Impact Force of a Geomorphic Dam-Break Wave against an Obstacle: Effects of Sediment Inertia
Abstract
1. Introduction
2. Mathematical Models and Numerical Simulations
2.1. Two-Dimensional Saint–Venant–Exner Model
2.2. Two-Phase Model
2.3. Numerical Method
2.4. The Test Case
3. Results and Discussion
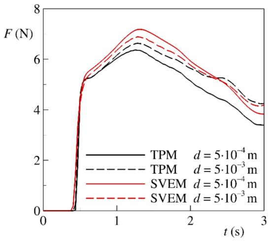
3.1. Force Evaluation
3.2. Simulations with Sand
3.3. Simulations with PVC
4. Conclusions
Author Contributions
Funding
Institutional Review Board Statement
Informed Consent Statement
Data Availability Statement
Conflicts of Interest
References
- Fuchs, S. Susceptibility versus resilience to mountain hazards in Austria—Paradigms of vulnerability revisited. Nat. Hazards Earth Syst. Sci. 2009, 9, 337–352. [Google Scholar] [CrossRef]
- Keiler, M.; Fuchs, S. Vulnerability and exposure to geomorphic hazards: Some insights from the European alps. In Geomorphology and Society; Meadows, M.E., Lin, J.-C., Eds.; Springer: Tokyo, Japan, 2016; pp. 165–180. [Google Scholar]
- Stoffel, M.; Wyżga, B.; Marston, R.A. Floods in mountain environments: A synthesis. Geomorphology 2016, 272, 1–9. [Google Scholar] [CrossRef]
- Slaymaker, O.; Embleton-Hamann, C. Advances in global mountain geomorphology. Geomorphology 2018, 308, 230–264. [Google Scholar] [CrossRef]
- Sturm, M.; Gems, B.; Keller, F.; Mazzorana, B.; Fuchs, S.; Papathoma-Köhle, M.; Aufleger, M. Understanding impact dynamics on buildings caused by fluviatile sediment transport. Geomorphology 2018, 321, 45–59. [Google Scholar] [CrossRef]
- Hoerling, M.P. Tropical origins for recent north atlantic climate change. Science 2001, 292, 90–92. [Google Scholar] [CrossRef]
- Keiler, M.; Knight, J.; Harrison, S. Climate change and geomorphological hazards in the eastern European Alps. Philos. Trans. R. Soc. A 2010, 368, 2461–2479. [Google Scholar] [CrossRef]
- Fuchs, S.; Keiler, M.; Zischg, A. A spatiotemporal multi-hazard exposure assessment based on property data. Nat. Hazards Earth Syst. Sci. 2015, 15, 2127–2142. [Google Scholar] [CrossRef]
- Thieken, A.H.; Müller, M.; Kreibich, H.; Merz, B. Flood damage and influencing factors: New insights from the August 2002 flood in Germany: Flood damage and influencing factors. Water Resour. Res. 2005, 41, W12430. [Google Scholar] [CrossRef]
- Quan Luna, B.; Blahut, J.; van Westen, C.J.; Sterlacchini, S.; van Asch, T.W.J.; Akbas, S.O. The application of numerical debris flow modelling for the generation of physical vulnerability curves. Nat. Hazards Earth Syst. Sci. 2011, 11, 2047–2060. [Google Scholar] [CrossRef]
- Totschnig, R.; Sedlacek, W.; Fuchs, S. A quantitative vulnerability function for fluvial sediment transport. Nat. Hazards 2011, 58, 681–703. [Google Scholar] [CrossRef]
- Totschnig, R.; Fuchs, S. Mountain torrents: Quantifying vulnerability and assessing uncertainties. Eng. Geol. 2013, 155, 31–44. [Google Scholar] [CrossRef] [PubMed]
- Papathoma-Köhle, M.; Keiler, M.; Totschnig, R.; Glade, T. Improvement of vulnerability curves using data from extreme events: Debris flow event in South Tyrol. Nat. Hazards 2012, 64, 2083–2105. [Google Scholar] [CrossRef]
- Papathoma-Köhle, M.; Zischg, A.; Fuchs, S.; Glade, T.; Keiler, M. Loss estimation for landslides in mountain areas—An integrated toolbox for vulnerability assessment and damage documentation. Environ. Model. Softw. 2015, 63, 156–169. [Google Scholar] [CrossRef]
- Shige-eda, M.; Akiyama, J. Numerical and experimental study on two-dimensional flood flows with and without structures. J. Hydraul. Eng. 2003, 129, 817–821. [Google Scholar] [CrossRef]
- Bukreev, V.I. Force action of discontinuous waves on a vertical wall. J. Appl. Mech. Tech. Phys. 2009, 50, 278–283. [Google Scholar] [CrossRef]
- Soares-Frazão, S.; Zech, Y. Dam-break flow through an idealised city. J. Hydraul. Res. 2008, 46, 648–658. [Google Scholar] [CrossRef]
- El Kadi Abderrezzak, K.; Paquier, A.; Mignot, E. Modelling flash flood propagation in urban areas using a two-dimensional numerical model. Nat. Hazards 2009, 50, 433–460. [Google Scholar] [CrossRef]
- Aureli, F.; Dazzi, S.; Maranzoni, A.; Mignosa, P.; Vacondio, R. Experimental and numerical evaluation of the force due to the impact of a dam-break wave on a structure. Adv. Water Resour. 2015, 76, 29–42. [Google Scholar] [CrossRef]
- Gao, L.; Zhang, L.M.; Chen, H.X. Two-dimensional simulation of debris flow impact pressures on buildings. Eng. Geol. 2017, 226, 236–244. [Google Scholar] [CrossRef]
- Kattel, P.; Kafle, J.; Fischer, J.-T.; Mergili, M.; Tuladhar, B.M.; Pudasaini, S.P. Interaction of two-phase debris flow with obstacles. Eng. Geol. 2018, 242, 197–217. [Google Scholar] [CrossRef]
- Greco, M.; Di Cristo, C.; Iervolino, M.; Vacca, A. Numerical simulation of mud-flows impacting structures. J. Moutain Sci. 2019, 16, 364–382. [Google Scholar] [CrossRef]
- Di Cristo, C.; Greco, M.; Lervolino, M.; Vacca, A. Interaction of a dam-break wave with an obstacle over an erodible floodplain. J. Hydroinform. 2020, 22, 5–19. [Google Scholar] [CrossRef]
- Di Cristo, C.; Greco, M.; Iervolino, M.; Leopardi, A.; Vacca, A. Two-dimensional two-phase depth-integrated model for transients over mobile bed. J. Hydraul. Eng. 2016, 142, 4015043. [Google Scholar] [CrossRef]
- Dewals, B.; Rulot, F.; Erpicum, S.; Archambeau, P.; Pirotto, M. Advanced topics in sediment transport modelling: Non-alluvial beds and hyperconcentrated flows. In Sediment Transport; Ginsberg, S.S., Ed.; InTech: London, UK, 2011. [Google Scholar]
- Greco, M.; Iervolino, M.; Leopardi, A.; Vacca, A. A two-phase model for fast geomorphic shallow flows. Int. J. Sediment Res. 2012, 27, 409–425. [Google Scholar] [CrossRef]
- Rosatti, G.; Begnudelli, L. A closure-independent Generalized Roe solver for free-surface, two-phase flows over mobile bed. J. Comput. Phys. 2013, 255, 362–383. [Google Scholar] [CrossRef]
- Wu, W.; Wang, S.S. One-dimensional modeling of dam-break flow over movable beds. J. Hydraul. Eng. 2007, 133, 48–58. [Google Scholar] [CrossRef]
- Capart, H. Young two-layer shallow water computations of torrential geomorphic flows. In Proceedings of the River Flow 2002, Louvain La Neuve, Belgium, 4–6 September 2002; pp. 1003–1012. [Google Scholar]
- Savary, C.; Zech, Y. Boundary conditions in a two-layer geomorphological model. Application to a. J. Hydraul. Res. 2007, 45, 316–332. [Google Scholar] [CrossRef]
- Li, J.; Cao, Z.; Pender, G.; Qingquan, L. A double layer-averaged model for dam-break flows over mobile bed. J. Hydraul. Res. 2013, 51, 518–534. [Google Scholar] [CrossRef]
- Swartenbroekx, C.; Zech, Y.; Soares-Frazão, S. Two-dimensional two-layer shallow water model for dam break flows with significant bed load transport. Int. J. Numer. Methods Fluids 2013, 73, 477–508. [Google Scholar] [CrossRef]
- Graf, W.H.; Altinakar, M.S. Fluvial Hydraulics: Flow and Transport Processes in Channels of Simple Geometry; Wiley: Chichester, UK; New York, NY, USA, 1998. [Google Scholar]
- Aricò, C.; Tucciarelli, T. Diffusive modeling of aggradation and degradation in artificial channels. J. Hydraul. Eng. 2008, 134, 1079–1088. [Google Scholar] [CrossRef]
- Juez, C.; Murillo, J.; García-Navarro, P. A 2D weakly-coupled and efficient numerical model for transient shallow flow and movable bed. Adv. Water Resour. 2014, 71, 93–109. [Google Scholar] [CrossRef]
- Soares-Frazão, S.; Zech, Y. HLLC scheme with novel wave-speed estimators appropriate for two-dimensional shallow-water flow on erodible bed. Int. J. Numer. Methods Fluids 2011, 66, 1019–1036. [Google Scholar] [CrossRef]
- Meurice, R.; Soares-Frazão, S. A 2D HLL-based weakly coupled model for transient flows on mobile beds. J. Hydroinform. 2020, 22, 1351–1369. [Google Scholar] [CrossRef]
- Soares-Frazão, S.; Canelas, R.; Cao, Z.; Cea, L.; Chaudhry, H.M.; Moran, A.D.; Kadi, K.E.; Ferreira, R.; Cadórniga, I.F.; Gonzalez-Ramirez, N.; et al. Dam-break flows over mobile beds: Experiments and benchmark tests for numerical models. J. Hydraul. Res. 2012, 50, 364–375. [Google Scholar] [CrossRef]
- Sturm, M.; Gems, B.; Aufleger, M.; Mazzorana, B.; Papathoma-Köhle, M.; Fuchs, S. Scale model measurements of impact forces on obstacles induced by bed-load transport processes. In Proceedings of the 37th IAHR World Congress, Kuala Lumpur, Malaysia, 13–18 August 2017; pp. 1459–1468. [Google Scholar]
- Meyer-Peter, E.; Müller, R.M. Formulas for bed-load transport. In Proceedings of the IAHSR 2nd Meeting, Stockholm, Sweden, 7–9 June 1948; Appendix 2. pp. 39–64. [Google Scholar]
- Cordier, S.; Le, M.H.; Morales de Luna, T. Bedload transport in shallow water models: Why splitting (may) fail, how hyperbolicity (can) help. Adv. Water Resour. 2011, 34, 980–989. [Google Scholar] [CrossRef]
- Carraro, F.; Valiani, A.; Caleffi, V. Efficient analytical implementation of the DOT Riemann solver for the de Saint Venant–Exner morphodynamic model. Adv. Water Resour. 2018, 113, 189–201. [Google Scholar] [CrossRef]
- Pontillo, M.; Schmocker, L.; Greco, M.; Hager, W.H. 1D numerical evaluation of dike erosion due to overtopping. J. Hydraul. Res. 2010, 48, 573–582. [Google Scholar] [CrossRef]
- Richardson, J.F.; Zaki, W.N. Sedimentation and fluidisation: Part I. Chem. Eng. Res. Des. 1997, 75, S82–S100. [Google Scholar] [CrossRef]
- Van Rijn, L.C. Sediment pick-up functions. J. Hydraul. Eng. 1984, 110, 1494–1502. [Google Scholar] [CrossRef]
- Di Cristo, C.; Evangelista, S.; Greco, M.; Iervolino, M.; Leopardi, A.; Vacca, A. Dam-break waves over an erodible embankment: Experiments and simulations. J. Hydraul. Res. 2018, 56, 196–210. [Google Scholar] [CrossRef]
- Barth, T.; Jespersen, D. The design and application of upwind schemes on unstructured meshes. In Proceedings of the 27th Aerospace Sciences Meeting, Reno, NV, USA, 9–12 January 1989. [Google Scholar]
- Nikolos, I.K.; Delis, A.I. An unstructured node-centered finite volume scheme for shallow water flows with wet/dry fronts over complex topography. Comput. Methods Appl. Mech. Eng. 2009, 198, 3723–3750. [Google Scholar] [CrossRef]
- Harten, A.; Lax, P.D.; Leer, B. Van on upstream differencing and Godunov-type schemes for hyperbolic conservation laws. SIAM Rev. 1983, 25, 35–61. [Google Scholar] [CrossRef]
- Greco, M.; Iervolino, M.; Leopardi, A. Discussion of “Divergence form for bed slope source term in shallow water equations” by Alessandro Valiani and Lorenzo Begnudelli. J. Hydraul. Eng. 2008, 134, 676–678. [Google Scholar] [CrossRef]
- Di Cristo, C.; Greco, M.; Iervolino, M.; Leopardi, A.; Vacca, A. A depth-integrated morphodynamical model for river flows with a wide range of shields parameter. In Proceedings of the 35th IAHR World Congress, Beijing, China, 8–13 September 2013; Volume 5, p. A10653. [Google Scholar]
- Capart, H.; Young, D.L. Formation of a jump by the dam-break wave over a granular bed. J. Fluid Mech. 1998, 372, 165–187. [Google Scholar] [CrossRef]
- Juez, C.; Lacasta, A.; Murillo, J.; García-Navarro, P. An efficient GPU implementation for a faster simulation of unsteady bed-load transport. J. Hydraul. Res. 2016, 54, 275–288. [Google Scholar] [CrossRef]
- García-Navarro, P.; Murillo, J.; Fernández-Pato, J.; Echeverribar, I.; Morales-Hernández, M. The shallow water equations and their application to realistic cases. Environ. Fluid Mech. 2019, 19, 1235–1252. [Google Scholar] [CrossRef]
- Fraccarollo, L.; Capart, H. Riemann wave description of erosional dam-break flows. J. Fluid Mech. 2002, 461, 183–228. [Google Scholar] [CrossRef]












Publisher’s Note: MDPI stays neutral with regard to jurisdictional claims in published maps and institutional affiliations. |
© 2021 by the authors. Licensee MDPI, Basel, Switzerland. This article is an open access article distributed under the terms and conditions of the Creative Commons Attribution (CC BY) license (http://creativecommons.org/licenses/by/4.0/).
Share and Cite
Di Cristo, C.; Greco, M.; Iervolino, M.; Vacca, A. Impact Force of a Geomorphic Dam-Break Wave against an Obstacle: Effects of Sediment Inertia. Water 2021, 13, 232. https://doi.org/10.3390/w13020232
Di Cristo C, Greco M, Iervolino M, Vacca A. Impact Force of a Geomorphic Dam-Break Wave against an Obstacle: Effects of Sediment Inertia. Water. 2021; 13(2):232. https://doi.org/10.3390/w13020232
Chicago/Turabian StyleDi Cristo, Cristiana, Massimo Greco, Michele Iervolino, and Andrea Vacca. 2021. "Impact Force of a Geomorphic Dam-Break Wave against an Obstacle: Effects of Sediment Inertia" Water 13, no. 2: 232. https://doi.org/10.3390/w13020232
APA StyleDi Cristo, C., Greco, M., Iervolino, M., & Vacca, A. (2021). Impact Force of a Geomorphic Dam-Break Wave against an Obstacle: Effects of Sediment Inertia. Water, 13(2), 232. https://doi.org/10.3390/w13020232

