Heavy Metals and Microbes Accumulation in Soil and Food Crops Irrigated with Wastewater and the Potential Human Health Risk: A Metadata Analysis
Abstract
1. Introduction
2. Wastewater Quality for Reuse in Irrigation of Agricultural Crops
3. Effect of Wastewater Reuse on Soil and Plant
4. Wastewater Reuse for Animal Production
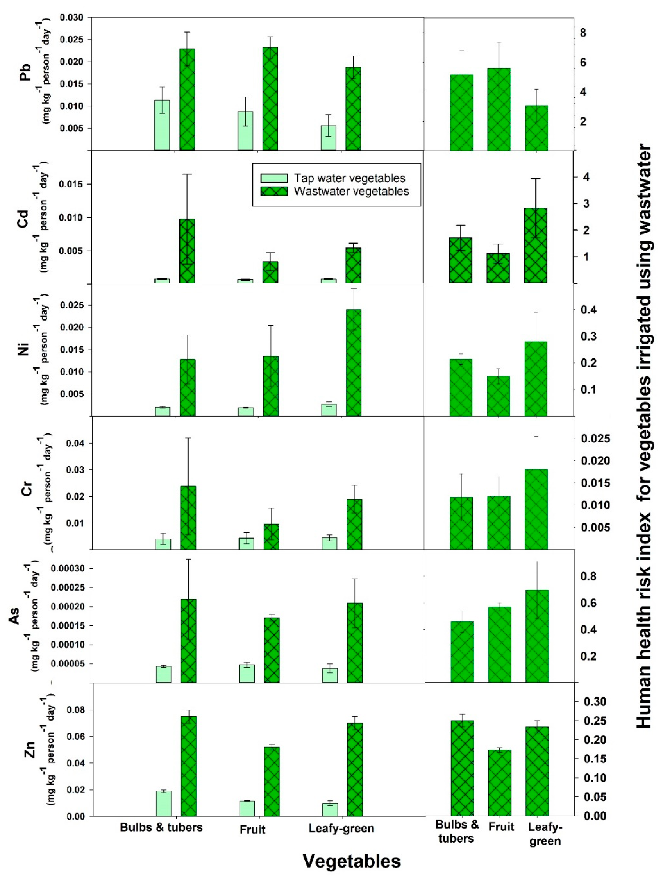
5. Human Health Risk Assessment of Wastewater-Irrigated Crops
6. Conclusions
Author Contributions
Funding
Institutional Review Board Statement
Informed Consent Statement
Data Availability Statement
Conflicts of Interest
References
- Vettera, T.; Rieger, A. Ancient water harvesting in the Old World Dry Belt synopsis and outlook. J. Arid. Environ. 2019, 169, 42–53. [Google Scholar] [CrossRef]
- Sawalhah, M.; Al-Kofahi, S.; Othman, Y.A.; Cibils, A. Assessing rangeland cover conversion in Jordan after the Arab spring using a remote sensing approach. J. Arid. Environ. 2018, 157, 97–102. [Google Scholar] [CrossRef]
- Al-Mefleh, N.K.; Othman, Y.A.; Tadros, M.J.; Al-Assaf, A.; Talozi, S. An assessment of treated greywater reuse in irrigation on growth and protein content of Prosopis and Albizia. Horticulturae 2021, 7, 38. [Google Scholar] [CrossRef]
- Tadros, M.; Al-Mefleh, N.; Othman, Y.; Al-Assaf, A. Water harvesting techniques for improving soil water content, and morpho-physiology of pistachio trees under rainfed conditions. Agric. Water Manag. 2021, 243, 106464. [Google Scholar] [CrossRef]
- Qishlaqi, A.; Moore, F.; Forghani, G. Impact of untreated wastewater irrigation on soils and crops in Shiraz suburban area, SW Iran. Environ. Monit. Assess. 2008, 141, 257–273. [Google Scholar] [CrossRef]
- Khalid, S.; Shahid, M.; Natasha, I.; Sarwar, T.; Shah, A.; Niazi, N. A Review of Environmental Contamination and Health Risk Assessment of Wastewater Use for Crop Irrigation with a Focus on Low and High-Income Countries. Int. J. Environ. Res. Public Health 2018, 15, 895. [Google Scholar] [CrossRef] [PubMed]
- FAO. AquaStat, Food and Agriculture Organization of the United Nations. 2018. Available online: http://www.fao.org/nr/water/aquastat/data/query/results.html (accessed on 15 October 2021).
- Radingoana, M.; Dube, T.; Mazvimavi, D. Progress in greywater reuse for home gardening: Opportunities, perceptions and challenges. Phys. Chem. Earth 2020, 116, 102853. [Google Scholar] [CrossRef]
- Jodar-Abellan, A.; López-Ortiz, M.I.; Melgarejo-Moreno, J. Wastewater Treatment and Water Reuse in Spain. Current Situation and Perspectives. Water 2019, 11, 1551. [Google Scholar] [CrossRef]
- Sohail, M.; Xuan, L.; Lizhi, L.; Rizwanullah, M.; Nasrullah, M.; Xiuyuan, Y.; Manzoor, Z.; Elis, R. Farmers’ awareness about impacts of reusing wastewater, risk perception and adaptation to climate change in Faisalabad District, Pakistan. Pol. J. Environ. Stud. 2021, 30, 4663–4675. [Google Scholar] [CrossRef]
- Ali, M.; Ali, Z.; Ayyash, A. The effect of reuse of treated wastewater in irrigation on some chemical properties of soil and the growth of wheat yield. J. Misurata Uni. Agric. Sci. 2019, 1, 196–208. [Google Scholar]
- Lavrnić, S.; Zapater-Pereyra, M.; Mancini, M.L. Water Scarcity and Wastewater Reuse Standards in Southern Europe: Focus on Agriculture. Water Air Soil Pollut. 2017, 228, 251. [Google Scholar] [CrossRef]
- Jaramillo, M.F.; Restrepo, I. Wastewater reuse in agriculture: A review about its limitations and benefits. Sustainability 2017, 9, 1734. [Google Scholar] [CrossRef]
- Hernández, F.; Molinos, M.; Sala, R. Economic valuation of environmental benefits from wastewater treatment processes: An empirical approach for Spain. Sci. Total Environ. 2010, 408, 953–957. [Google Scholar] [CrossRef]
- WHO. Guidelines for the Safe Use of Wastewater, Excreta and Greywater; World Health Organization: Geneva, Switzerland, 2006; Volume 2. [Google Scholar]
- Lisak, G. Reliable environmental trace heavy metal analysis with potentiometric ion sensors-reality or a distant dream. Environ. Pollut. 2021, 289, 117882. [Google Scholar] [CrossRef] [PubMed]
- Muhammad, N.; Nafees, M.; Ge, L.; Khan, M.; Bilal, M.; Chan, W.; Lisak, G. Assessment of industrial wastewater for potentially toxic elements, human health (dermal) risks, and pollution sources: A case study of Gadoon Amazai industrial estate, Swabi, Pakistan. J. Hazard. Mater. 2021, 419, 126450. [Google Scholar] [CrossRef]
- Aradpour, S.; Noori, R.; Tang, Q.; Bhattarai, R.; Hooshyaripor, F.; Hosseinzadeh, M.; Haghighi, A.; Klöve, B. Metal contamination assessment in water column and surface sediments of a warm monomictic man-made lake: Sabalan Dam Reservoir, Iran. Hydrol. Res. 2020, 51, 799–814. [Google Scholar] [CrossRef]
- Edokpayi, J.; Odiyo, J.; Durowoju, O. Impact of Wastewater on Surface Water Quality in Developing Countries: A Case Study of South Africa; Tutu, H., Ed.; IntechOpen: London, UK, 2017; pp. 401–416. [Google Scholar] [CrossRef]
- Aradpour, S.; Noori, R.; Naseh, M.; Hosseinzadeh, M.; Safavi, S.; Ghahraman-Rozegar, F.; Maghrebi, M. Alarming carcinogenic and non-carcinogenic risk of heavy metals in Sabalan dam reservoir, Northwest of Iran. Environ. Pollut. Bioavailab. 2021, 33, 278–291. [Google Scholar] [CrossRef]
- López-Alonso, M. Animal feed contamination by toxic metals. In Fink-Gremmels, J. Animal Feed Contamination, Effects on Livestock and Food Safety; Woodhead Publishing limited: Cambridge, UK, 2012; pp. 183–204. [Google Scholar]
- Pourmohammadali, B.; Hosseinifard, S.J.; Salehi, M.H.; Shirani, H.; Boroujeni, I.E. Effects of soil properties, water quality and management practices on pistachio yield in Rafsanjan region, southeast of Iran. Agric. Water Manag. 2019, 213, 894–902. [Google Scholar] [CrossRef]
- Muriu-Ng’ang’a, F.W.; Mucheru-Muna, M.; Waswa, F.; Mairura, F.S. Socio-economic factors influencing utilisation of rain water harvesting and saving technologies in Tharaka South, Eastern Kenya. Agric. Water Manag. 2017, 194, 150–159. [Google Scholar] [CrossRef]
- Visser, S.; Keesstra, S.; Maas, G.; De Cleen, M. Soil as a basis to create enabling conditions for transitions towards sustainable land management as a key to achieve the SDGs by 2030. Sustainability 2019, 11, 6792. [Google Scholar] [CrossRef]
- Boano, F.; Caruso, A.; Costamagna, E.; Ridolfi, L.; Fiore, S.; Demichelis, F.; Gavão, A.; Pisoeiro, J.; Rizzo, A.; Masi, F. A review of nature-based solutions for greywater treatment: Applications, hydraulic design, and environmental benefits. Sci. Total Environ. 2020, 711, 134731. [Google Scholar] [CrossRef]
- Friedler, E.; Hadari, M. Economic feasibility of on-site greywater reuse in multistorey buildings. Desalination 2006, 190, 221–234. [Google Scholar] [CrossRef]
- Al-Hamaiedeh, H.; Bino, M. Effect of treated grey water reuse in irrigation on soil and plants. Desalination 2010, 256, 115–119. [Google Scholar] [CrossRef]
- Crini, G.; Lichtfouse, E. Advantages and disadvantages of techniques used for wastewater treatment. Environ. Chem. Lett. 2019, 17, 145–155. [Google Scholar] [CrossRef]
- Michałkiewicz, M. Comparison of wastewater treatment plants based on the emissions of microbiological contaminants. Environ. Monit. Assess. 2018, 190, 640. [Google Scholar] [CrossRef]
- Aghalari, Z.; Dahms, H.; Sillanpää, M.; Sosa-Hernandez, J.; Parra-Saldívar, R. Effectiveness of wastewater treatment systems in removing microbial agents: A systematic review. Glob. Health 2020, 16, 13. [Google Scholar] [CrossRef] [PubMed]
- Udayanga, W.; Veksha, A.; Giannis, A.; Lisak, G.; Chang, V.; Lim, T. Fate and distribution of heavy metals during thermal processing of sewage sludge. Fuel 2018, 226, 721–744. [Google Scholar] [CrossRef]
- Foroughi, M.; Khiadani, M.; Kakhki, S.; Kholghi, V.; Naderi, K.; Yektay, S. Effect of ozonation-based disinfection methods on the removal of antibiotic resistant bacteria and resistance genes (ARB/ARGs) in water and wastewater treatment: A systematic review. Sci. Total Environ. 2021, 9, 151404. [Google Scholar] [CrossRef] [PubMed]
- Al-Ajmi, A.; Salih, A.; Kadim, I.; Othman, Y. Chemical constituents and heavy metals contents of barley fodder produced under hydroponic system in GCC countries using tertiary treated sewage effluents. J. Phytol. 2009, 1, 374–380. [Google Scholar]
- Akoto, O.; Addo, D.; Baidoo, E.; Agyapong, E.; Apau, J.; Fei-Baffoe, B. Heavy metal accumulation in untreated wastewater-irrigated soil and lettuce (Lactuca sativa). Environ. Earth Sci. 2015, 74, 6193–6198. [Google Scholar] [CrossRef]
- Leong, J.; Oh, K.; Poh, P.; Chong, M. Prospects of hybrid rainwater-greywater decentralised system for water recycling and reuse: A review. J. Clean. Prod. 2019, 142, 3014–3027. [Google Scholar] [CrossRef]
- Thebo, A.; Drechsel, P.; Lambin, E.; Nelson, K. A global, spatially-explicit assessment of irrigated croplands influenced by urban wastewater flows. Environ. Res. Lett. 2017, 12, 074008. [Google Scholar] [CrossRef]
- Al-Habahbeh, K.A.; Al-Nawaiseh, M.B.; Al-Sayaydeh, R.S.; Al-Hawadi, J.S.; Albdaiwi, R.N.; Al-Debei, H.S.; Ayad, J.Y. Long-term irrigation with treated municipal wastewater from the Wadi-Musa region: Soil heavy metal accumulation, uptake and partitioning in olive trees. Horticulturae 2021, 7, 152. [Google Scholar] [CrossRef]
- Leal, L.; Soeter, A.; Kools, S.; Kraak, M.; Parsons, J.; Temmink, H.; Zeeman, G.; Buisman, C. Ecotoxicological assessment of greywater treatment systems with Daphnia magna and Chironomus riparius. Water Res. 2012, 46, 1038–1044. [Google Scholar] [CrossRef] [PubMed]
- Li, F.Y.; Wichmann, K.; Otterpohl, R. Review of the technological approaches for grey water treatment and reuses. Sci. Total Environ. 2009, 407, 3439–3449. [Google Scholar] [CrossRef]
- Craddock, H.; Panthi, S.; Rjoub, Y.; Lipchin, C.; Sapkota, A.; Sapkota, A. Antibiotic and herbicide concentrations in household greywater reuse systems and pond water used for food crop irrigation: West Bank, Palestinian Territories. Sci. Total Environ. 2020, 699, 134205. [Google Scholar] [CrossRef] [PubMed]
- Turner, R.; Warne, M.; Dawes, L.; Thompson, K.; Will, G. Greywater irrigation as a source of organic micro-pollutants to shallow groundwater and nearby surface water. Sci. Total Environ. 2019, 669, 570–578. [Google Scholar] [CrossRef] [PubMed]
- Qureshi, A.; Hussain, I.; Ismail, S.; Khan, Q. Evaluating heavy metal accumulation and potential health risks in vegetables irrigated with treated wastewater. Chemosphere 2016, 163, 54–61. [Google Scholar] [CrossRef]
- Rodda, N.; Salukazana, L.; Jackson, S.; Smith, M. Use of domestic greywater for small-scale irrigation of food crops: Effects on plants and soil. Phys. Chem. Earth. 2011, 36, 1051–1062. [Google Scholar] [CrossRef]
- Finley, S.; Barrington, S.; Lyew, D. Reuse of domestic greywater for the irrigation of food crops. Water Air Soil Pollut. 2009, 199, 235–245. [Google Scholar] [CrossRef]
- Eriksson, E.; Auffarth, K.; Henze, M.; Ledin, A. Characteristics of grey wastewater. Urban Water 2020, 4, 85–104. [Google Scholar] [CrossRef]
- Christou, A.; Eliadou, E.; Michael, C.; Hapeshi, E.; Fatta-Kassinos, D. Assessment of long-term wastewater irrigation impacts on the soil geochemical properties and the bioaccumulation of heavy metals to the agricultural products. Environ. Monit. Assess. 2014, 186, 4857–4870. [Google Scholar] [CrossRef]
- Hussain, S.; Abdul Aziz, H.; Isa, M.; Ahmad, A.; Van Leeuwen, J.; Zou, L.; Beecham, S.; Umar, M. Orthophosphate removal from domestic wastewater using limestone and granular activated carbon. Desalination 2011, 271, 265–272. [Google Scholar] [CrossRef]
- Tiwari, K.; Singh, N.; Patel, M.; Tiwari, M.; Rai, U. Metal contamination of soil and translocation in vegetables growing under industrial wastewater irrigated agricultural field of Vadodara, Gujarat, India. Ecotoxicol. Environ. Saf. 2011, 74, 1670–1677. [Google Scholar] [CrossRef]
- Khan, A.; Javid, S.; Muhmood, A.; Mjeed, T.; Niaz, A.; Majeed, A. Heavy metal status of soil and vegetables grown on peri-urban area of Lahore district. Soil Environ. 2013, 32, 49–54. [Google Scholar]
- Khan, M.; Malik, R.; Muhammad, S. Human health risk from Heavy metal via food crops consumption with wastewater irrigation practices in Pakistan. Chemosphere 2013, 93, 2230–2238. [Google Scholar] [CrossRef]
- Turner, R.; Warne, M.; Dawes, L.; Vardy, S.; Will, G. Irrigated greywater in an urban sub-division as a potential source of metals to soil, groundwater and surface water. J. Environ. Manag. 2016, 183, 806–817. [Google Scholar] [CrossRef] [PubMed]
- Kinuthia, G.; Ngure, V.; Beti, D.; Lugalia, R.; Wangila, A.; Kamau, L. Levels of heavy metals in wastewater and soil samples from open drainage channels in Nairobi, Kenya: Community health implication. Sci. Rep. 2020, 10, 8434. [Google Scholar] [CrossRef] [PubMed]
- Abdoulkader, B.A.; Mohamed, B.; Nabil, M.; Alaoui-Sossé, B.; Eric, C.; Aleya, L. Wastewater use in agriculture in Djibouti: Effectiveness of sand filtration treatments and impact of wastewater irrigation on growth and yield of Panicum maximum. Ecol. Eng. 2015, 84, 607–614. [Google Scholar] [CrossRef]
- Chung, B.Y.; Song, C.H.; Park, B.J.; Cho, J.Y. Heavy metals in brown rice (Oryza sativa L.) and soil after long-term irrigation of wastewater discharged from domestic sewage treatment plants. Pedosphere 2011, 21, 621–627. [Google Scholar] [CrossRef]
- Abdu, N.; Abdulkadir, A.; Agbenin, J.O.; Buerkert, A. Vertical distribution of heavy metals in wastewater-irrigated vegetable garden soils of three West African cities. Nutr. Cycl. Agroecosyst. 2011, 89, 387–397. [Google Scholar] [CrossRef]
- Meng, W.; Wang, Z.; Hu, B.; Wang, Z.; Li, H.; Goodman, R.C. Heavy metals in soil and plants after long-term sewage irrigation at Tianjin China: A case study assessment. Agric. Water Manag. 2016, 171, 153–161. [Google Scholar] [CrossRef]
- Zavadil, J. The effect of municipal wastewater irrigation on the yield and quality of vegetables and crops. Soil Water Res. 2009, 4, 91–103. [Google Scholar] [CrossRef]
- Gupta, N.; Khan, D.; Santra, S. Heavy metal accumulation in vegetables grown in a long-term wastewater-irrigated agricultural land of tropical India. Environ. Monit. Assess. 2012, 184, 6673–6682. [Google Scholar] [CrossRef] [PubMed]
- Shilpi, S.; Seshadri, B.; Sarkar, B.; Bolan, N.; Lamb, D.; Naidu, R. Comparative values of various wastewater streams as a soil nutrient source. Chemosphere 2018, 192, 272–281. [Google Scholar] [CrossRef] [PubMed]
- Dhanasekarapandian, M.; Chandran, S.; Kumar, V.; Surendran, U. Assessment of heavy metals in soil, paddy straw and SEM analysis of the soil for the impact of wastewater irrigation in Girudhumal sub basin of Tamil Nadu, India. Glob. Nest J. 2019, 21, 310–319. [Google Scholar]
- Nazir, R.; Khan, M.; Masab, M.; Rehman, H.; Rauf, N.; Shahab, S.; Ameer, N.; Sajed, M.; Ullah, M.; Rafeeq, M.; et al. Accumulation of heavy metals (Ni, Cu, Cd, Cr, Pb, Zn, Fe) in the soil, water and plants and analysis of physico-chemical parameters of soil and water Collected from Tanda Dam kohat. J. Pharm. Sci. Res. 2015, 7, 89–97. [Google Scholar]
- Singh, A.; Sharma, R.K.; Agrawal, M.; Marshall, F.M. Health risk assessment of heavy metals via dietary intake of foodstuffs from the wastewater irrigated site of a dry tropical area of India. Food Chem. Toxicol. 2010, 48, 611–619. [Google Scholar] [CrossRef]
- Mzini, L.; Winter, K. Analysis of grey-water used for irrigating vegetables and possible effects on soils in the vicinity of Umtata Dam, Eastern Cape. Water SA 2015, 41, 115–120. [Google Scholar] [CrossRef]
- Amin, N.-U.; Ahmad, T. Contamination of soil with heavy metals from industrial effluent and their translocation in green vegetables of Peshawar, Pakistan. RSC Adv. 2015, 5, 14322–14329. [Google Scholar] [CrossRef]
- Khan, M.J.; Jan, M.T.; Farhatullah, N.; Khan, M.A.; Perveen, S.; Alam, S.; Jan, A.U. The effect of using wastewater for tomato. Pak. J. Bot. 2011, 43, 1033–1044. [Google Scholar]
- Joon, N.; Ek, P.; Zevenhoven, M.; Hupa, L.; Miró, M.; Bobacka, J.; Lisak, G. Online microcolumn-based dynamic leaching method for investigation of lead bioaccessibility in shooting range soils. Chemosphere 2020, 256, 127022. [Google Scholar] [CrossRef] [PubMed]
- Ahemad, M.; Malik, A. Bioaccumulation of heavy metals by zinc resistant bacteria isolated from agricultural soils irrigated with wastewater. Bacteriol. J. 2011, 2, 12–21. [Google Scholar] [CrossRef]
- Williams, J.; Dimbu, P. Research article effect of Abbatoir waste water on soil microbial communities. Sch. Acad. J. Biosci. 2015, 5, 452–455. [Google Scholar]
- Siggins, A.; Burton, V.; Ross, C.; Lowe, H.; Horswell, J. Effects of long-term greywater disposal on soil: A case study. Sci. Total Environ. 2016, 557, 627–635. [Google Scholar] [CrossRef] [PubMed]
- Malkawi, H.I.; Mohammad, M.J. Survival and accumulation of microorganisms in soils irrigated with secondary treated wastewater. J. Basic Microbiol. 2003, 43, 47–55. [Google Scholar] [CrossRef] [PubMed]
- Disha, A.; Al Harun, M.; Akter, S.; Billah, S.; Abdullah-Al-Noman, M. Reusing greywater for cultivation of Capsicum frutescens and Calendula officinalis. J. Environ. Manag. 2020, 272, 111088. [Google Scholar] [CrossRef] [PubMed]
- Płaza, A.; Gąsiorowska, B.; Rzążewska, E. Heavy metal content in the green fodder of field pea/oat mixtures destined for cattle feed. Environ. Monit. Assess. 2019, 191, 680. [Google Scholar] [CrossRef] [PubMed]
- Stojanović, B.; Grubić, G.; Vitorović, D.; Đorđević, N.; Andrić, V.; Božičković, A. Heavy metal concentration in forages for dairy cows. In Proceedings of the First International Symposium on Animal Science, Belgrade, Serbia, 8–10 November 2012; pp. 601–607. [Google Scholar]
- Li, Y.; McCrory, D.; Powell, J.; Saam, H.; Jackson-Smith, D. A survey of selected heavy metal concentrations in Wisconsin dairy feeds. J. Dairy Sci. 2005, 88, 2911–2922. [Google Scholar] [CrossRef]
- Adamse, A.; Van der Fels-Klerx, H.; de Jong, J. Cadmium, lead, mercury and arsenic in animal feed and feed materials–trend analysis of monitoring results. Food Addit. Contam. Part A 2017, 34, 1298–1311. [Google Scholar] [CrossRef] [PubMed]
- Rajaganapathy, V.; Xavier, F.; Sreekumar, D.; Mandal, P. Heavy metal contamination in soil, water and fodder and their presence in livestock and products: A review. J. Environ. Sci. Technol. 2011, 4, 234–249. [Google Scholar] [CrossRef]
- Hejna, M.; Moscatelli, A.; Onelli, E.; Baldi, A.; Pilu, S.; Rossi, L. Evaluation of concentration of heavy metals in animal rearing system. Ital. J. Anim. Sci. 2019, 18, 1372–1384. [Google Scholar] [CrossRef]
- Roggeman, S.; van den Brink, N.; Van Praet, N.; Blust, R.; Bervoets, L. Metal exposure and accumulation patterns in free-range cows (Bos taurus) in a contaminated natural area: Influence of spatial and social behavior. Environ. Pollut. 2013, 172, 186–199. [Google Scholar] [CrossRef] [PubMed]
- Makridis, C.; Svarnas, C.; Rigas, N.; Gougoulias, N.; Roka, L.; Leontopoulos, S. Transfer of Heavy Metal Contaminants from Animal Feed to Animal Products. J. Agric. Sci. Technol. 2012, 2, 149–154. [Google Scholar]
- Masona, C.; Mapurazi, S.; Makanda, R. Assessment of heavy metal accumulation in wastewater irrigated soil and uptake by maize plants (Zea Mays L.) at Firle Farm in Harare. J. Sustain. Dev. 2011, 4, 132–137. [Google Scholar] [CrossRef][Green Version]
- Rusan, M.; Hinnawi, S.; Rousan, L. Long term effect of wastewater irrigation of forage crops on soil and plant quality parameters. Desalination 2007, 215, 143–152. [Google Scholar] [CrossRef]
- Khan, A.; Khan, S.; Khan, M.; Qamar, Z.; Waqas, M. The uptake and bioaccumulation of heavy metals by food plants, their effects on plants nutrients, and associated health risk: A review. Environ. Sci. Pollut. Res. 2015, 22, 13772–13799. [Google Scholar] [CrossRef] [PubMed]
- Amin, N.U.; Hussain, A.; Alamzeb, S.; Begum, S. Accumulation of heavy metals in edible parts of vegetables irrigated with waste water and their daily intake to adults and children, District Mardan, Pakistan. Food Chem. 2013, 136, 1515–1523. [Google Scholar] [CrossRef]
- Khan, F.I.; Husain, T. Risk-based monitored natural attenuation-a case study. J. Hazard. Mater. 2001, 85, 243–272. [Google Scholar] [CrossRef]
- Farahat, E.; Linderholm, H.W. The effect of long-term wastewater irrigation on accumulation and transfer of heavy metals in Cupressus sempervirens leaves and adjacent soils. Sci. Total Environ. 2015, 512, 1–7. [Google Scholar] [CrossRef] [PubMed]
- Khan, S.; Cao, Q.; Zheng, Y.; Huang, Y.; Zhu, Y. Health risks of heavy metals in contaminated soils and food crops irrigated with wastewater in Beijing, China. Environ. Pollut. 2008, 152, 686–692. [Google Scholar] [CrossRef]
- Khan, S.; Hesham, A.; Qiao, M.; Rehman, S.; He, J. Effects of Cd and Pb on soil microbial community structure and activities. Environ. Sci. Pollut. Res. 2010, 17, 288–296. [Google Scholar] [CrossRef] [PubMed]
- Hu, H.; Jin, Q.; Kavan, P. A study of heavy metal pollution in China: Current status, pollution-control policies and countermeasures. Sustainability 2014, 6, 5820–5838. [Google Scholar] [CrossRef]
- Wang, Y.; Qiao, M.; Liu, Y.; Zhu, Y. Health risk assessment of heavy metals in soils and vegetables from wastewater irrigated area, Beijing-Tianjin city cluster, China. J. Environ. Sci. 2012, 24, 690–698. [Google Scholar] [CrossRef]
- Abbasi, A.M.; Iqbal, J.; Khan, M.A.; Shah, M.H. Health risk assessment and multivariate apportionment of trace metals in wild leafy vegetables from Lesser Himalayas, Pakistan. Ecotoxicol. Environ. Saf. 2013, 92, 237–244. [Google Scholar] [CrossRef] [PubMed]
- Ma, S.-C.; Zhang, H.-B.; Ma, S.-T.; Wang, R.; Wang, G.-X.; Shao, Y.; Li, C.-X. Effects of mine wastewater irrigation on activities of soil enzymes and physiological properties, heavy metal uptake and grain yield in winter wheat. Ecotoxicol. Environ. Saf. 2015, 113, 483–490. [Google Scholar] [CrossRef]
- De Melo, W.J.; de Stefani Aguiar, P.; de Melo, G.M.P.; de Melo, V.P. Nickel in a tropical soil treated with sewage sludge and cropped with maize in a long-term field study. Soil Biol. Biochem. 2007, 39, 1341–1347. [Google Scholar] [CrossRef]
- Balkhair, K.S.; Ashraf, M.A. Field accumulation risks of heavy metals in soil and vegetable crop irrigated with sewage water in western region of Saudi Arabia. Saudi J. Biol. Sci. 2016, 23, S32–S44. [Google Scholar] [CrossRef]
- Madeira, A.C.; De Varennes, A.; Abreu, M.M.; Esteves, C.; Magalhães, M. Tomato and parsley growth, arsenic uptake and translocation in a contaminated amended soil. J. Geochem. Explor. 2012, 123, 114–121. [Google Scholar] [CrossRef]
- Tudoreanu, L.; Phillips, C. Modeling cadmium uptake and accumulation in plants. Adv. Agron. 2004, 84, 121–157. [Google Scholar] [CrossRef]




| Country | Rain-Fed Cultivated Area (1000 ha) | Irrigated Cultivated Area (1000 ha) | Annual Precipitation in Volume (109 m3/Year) | Annual Precipitation in Depth (mm/Year) | Wastewater (Treated and Non-Treated) for Irrigation (109 m3/Year) | Total Irrigated Area Equipped for Direct Use of Treated Wastewater (1000 ha) |
|---|---|---|---|---|---|---|
| India | 76,742 | 92,575 | 3560 | 1083 | 1.23 | 1.32 |
| Pakistan | 12,710 | 18,590 | 393 | 494 | 1.02 | 32.5 |
| Iran | 8544 | 8893 | 86 | 228 | 0.33 | 240 |
| China | 40,190 | 95,486 | 6192 | 645 | 1.26 | 3618 |
| Australia | 29,008 | 2298 | 4133 | 534 | 0.14 | - |
| Japan | 1463 | 2957 | 630 | 1668 | 0.11 | - |
| Jordan | 197 | 83 | 9.9 | 111 | 0.103 | 3.7 |
| Palestine | 62 | 124 | 2.4 | 402 | 0.013 | - |
| Iraq | 3107 | 2143 | 93.7 | 216 | 1.08 | - |
| Saudi Arabia | 2641 | 954 | 127 | 59 | 0.53 | 51.92 |
| Turkey | 18,974 | 4206 | 466 | 593 | 0.05 | 9.16 |
| Bahrain | 4.0 | 0.6 | 0.06 | 83 | 0.009 | 1.25 |
| Algeria | 7658 | 858 | 212 | 212 | 0.01 | 1.2 |
| Egypt | 1339 | 2497 | 18.1 | 75 | 0.29 | 35.5 |
| Morocco | 7815 | 1711 | 155 | 346 | 0.01 | - |
| Argentina | 31,400 | 2301 | 1643 | 591 | 0.091 | 20 |
| Mexico | 16,276 | 6331 | 1489 | 758 | 5.71 | 70 |
| Bolivia | 4449 | 278 | 1259 | 1146 | 0.016 | 1.56 |
| Brazil | 55,107 | 8411 | 14,995 | 1761 | 0.008 | - |
| Parameter | Symbol and Unit | Untreated Wastewater | Treated Wastewater | Fresh Water | Word Standards | Reference |
|---|---|---|---|---|---|---|
| Potential of Hydrogen (H+) | pH | 5–10 | 6–8 | 7.1–7.6 | 5.5–9.5 | [3,5,15,25,42,43] |
| Electrical conductivity | ECw (dS m−1) | 0.5–10 | 0.4–0.8 | 0.3–4.0 | 0.7–10 | [3,15,25,42,43] |
| Total Dissolved Solids | TDS (mg L−1) | 279–2444 | 100–429 | 80–154 | 450–2000 | [3,15,44] |
| Total Suspended Solids | TSS (mg L−1) | 2–987 | 2–312 | 0–21 | - | [25,42,45] |
| Sodium Adsorption Ratio | SAR | 2–90 | 1–21.9 | 3.0–8.0 | 9–13 | [3,15,44] |
| Turbidity | T (NTU) | 3–444 | - | Not detected | 1–10 | [15,25,42,45] |
| Biological Oxygen Demand (5 days) | BOD5 (mg L−1) | 135–4450 | 10–942 | 0.0–225 | 60–300 | [3,5,15,25,42,45,46] |
| Chemical Oxygen Demand | COD (mg L−1) | 15–4155 | 5–1700 | Not detected | 120–500 | [3,15,25,42,45,46] |
| Fat, Oil and Grease | FOG (mg L−1) | 8–232 | - | Not detected | 8 | [15,45] |
| Anionic surfactants | ASR (mg L−1) | 1–80.5 | 0.3–1.0 | Not detected | 0.1–100 | [15,25,45] |
| Methylene Blue Active Substances | MBAS (mg L−1) | 1.6–118 | 0.3–39 | Not detected | 25 | [15] |
| Total Coliforms | TC (CFU 100 mL−1) | 1000–1.9 × 108 | 200–2 × 107 | 0.0–2.0 | 10–1000 | [15,25,44,45] |
| Fecal Coliforms | FC (CFU 100 mL−1) | 200–2 × 107 | 10–4 × 106 | 0.0–2.0 | 2–1000 | [15,25,44,45] |
| Escherichia coli | E. coli (CFU 100 mL−1) | 1000–8 × 108 | 408–4 × 105 | 0.0–1.0 | 1000–105 | [3,15,25,44,45] |
| Bicarbonate | HCO3 (mg L−1) | 2–223 | - | - | 520 | [15,45] |
| Orthophosphate | PO4 (mg L−1) | 0–52 | 0.2–3.2 | 0.03–0.8 | 30 | [43,47] |
| Nitrate | NO3 (mg L−1) | 10–52 | 0.1–7.0 | 0.0–0.004 | 45–50 | [15,25,42,43,45] |
| Sulfate | SO4 (mg L−1) | 1–22 | 0.5–28 | 0.0–0.1 | 500 | [15,41,43,44,45] |
| Total nitrogen | TN (mg L−1) | 1–61 | 0.5–17.7 | 2.0–10 | 5–50 | [3,15,25,33,43,45,46] |
| Potassium | K+ (mg L−1) | 20–39 | 1–10 | 0.0–12 | 80 | [3,5,15,33,43,44] |
| Phosphorus | P (mg L−1) | 26–38 | 0.05–1.2 | 0.01–1.0 | - | [3,5,33,44,45,46] |
| Calcium | Ca+2 (mg L−1) | 1–100 | 0.1–72 | 1.5–15 | 230–400 | [3,5,15,33,44,45] |
| Magnesium | Mg+2 (mg L−1) | 1–60 | 0.1–23 | 0.0–10 | 60 | [3,5,15,33,44,45] |
| Manganese | Mn (mg L−1) | 0.02–0.16 | 0.0002–0.06 | 0.0–0.17 | 0.2 | [5,15,46,48,49,50] |
| Iron | Fe (mg L−1) | 0.1–2.7 | 0.1–0.4 | 0.0–0.1 | 0.1–5 | [3,5,15,33,46,48,49] |
| Zinc | Zn (mg L−1) | <0.002–13.0 | 0.01–0.7 | 0.0–0.17 | 2.0 | [3,5,15,48,49] |
| chloride | Cl− (mg L−1) | 9–450 | 63–205 | 1.0–18 | 140–400 | [3,15,45,46] |
| Sodium | Na+ (mg L−1) | 2–667 | 1.0–136 | 2.0–19 | 69–230 | [3,15,44] |
| Copper | Cu (mg L−1) | 0.001–91 | 0.001–24 | 0.001–0.02 | 0.2 | [15,46,48,49] |
| Boron | B (mg L−1) | 0.02–0.44 | 0.001–0.04 | 0.0–0.1 | 0.7–3.0 | [3,15,25,45,51] |
| Aluminum | Al (mg L−1) | 0.0–21 | 0.0–1.5 | 0.0–0.03 | 5.0 | [3,15,44,45,51] |
| Cadmium | Cd (mg L−1) | <0.001–4.0 | <0.002–0.4 | 0.0–0.03 | 0.01 | [3,5,15,48,49,50,52] |
| Lead | Pb (mg L−1) | <0.003–84 | <0.01–1.3 | 0.003–5.0 | 5.0 | [3,5,15,48,49,50,52] |
| Chromium | Cr (mg L−1) | <0.004–42 | 0.0–4.0 | <0.008–0.8 | 0.1 | [5,15,45,48,50,51,52] |
| Arsenic | As (mg L−1) | 0.0001–6.0 | 0.001–0.002 | <0.0025 | 0.1 | [3,15,44,45,48,51] |
| Nickel | Ni (mg L−1) | 0.04–70 | 0.01–9.0 | <0.001–6.0 | 0.2 | [5,15,33,48,49,50] |
| Cobalt | Co (mg L−1) | 0.0–0.01 | 0.0–<0.0001 | Not detected | 0.05 | [44,45,46,51] |
| Selenium | Se (mg L−1) | <0.001 | <0.001 | Not detected | 0.02 | [45] |
| Vanadium | V (mg L−1) | 0.0001–0.004 | - | Not detected | 0.1 | [51] |
| Mercury | Hg (mg L−1) | 0.001 | - | Not detected | 0.0001–0.01 | [52] |
| Source | Zn | Ni | As | Pb | Cr | Cd |
|---|---|---|---|---|---|---|
| Animal feed irrigated with tap water | (mg kg−1 dry weight) | |||||
| Alfalfa hay | 28.4 ± 9.5 | 2.20 ± 1.1 | - | 0.14 ± 0.06 | - | 0.075 ± 0.007 |
| Complementary mineral feed/Mineral mix | 3110 ± 2035 | - | 2.80 ± 1.5 | 2.03 ± 1.1 | - | 0.640 ± 0.09 |
| complete dairy rations | 80.7 ± 25 | - | 0.67 ± 0.4 | 0.50 ± 0.2 | 1.20 ± 0.7 | 0.078 ± 0.04 |
| Barley/corn/wheat grain or hay | 28.3 ± 11 | 3.65 ± 0.5 | 0.16 ± 0.09 | 0.53 ± 0.3 | 0.08 ± 0.02 | |
| Legume and grasses mixture | 224 ± 120 | 2.85 ± 0.9 | 0.63 ± 0.3 | 9.25 ± 3.7 | 3.05 ± 1.3 | 2.72 ± 1.1 |
| Soybean protein mix/soybean meal | 155 ± 51 | - | - | 0.87 ± 0.1 | - | 0.06 ± 1 |
| Concentration in animal faeces | 460 ± 340 | 37 ± 2.6 | 2.9 ± 0.4 | 20.7 ± 12.5 | 17.6 ± 10 | 2.4 ± 1.3 |
| Concentration in animal blood | 20 ± 1.8 | 0.14 ± 0.1 | 0.63 ± 0.1 | 0.0035 ± 0.0006 | ||
| Concentration in animal muscles tissues | 38.0 ± 2 | 0.01 ± 0.002 | - | 0.017 ± 0.01 | 0.015 ± 0.006 | 1.27 ± 0.25 |
| Forage crops irrigated with wastewater | 55.5 ± 35.4 | 3.1 ± 1.5 | 0.08 ± 0.04 | 18.8 ± 11.5 | 2.3 ± 1.5 | 0.33 ± 0.1 |
| Maximum acceptable concentration in animal feed | 120–180 | 10–50 | 2.0–10 | 10–30 | 100–1000 | 0.5–5.0 |
Publisher’s Note: MDPI stays neutral with regard to jurisdictional claims in published maps and institutional affiliations. |
© 2021 by the authors. Licensee MDPI, Basel, Switzerland. This article is an open access article distributed under the terms and conditions of the Creative Commons Attribution (CC BY) license (https://creativecommons.org/licenses/by/4.0/).
Share and Cite
Othman, Y.A.; Al-Assaf, A.; Tadros, M.J.; Albalawneh, A. Heavy Metals and Microbes Accumulation in Soil and Food Crops Irrigated with Wastewater and the Potential Human Health Risk: A Metadata Analysis. Water 2021, 13, 3405. https://doi.org/10.3390/w13233405
Othman YA, Al-Assaf A, Tadros MJ, Albalawneh A. Heavy Metals and Microbes Accumulation in Soil and Food Crops Irrigated with Wastewater and the Potential Human Health Risk: A Metadata Analysis. Water. 2021; 13(23):3405. https://doi.org/10.3390/w13233405
Chicago/Turabian StyleOthman, Yahia A., Amani Al-Assaf, Maher J. Tadros, and Abeer Albalawneh. 2021. "Heavy Metals and Microbes Accumulation in Soil and Food Crops Irrigated with Wastewater and the Potential Human Health Risk: A Metadata Analysis" Water 13, no. 23: 3405. https://doi.org/10.3390/w13233405
APA StyleOthman, Y. A., Al-Assaf, A., Tadros, M. J., & Albalawneh, A. (2021). Heavy Metals and Microbes Accumulation in Soil and Food Crops Irrigated with Wastewater and the Potential Human Health Risk: A Metadata Analysis. Water, 13(23), 3405. https://doi.org/10.3390/w13233405

