Patterns of Difference between Physical and 1-D Calibrated Effective Roughness Parameters in Mountain Rivers
Abstract
:1. Introduction
2. Materials and Methods
2.1. Study Area
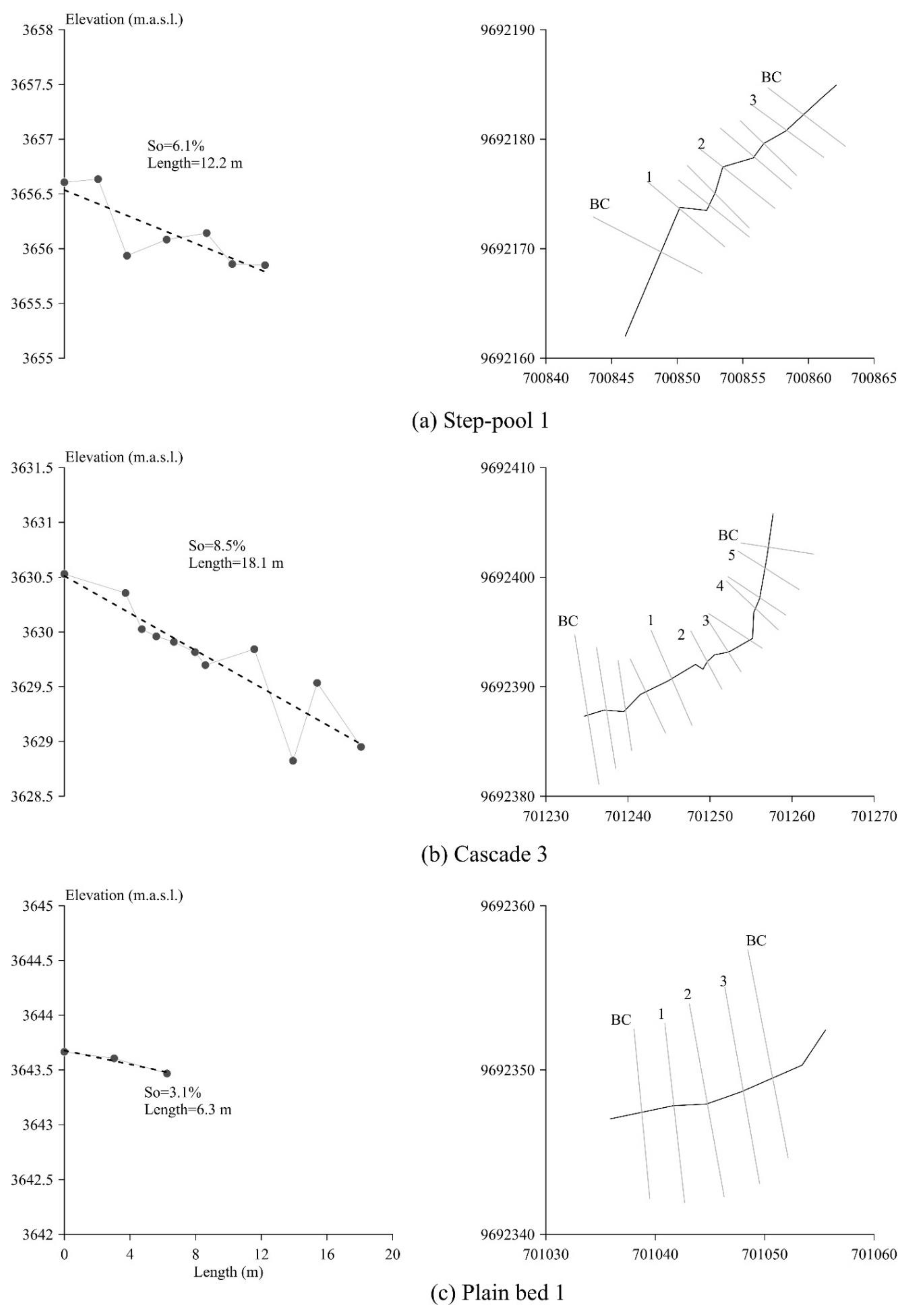
2.2. Field Data
2.3. Numerical Scheme
2.4. The GLUE Methodology
2.5. Uncertainty Measurement Analysis PRP
3. Results
3.1. Likelihood Curves
3.2. Field Mesurements Uncertainty
3.3. Effective and Measured Roughness Values
4. Discussion
4.1. Likelihood Curves
4.2. Likelihood Peak Values
4.3. Friction Slope Methodology
4.4. Effective Roughness Coefficient (ERC) and Physical Roughness Parameter (PRP)
4.4.1. Low Flow
4.4.2. Mid to High Flow
5. Conclusions
Author Contributions
Funding
Institutional Review Board Statement
Informed Consent Statement
Data Availability Statement
Acknowledgments
Conflicts of Interest
References
- Morvan, H.; Knight, D.; Wright, N.; Tang, X.; Crossley, A. The concept of roughness in fluvial hydraulics and its formulation in 1D, 2D and 3D numerical simulation models. J. Hydraul. Res. 2008, 46, 191–208. [Google Scholar] [CrossRef]
- Cook, A.; Merwade, V. Effect of topographic data, geometric configuration and modeling approach on flood inundation mapping. J. Hydrol. 2009, 377, 131–142. [Google Scholar] [CrossRef]
- Teng, J.; Jakeman, A.J.; Vaze, J.; Croke, B.F.W.; Dutta, D.; Kim, S. Flood inundation modelling: A review of methods, recent advances and uncertainty analysis. Environ. Model. Softw. 2017, 90, 201–216. [Google Scholar] [CrossRef]
- Papaioannou, G.; Vasiliades, L.; Loukas, A.; Aronica, G.T. Probabilistic flood inundation mapping at ungauged streams due to roughness coefficient uncertainty in hydraulic modelling. Adv. Geosci. 2017, 44, 23–34. [Google Scholar] [CrossRef] [Green Version]
- Pappenberger, F.; Beven, K.; Horritt, M.; Blazkova, S. Uncertainty in the calibration of effective roughness parameters in HEC-RAS using inundation and downstream level observations. J. Hydrol. 2005, 302, 46–69. [Google Scholar] [CrossRef]
- Blasone, R.S.; Vrugt, J.A.; Madsen, H.; Rosbjerg, D.; Robinson, B.A.; Zyvoloski, G.A. Generalized likelihood uncertainty estimation (GLUE) using adaptive Markov Chain Monte Carlo sampling. Adv. Water Resour. 2008, 31, 630–648. [Google Scholar] [CrossRef] [Green Version]
- Aronica, G.; Bates, P.D.; Horritt, M.S. Assessing the uncertainty in distributed model predictions using observed binary pattern information within GLUE. Hydrol. Process. 2002, 16, 2001–2016. [Google Scholar] [CrossRef]
- Bozzi, S.; Passoni, G.; Bernardara, P.; Goutal, N.; Arnaud, A. Roughness and Discharge Uncertainty in 1D Water Level Calculations. Environ. Model. Assess. 2015, 20, 343–353. [Google Scholar] [CrossRef]
- Beven, K.; Binley, A. GLUE: 20 years on. Hydrol. Process. 2014, 28, 5897–5918. [Google Scholar] [CrossRef] [Green Version]
- Beven, K.; Binley, A. The future of distributed models: Model calibration and uncertainty prediction. Hydrol. Process. 1992, 6, 279–298. [Google Scholar] [CrossRef]
- Bhola, P.K.; Leandro, J.; Disse, M. Reducing uncertainty bounds of two-dimensional hydrodynamic model output by constraining model roughness. Nat. Hazards Earth Syst. Sci. 2019, 19, 1445–1457. [Google Scholar] [CrossRef] [Green Version]
- Aronica, G.; Hankin, B.; Beven, K. Uncertainty and equifinality in calibrating distributed roughness coefficients in a flood propagation model with limited data. Adv. Water Resour. 1998, 22, 349–365. [Google Scholar] [CrossRef]
- Jung, Y.; Merwade, V. Uncertainty quantification in flood inundation mapping using generalized likelihood uncertainty estimate and sensitivity analysis. J. Hydrol. Eng. 2012, 17, 507–520. [Google Scholar] [CrossRef]
- Horritt, M.S.; Bates, P.D. Evaluation of 1D and 2D numerical models for predicting river flood inundation. J. Hydrol. 2002, 268, 87–99. [Google Scholar] [CrossRef]
- Hudson, R.; Fraser, J. Introduction to salt dilution gauging for streamflow measurement, Part IV: The mass balance (or dry injection) method. Streamline Watershed Manag. Bull. 2005, 9, 6–12. [Google Scholar]
- Nitsche, M.; Rickenmann, D.; Kirchner, J.W.; Turowski, J.M.; Badoux, A. Macroroughness and variations in reach-averaged flow resistance in steep mountain streams. Water Resour. Res. 2012, 48. [Google Scholar] [CrossRef] [Green Version]
- David, G.C.L.; Wohl, E.; Yochum, S.E.; Bledsoe, B.P. Controls on spatial variations in flow resistance along steep mountain streams. Water Resour. Res. 2010, 46. [Google Scholar] [CrossRef] [Green Version]
- Bunte, K.; Abt, S.R. Sampling Surface and Subsurface Particle-Size Distributions in Wadable Gravel- and Cobble-Bed Streams for Analyses in Sediment Transport, Hydraulics, and Streambed Monitoring; US Department of Agriculture; Forest Service; Rocky Mountain Research Station: Fort Collins, CO, USA, 2001. [Google Scholar]
- Knight, D.W.; McGahey, C.; Lamb, R.; Samuels, P. Practical Channel Hydraulics: Roughness, Conveyance and Afflux; CRC Press/Taylor & Francis: New York, NY, USA, 2009; ISBN 9780203864180. [Google Scholar]
- Goodell, C. Breaking the HEC-RAS Code: A User’s Guide to Automating HEC-RAS; h2ls: Portland, OR, USA, 2014. [Google Scholar]
- Brunner, G. HEC RAS, River Analysis System Hydraulic Reference Manual; Hydrologic Engineering Center: Davis, CA, USA, 2016. [Google Scholar]
- Fornasini, P. The Uncertainty in Physical Measurements: An Introduction to Data Analysis in the Physics Laboratory; Springer: New York, NY, USA, 2008; ISBN 9780387786506. [Google Scholar]
- Lee, A.J.; Ferguson, R.I. Velocity and flow resistance in step-pool streams. Geomorphology 2002, 46, 59–71. [Google Scholar] [CrossRef]
- Bathurst, J.C. Flow Resistance Estimation in Mountain Rivers. J. Hydraul. Eng. 1985, 111, 625–643. [Google Scholar] [CrossRef]
- Yochum, S.E.; Comiti, F.; Wohl, E.; David, G.C.L.; Mao, L. Photographic Guidance for Selecting Flow Resistance Coefficients in High-Gradient Channels; U.S. Department of Agriculture, Forest Service, Rocky Mountain Research Station: Fort Collins, CO, USA, 2014; Volume 323. [Google Scholar]
- Jarrett, R.D. Hydraulics of high-gradient streams. J. Hydraul. Eng. 1984, 110, 1519–1539. [Google Scholar] [CrossRef]
- Montgomery, D.R.; Buffington, J.M. Channel-reach morphology in mountain drainage basins. Geol. Soc. Am. Bull. 1997, 109, 596–611. [Google Scholar] [CrossRef]
- Chin, A.; Wohl, E. Toward a theory for step pools in stream channels. Prog. Phys. Geogr. 2005, 29, 265–296. [Google Scholar] [CrossRef]
- Laurenson, E.M. Friction Slope Averaging in Backwater Calculations. J. Hydraul. Eng. 1986, 112, 1151–1163. [Google Scholar] [CrossRef]
- Artichowicz, W.; Mikos-Studnicka, P. Comparison of average energy slope estimation formulas for one-dimensional steady gradually varied flow. Arch. Hydroengineering Environ. Mech. 2014, 61, 89–109. [Google Scholar] [CrossRef] [Green Version]
- Dodge, Y. The Concise Encyclopedia of Statistics; Springer Science & Business Media: New York, NY, USA, 2008. [Google Scholar]
- Wohl, E. Mountain Rivers Revisited; John Wiley & Sons American Geophysical Union: Washington, DC, USA, 2013; ISBN 9781118665572. [Google Scholar]









| Effective Roughness Coefficient (ERC) | Physical Roughness Parameter (PRP) | |||||||||||
|---|---|---|---|---|---|---|---|---|---|---|---|---|
| Site | Flow (m3 s−1) | GLUE Range | Likelihood | Best RFSM | Value Measured | Measurement Uncertainty Range (PRP) | PRP Range Found in Literature [24,25] | Measured Velocity (m s−1) | Measured Depth (m) | Measured Froude Number | Range of Velocity in Literature (m/s) [24,25] | Range of Froude Number in Literature [24,25] |
| 0.065 | 0.286–0.295 | 0.58 | Equation (5) | 0.433 | 0.338–0.528 | 0.16–0.44 | 0.168 | 0.146 | 0.141 | 0.12–0.86 | 0.15–0.51 | |
| Cascade | 0.485 | 0.173–0.192 | 0.6 | All | 0.223 | 0.174–0.272 | 0.496 | 0.282 | 0.298 | |||
| 0.708 | 0.143–0.180 | 0.59 | All | 0.199 | 0.155–0.243 | 0.606 | 0.337 | 0.333 | ||||
| 0.063 | 0.241–0.333 | 0.89 | All | 0.161 | 0.126–0.196 | 0.027–0.189 | 0.184 | 0.109 | 0.179 | 0.177–3.72 | 0.15–1.17 | |
| Plane-bed | 0.513 | 0.108–0.115 | 0.96 | All | 0.0594 | 0.046–0.073 | 0.699 | 0.212 | 0.485 | |||
| 0.918 | 0.076–0.081 | 0.92 | All | 0.043 | 0.034–0.053 | 0.916 | 0.277 | 0.556 | ||||
| 0.035 | 0.555–0.609 | 0.91 | Equation (6) | 0.414 | 0.323–0.505 | 0.12–0.96 | 0.125 | 0.117 | 0.117 | 0.12–1.61 | 0.13–0.92 | |
| Step-pool | 0.443 | 0.105–0.124 | 0.72 | All | 0.193 | 0.151–0.235 | 0.464 | 0.287 | 0.277 | |||
| 0.878 | 0.092–0.121 | 0.61 | All | 0.134 | 0.105–0.163 | 0.733 | 0.330 | 0.407 | ||||
| Site | Flow (m3 s−1) | GLUE Range (ERC) | Likelihood |
|---|---|---|---|
| 0.065 | Equifinality for all the roughness range | −0.422 | |
| Cascade | 0.485 | Equifinality for all the roughness range | 0.0095 |
| 0.708 | Equifinality for all the roughness range | 0.0702 | |
| 0.063 | 0.241–0.267 | 0.89 | |
| Plane-bed | 0.513 | 0.108–0.113 | 0.96 |
| 0.918 | 0.076–0.081 | 0.92 | |
| 0.035 | Equifinality for all the roughness range | −0.567 | |
| Step-pool | 0.443 | Equifinality for all the roughness range | −0.0345 |
| 0.878 | Equifinality for all the roughness range | 0.026 |
| Site | Flow (m3 s−1) | dmean (m) 1 | D50 (m) 2 | D75 (m) 2 | D84 (m) 2 | D95 (m) 2 |
|---|---|---|---|---|---|---|
| 0.065 | 0.145 | 0.0959 | 0.2526 | 0.3465 | 0.6529 | |
| Cascade | 0.485 | 0.282 | ||||
| 0.708 | 0.336 | |||||
| 0.063 | 0.108 | 0.0795 | 0.1458 | 0.2185 | 0.3285 | |
| Plane-bed | 0.513 | 0.211 | ||||
| 0.918 | 0.277 | |||||
| 0.035 | 0.11 | 0.092 | 0.1721 | 0.2512 | 0.4695 | |
| Step-pool | 0.443 | 0.29 | ||||
| 0.878 | 0.329 |
Publisher’s Note: MDPI stays neutral with regard to jurisdictional claims in published maps and institutional affiliations. |
© 2021 by the authors. Licensee MDPI, Basel, Switzerland. This article is an open access article distributed under the terms and conditions of the Creative Commons Attribution (CC BY) license (https://creativecommons.org/licenses/by/4.0/).
Share and Cite
Cedillo, S.; Sánchez-Cordero, E.; Timbe, L.; Samaniego, E.; Alvarado, A. Patterns of Difference between Physical and 1-D Calibrated Effective Roughness Parameters in Mountain Rivers. Water 2021, 13, 3202. https://doi.org/10.3390/w13223202
Cedillo S, Sánchez-Cordero E, Timbe L, Samaniego E, Alvarado A. Patterns of Difference between Physical and 1-D Calibrated Effective Roughness Parameters in Mountain Rivers. Water. 2021; 13(22):3202. https://doi.org/10.3390/w13223202
Chicago/Turabian StyleCedillo, Sebastián, Esteban Sánchez-Cordero, Luis Timbe, Esteban Samaniego, and Andrés Alvarado. 2021. "Patterns of Difference between Physical and 1-D Calibrated Effective Roughness Parameters in Mountain Rivers" Water 13, no. 22: 3202. https://doi.org/10.3390/w13223202
APA StyleCedillo, S., Sánchez-Cordero, E., Timbe, L., Samaniego, E., & Alvarado, A. (2021). Patterns of Difference between Physical and 1-D Calibrated Effective Roughness Parameters in Mountain Rivers. Water, 13(22), 3202. https://doi.org/10.3390/w13223202

