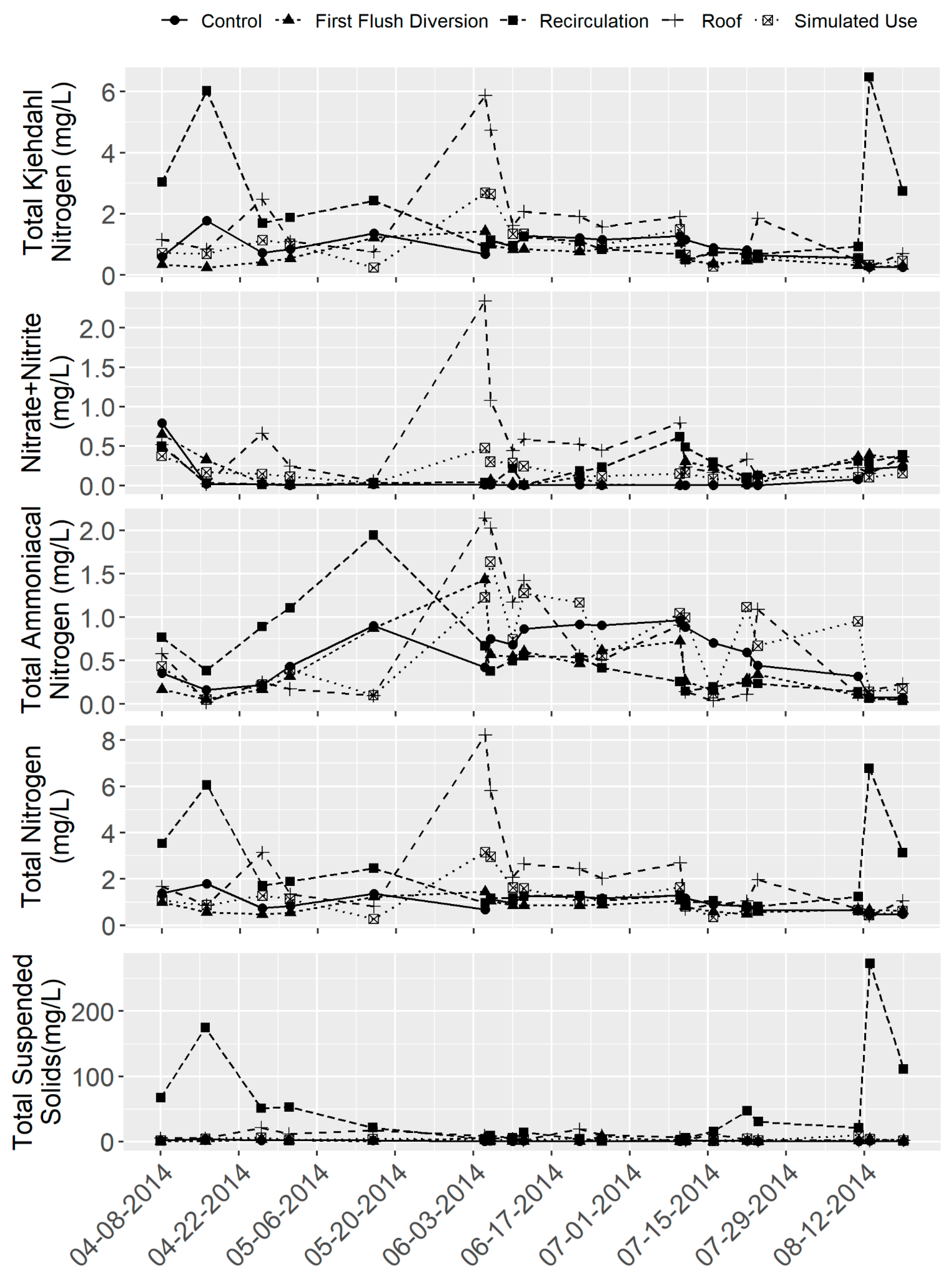
3.3. Water Quality
3.4. Aesthetics
3.5. Implications for Stormwater Management
4. Conclusions
Author Contributions
Funding
Data Availability Statement
Acknowledgments
Conflicts of Interest
References
- Kus, B.; Kandasamy, J.; Vigneswaran, S.; Shon, H.K. Analysis of first flush to improve the water quality in rainwater tanks. Water Sci. Technol. 2010, 61, 421–428. [Google Scholar] [CrossRef]
- Gikas, G.D.; Tsihrintzis, V.A. Effect of first-flush device, roofing material, and antecedent dry days on water quality of harvested rainwater. Environ. Sci. Pollut. Res. 2017, 24, 21997–22006. [Google Scholar] [CrossRef] [PubMed]
- Campisano, A.; Butler, D.; Ward, S.; Burns, M.J.; Friedler, E.; DeBusk, K.; Fisher-Jeffes, L.N.; Ghisi, E.; Rahman, A.; Furumai, H.; et al. Urban rainwater harvesting systems: Research, implementation and future perspectives. Water Res. 2017, 115, 195–209. [Google Scholar] [CrossRef] [PubMed]
- Phoca, I.; Valavanis, P. Rediscovering Ancient Greece Architecture and City Planning; Kedros Books: Athens, Greece, 1999; 126p. [Google Scholar]
- Crasta, F.M.; Fasso, C.A.; Patta, F.; Putzu, G. Carthaginian–roman cisterns in Sardinia. In Proceedings of the International Conference on Rainwater Cistern Systems; University of Hawaii: Honolulu, HI, USA, 1982; pp. 37–45. [Google Scholar]
- Radhakrishna, B.P. Rainwater harvesting, a time-honoured practice: Need for revival. Curr. Sci. 2003, 85, 1259–1261. [Google Scholar]
- Abdulla, F.A.; Al-Shareef, A.W. Roof rainwater harvesting systems for household water supply in Jordan. Desalination 2009, 243, 195–207. [Google Scholar] [CrossRef]
- Gianighian, G. Venice and fresh water: Reintroduction of the use of ancient systems through rehabilitation of traditional cisterns” in parancola. In L’Acqua Salvata: Utilizzo Integrato in una Prospettiva di Biofitodepurazione; IUAV-DAEST: Venice, Italy, 1996; p. 57. [Google Scholar]
- Lee, K.T.; Lee, C.D.; Yang, M.S.; Yu, C.C. SW—Soil and water: Probabilistic design of storage capacity for rainwater cistern systems. J. Agric. Eng. Res. 2000, 77, 343–348. [Google Scholar] [CrossRef]
- Field, C.B.; Barros, V.R.; Dokken, D.J.; Mach, K.J.; Mastrandrea, M.D.; Bilir, T.E.; Chatterjee, M.; Ebi, K.L.; Estrada, Y.O.; Genova, R.C.; et al. Impacts, Adaptation, and Vulnerability. Part A: Global and Sectoral Aspects; Contribution of Working Group II to the Fifth Assessment Report of the Intergovernmental Panel on Climate Change; Cambridge University Press: Cambridge, UK; New York, NY, USA, 2014; p. 1132. [Google Scholar]
- Coombes, P.J.; Barry, M.E. The effect of selection of time steps and average assumptions on the continuous simulation of rainwater harvesting strategies. Water Sci. Technol. 2007, 55, 125–133. [Google Scholar] [CrossRef]
- Herrmann, T.; Hasse, K. Ways to get water: Rainwater utilization or long-distance water supply? A holistic assessment. Water Sci. Technol. 1997, 36, 313–318. [Google Scholar] [CrossRef]
- Zhang, D.; Gersberg, R.M.; Wilhelm, C.; Voigt, M. Decentralized water management: Rainwater harvesting and greywater reuse in an urban area of Beijing, China. Urban Water J. 2009, 6, 375–385. [Google Scholar] [CrossRef]
- Mendez, C.B.; Klenzendorf, J.B.; Afshar, B.R.; Simmons, M.T.; Barrett, M.E.; Kinney, K.A.; Kirisits, M.J. The effect of roofing material on the quality of harvested rainwater. Water Res. 2011, 45, 2049–2059. [Google Scholar] [CrossRef] [PubMed]
- ABS. Water Account, Australia, 2014–2015. 2016. Available online: https://www.abs.gov.au/AUSSTATS/abs@.nsf/DetailsPage/4610.02014-15?OpenDocument (accessed on 28 July 2021).
- Gould, J.; Qiang, Z.; Yuanhong, L. Using every last drop: Rainwater harvesting and utilization in Gansu Province, China. Waterlines 2014, 33, 107–119. [Google Scholar] [CrossRef]
- Gee, K.D.; Sojka, S. Maximizing the benefits of rainwater harvesting systems: Review and analysis of selected case study examples. In Resilient Water Management Strategies in Urban Settings: Innovations in Decentralized Water Infrastructure Systems: Global Case Studies, Prospects, and Challenges; Younos, T., Lee, J., Parece, T.E., Eds.; Springer Water: New York, NY, USA, 2021; In press. [Google Scholar]
- United Nations. World Population Prospects: The 2012 Revision: Highlights and Advance Tables; Department of Economic and Social Affairs, Population Division, United Nations: New York, NY, USA, 2013. [Google Scholar]
- Musayev, S.; Burgess, E.; Mellor, J. A global performance assessment of rainwater harvesting under climate change. Resour. Conserv. Recycl. 2018, 132, 62–70. [Google Scholar] [CrossRef]
- Kahinda, J.M.; Taigbenu, A.E.; Boroto, R.J. Domestic rainwater harvesting as an adaptation measure to climate change in South Africa. Phys. Chem. Earth 2010, 35, 742–751. [Google Scholar] [CrossRef]
- Vargas-Parra, M.V.; Rovira-Val, M.R.; Gabarrell, X.; Villalba, G. Rainwater harvesting systems reduce detergent use. Int. J. Life Cycle Assess. 2019, 24, 809. [Google Scholar] [CrossRef]
- Zhang, F.; Polyakov, M.; Fogarty, J.; Pannell, D.J. The capitalized value of rainwater tanks in the property market of Perth, Australia. J. Hydrol. 2015, 522, 317–325. [Google Scholar] [CrossRef]
- Jamali, B.; Bach, P.M.; Deletic, A. Rainwater harvesting for urban flood management—An integrated modelling framework. Water Res. 2020, 171, 115372. [Google Scholar] [CrossRef]
- Braga, A.; O’Grady, H.; Dabak, T.; Lane, C. Performance of Two Advanced Rainwater Harvesting Systems in Washington DC. Water 2018, 10, 667. [Google Scholar] [CrossRef]
- Gee, K.D.; Hunt, W.F. Enhancing Stormwater Management Benefits of Rainwater Harvesting via Innovative Technologies. J. Environ. Eng. 2016, 142, 04016039. [Google Scholar] [CrossRef]
- Teston, A.; Teixeira, C.A.; Ghisi, E.; Cardoso, E.B. Impact of Rainwater Harvesting on the Drainage System: Case Study of a Condominium of Houses in Curitiba, Southern Brazil. Water 2018, 10, 1100. [Google Scholar] [CrossRef]
- DeBusk, K.M.; Hunt, W.F.; Wright, J.D. Characterization of Rainwater Harvesting Performance in Humid Regions of the United States. JAWRA J. Am. Water Resour. Assoc. 2013, 49, 1398–1411. [Google Scholar] [CrossRef]
- DeBusk, K.M.; Hunt, W.F. Impact of rainwater harvesting systems on nutrient and sediment concentrations in roof runoff. Water Sci. Technol. Water Supply 2014, 14, 220–229. [Google Scholar] [CrossRef]
- Wilson, C.E.; Hunt, W.F.; Winston, R.J.; Smith, P. Assessment of a rainwater harvesting system for pollutant mitigation at a commercial location in Raleigh, NC, USA. Water Sci. Technol. Water Supply 2014, 14, 283–290. [Google Scholar] [CrossRef]
- Khastagir, A.; Jayasuriya, L.N.N. Impacts of using rainwater tanks on stormwater harvesting and runoff quality. Water Sci. Technol. 2010, 62, 324–329. [Google Scholar] [CrossRef][Green Version]
- Ward, S.; Memon, F.A.; Butler, D. Harvested rainwater quality: The importance of appropriate design. Water Sci. Technol. 2010, 61, 1707–1714. [Google Scholar] [CrossRef]
- North Carolina Department of Transportation (NCDOT). Traffic Volume Maps. 2009. Available online: http://ncdot.gov/travel/statemapping/trafficvolumemaps/ (accessed on 14 January 2012).
- Howley, S.T.; Hohman, S.P.; Reisinger, A.J. Stormwater Pond Management: What You Need to Know about Aeration; University of Florida IFAS Extension: Gainesville, FL, USA, 2021. [Google Scholar]
- North Carolina Department of Environmental Quality Division of Air Quality, North Carolina Department of Environmental Quality (NCDEQ). Pollen Monitoring. 2015. Available online: http://deq.nc.gov/about/divisions/air-quality/air-quality-data/nata-epa-national-air-toxics-assessment-for-north-carolina/pollen-monitoring (accessed on 15 October 2016).
- APHA; AWWA; WPCF. Standard Methods for the Examination of Water and Wastewater, 22nd ed.; American Public Health Association: Washington, DC, USA, 2012. [Google Scholar]
- Downing, A.L.; Truesdale, G.A. Some factors affecting the rate of solution of oxygen in water. J. Appl. Chem. 1955, 5, 570–581. [Google Scholar] [CrossRef]
- Parnas, H. Model for decomposition of organic material by microorganisms. Soil Biol. Biochem. 1975, 7, 161–169. [Google Scholar] [CrossRef]
- Sanjeeva, A.; Puttaswamaiah, S.G. Influence of Atmospheric Deposition and Roof Materials on Harvested Rainwater Quality. J. Environ. Eng.-ASCE 2018, 144, 04018121. [Google Scholar] [CrossRef]
- Mao, J.; Xia, B.; Zhou, Y.; Bi, F.; Zhang, X.; Zhang, W.; Xia, S. Effect of roof materials and weather patterns on the quality of harvested rainwater in Shanghai, China. J. Clean Prod. 2021, 279, 123419. [Google Scholar] [CrossRef]
- John, C.K.; Pu, J.H.; Moruzzi, R.; Pandey, M.; Azamathulla, H.M. Reusable rainwater quality at the Ikorodu area of Lagos, Nigeria: Impact of first-flush and household treatment techniques. J. Wate Sanit. Hyg. Dev. 2021, 11, 732–745. [Google Scholar] [CrossRef]
- Lee, J.Y.; Yang, J.-S.; Han, M.; Choi, J. Comparison of the microbiological and chemical characterization of harvested rainwater and reservoir water as alternative water resources. Sci. Total Environ. 2010, 408, 896–905. [Google Scholar] [CrossRef]
- Meera, V.; Ahammed, M.M. Water quality of rooftop rainwater harvesting systems: A review. J. Water Supply Res. Technol. 2006, 55, 257–268. [Google Scholar] [CrossRef]
- Sazakli, E.; Alexopoulos, A.; Leotsinidis, M. Rainwater harvesting, quality assessment and utilization in Kefalonia Island, Greece. Water Res. 2007, 41, 2039–2047. [Google Scholar] [CrossRef]
- Abbasi, T.; Abbasi, S.A. Sources of pollution in rooftop rainwater harvesting systems and their control. Crit. Rev. Environ. Sci. Technol. 2011, 41, 2097–2167. [Google Scholar] [CrossRef]
- Dissanayake, J.; Han, M. Effect of Inlet/Outlet Configuration on Water Quality in a Rainwater Harvesting Tank. Water 2020, 12, 1970. [Google Scholar] [CrossRef]
- Won, Y.; Han, M.; Park, H.; Kim, M. Optimal rainwater tank design for control of particulate contaminants. Water Supply 2019, 19, 574–579. [Google Scholar] [CrossRef]
- Herrmann, T.; Schmida, U. Rainwater utilisation in Germany: Efficiency, dimensioning, hydraulic and environmental aspects. Urban Water J. 2000, 1, 307–316. [Google Scholar] [CrossRef]
- Magyar, M.I.; Mitchell, V.G.; Ladson, A.R.; Diaper, C. An investigation of rainwater tanks quality and sediment dynamics. Water Sci. Technol. 2007, 56, 21–28. [Google Scholar] [CrossRef]
- Jones, M.P.; Hunt, W.F. Performance of rainwater harvesting systems in the southeastern United States. Resour. Conserv. Recycl. 2010, 54, 623–629. [Google Scholar] [CrossRef]







| TN (mg/L) | TKN (mg/L) | NO2 + NO3 (mg/L) | TAN (mg/L) | TSS (mg/L) | ||
|---|---|---|---|---|---|---|
| ROOF (n = 19) | Minimum | 0.42 | 0.27 | 0.02 | 0.02 | 1.95 |
| Maximum | 8.22 | 5.88 | 2.34 | 2.14 | 21.7 | |
| Median | 1.67 | 1.16 | 0.36 | 0.25 | 5.18 | |
| SIMULATED USE TANK (n = 19) | Minimum | 0.27 | 0.24 | 0.03 | 0.10 | 0.95 |
| Maximum | 3.16 | 2.69 | 0.47 | 1.64 | 9.86 | |
| Median | 1.04 | 0.71 | 0.15 | 0.67 | 3.19 | |
| RECIRCULATING PUMP TANK (n = 19) | Minimum | 0.79 | 0.49 | 0.01 | 0.04 | 0.61 |
| Maximum | 6.78 | 6.48 | 0.62 | 1.95 | 274 | |
| Median | 1.26 | 1.10 | 0.18 | 0.38 | 21.2 | |
| FIRST FLUSH DIVERTER TANK (n = 19) | Minimum | 0.46 | 0.24 | 0.01 | 0.05 | 0.4 |
| Maximum | 1.44 | 1.43 | 0.65 | 1.43 | 7.96 | |
| Median | 0.79 | 0.54 | 0.04 | 0.32 | 1.01 | |
| CONTROL TANK (n = 19) | Minimum | 0.47 | 0.25 | 0.00 | 0.07 | 0.46 |
| Maximum | 1.39 | 1.36 | 0.79 | 0.97 | 4.37 | |
| Median | 0.90 | 0.84 | 0.01 | 0.59 | 1.01 | |
Publisher’s Note: MDPI stays neutral with regard to jurisdictional claims in published maps and institutional affiliations. |
© 2021 by the authors. Licensee MDPI, Basel, Switzerland. This article is an open access article distributed under the terms and conditions of the Creative Commons Attribution (CC BY) license (https://creativecommons.org/licenses/by/4.0/).
Share and Cite
Gee, K.D.; Schimoler, D.; Charron, B.T.; Woodward, M.D.; Hunt, W.F. A Comparison of Methods to Address Anaerobic Conditions in Rainwater Harvesting Systems. Water 2021, 13, 3419. https://doi.org/10.3390/w13233419
Gee KD, Schimoler D, Charron BT, Woodward MD, Hunt WF. A Comparison of Methods to Address Anaerobic Conditions in Rainwater Harvesting Systems. Water. 2021; 13(23):3419. https://doi.org/10.3390/w13233419
Chicago/Turabian StyleGee, Kathy DeBusk, Daniel Schimoler, Bree T. Charron, Mitch D. Woodward, and William F. Hunt. 2021. "A Comparison of Methods to Address Anaerobic Conditions in Rainwater Harvesting Systems" Water 13, no. 23: 3419. https://doi.org/10.3390/w13233419
APA StyleGee, K. D., Schimoler, D., Charron, B. T., Woodward, M. D., & Hunt, W. F. (2021). A Comparison of Methods to Address Anaerobic Conditions in Rainwater Harvesting Systems. Water, 13(23), 3419. https://doi.org/10.3390/w13233419
