Structural Properties of the Static Armor during Formation and Reestablishment in Gravel-Bed Rivers
Abstract
1. Introduction
2. Materials and Methods
2.1. Experimental Setup
2.2. Analytical Methods
3. Results
3.1. Probability Distribution Functions of the Bed Surface Elevation
3.2. Second-Order Structure Functions of the Bed Elevation
3.2.1. Overall Change in the Second-Order Structure Function
3.2.2. The Second-Order Structure Function Change Along the Longitudinal Direction
3.2.3. The Second-Order Structure Function Change along the Transverse Direction
4. Discussion
4.1. Bed Surface Coarsening Characteristics
4.2. Bed Surface Structural Properties
5. Conclusions
- (1)
- The static armor layer’s formation process was similar to the reestablishment process after breaking of the static armor layer. The bed load transport rate increased rapidly from zero to the peak and then slowly decayed. As the flow intensity increased, the peak value of bed load transport rate also increased.
- (2)
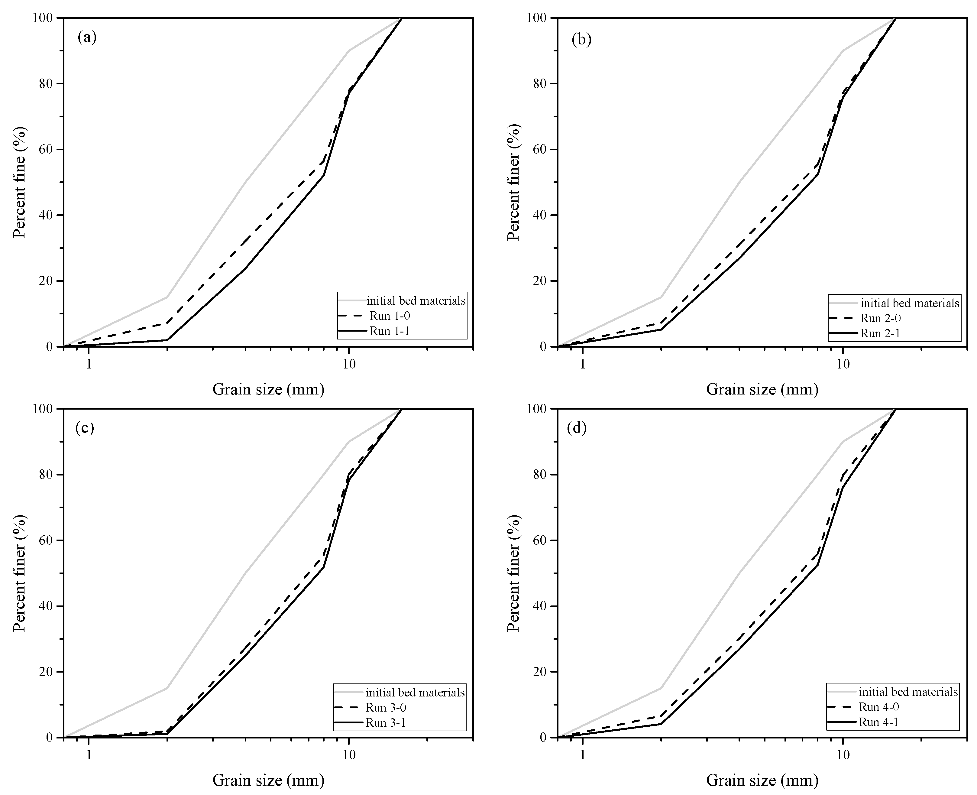
- The probability distribution function of bed elevation underwent some adjustments between the static armor layer’s formation and reestablishment. Although the probability distribution function curve showed evidence of change in bed topography, this parameter failed to provide a reliable tool to represent particle stability and the degree of mobile bed organization. This parameter only reflected the changes in bed structure to a certain extent, but it did provide sufficient information for the changes.
- (3)
- The second-order structure functions were effectively quantified between the bed structure’s formation and reestablishment of the static armor layer. With regard to the increase in flow intensity, the difference in bed structure between the static armor layer’s formation and reestablishment was a relatively stable value. When the flow intensity increased by 20%, the previously formed stable static armor layer broke and the two-order structural function difference became relatively stable (0.12 (17#) and 0.24 (21#)). The difference in bed structure of the armor layer formed by different flow intensities was quantified using this parameter’s difference.
Author Contributions
Funding
Conflicts of Interest
References
- Wang, L.; Melville, B.W.; Whittaker, C.N.; Guan, D. Temporal Evolution of Clear-Water Scour Depth at Submerged Weirs. J. Hydraul. Eng. 2020, 146, 06020001. [Google Scholar] [CrossRef]
- Wang, L.; Melville, B.W.; Shamseldin, A.Y.; Nie, R. Impacts of Bridge Piers on Scour at Downstream River Training Structures: Submerged Weir as an Example. Water Resour. Res. 2020, 56, e2019WR026720. [Google Scholar] [CrossRef]
- Wang, L.; Melville, B.W.; Whittaker, C.N.; Guan, D. Scour Estimation Downstream of Submerged Weirs. J. Hydraul. Eng. 2019, 145, 06019016. [Google Scholar] [CrossRef]
- Wang, L.; Melville, B.W.; Guan, D. Effects of Upstream Weir Slope on Local Scour at Submerged Weirs. J. Hydraul. Eng. 2018, 144, 04018002. [Google Scholar] [CrossRef]
- Wang, L.; Melville, B.W.; Guan, D.; Whittaker, C.N. Local Scour at Downstream Sloped Submerged Weirs. J. Hydraul. Eng. 2018, 144, 04018044. [Google Scholar] [CrossRef]
- Chin, C.O.; Melville, B.W.; Raudkivi, A.J. Streambed armoring. J. Hydraul. Eng. 1994, 120, 899–918. [Google Scholar] [CrossRef]
- Gomez, B. Effects of particle shape and mobility on stable armor development. Water Resour. Res. 1994, 30, 2229–2239. [Google Scholar] [CrossRef]
- Vericat, D.; Batalla, R.J.; Garcia, C. Breakup and reestablishment of the armour layer in a large gravel-bed river below dams: The lower Ebro. Geomorphology 2006, 76, 122–136. [Google Scholar] [CrossRef]
- Dietrich, W.E.; Kirchner, J.W.; Ikeda, H.; Iseya, F. Sediment supply and the development of the coarse surface layer in gravel-bedded rivers. Nature 1989, 340, 215–217. [Google Scholar] [CrossRef]
- Church, M. Geomorphic response to river flow regulation: Case studies and time-scales. Regul River. 1995, 11, 3–22. [Google Scholar] [CrossRef]
- Church, M.; Hassan, M.A.; Wolcott, J.F. Stabilizing self-organized structures in gravel-bed stream channels: Field and experimental observations. Water Resour. Res. 1998, 34, 3169–3179. [Google Scholar] [CrossRef]
- Hassan, M.A.; Church, M. Experiments on surface structure and partial sediment transport on a gravel bed. Water Resour. Res. 2000, 36, 1885–1895. [Google Scholar] [CrossRef]
- Hassan, M.A.; Egozi, R.; Parker, G. Experiments on the effect of hydrograph characteristics on vertical grain sorting in gravel bed rivers. Water Resour. Res. 2006, 42. [Google Scholar] [CrossRef]
- Piedra, M.M.; Haynes, H.; Hoey, T.B. The spatial distribution of coarse surface grains and the stability of gravel riverbeds. Sedimentology 2012, 59, 1014–1029. [Google Scholar] [CrossRef]
- Heays, K.G.; Friedrich, H.; Melville, B.W. Laboratory study of gravel-bed cluster formation and disintegration. Water Resour. Res. 2014, 50, 2227–2241. [Google Scholar] [CrossRef]
- Curran, J.C.; Waters, K.A. The importance of bed sediment sand content on the structure of a static armor layer in a gravel bed river. J. Geophys. Res. Earth Surf. 2014, 119, 1484–1497. [Google Scholar] [CrossRef]
- Wang, T.; Liu, X. The breakup of armor layer in a gravel-bed stream with no sediment supply. In Advances in Water Resources and Hydraulic Engineering; Springer: Berlin/Heidelberg, Germany, 2009; pp. 919–923. [Google Scholar]
- Orrú, C.; Astrid, B.; Uijttewaal, W.S.J. Armor breakup and reformation in a degradational laboratory experiment. Earth Surf. Dyn. 2016, 4, 461–470. [Google Scholar] [CrossRef]
- Spiller, S.M.; Rüther, N.; Friedrich, H. Dynamic Lift on an Artificial Static Armor Layer during Highly Unsteady Open Channel Flow. Water 2015, 7, 4951–4970. [Google Scholar] [CrossRef]
- Zhang, N.; Zhang, Q.; Wang, K.H.; Zou, G.; Jiang, X.; Yang, A.; Li, Y. Numerical Simulation of Wave Overtopping on Breakwater with an Armor Layer of Accropode Using SWASH Model. Water 2020, 12, 386. [Google Scholar] [CrossRef]
- Pandey, M.; Chen, S.C.; Sharma, P.K.; Ojha, C.S.P.; Kumar, V. Local Scour of Armor Layer Processes around the Circular Pier in Non-Uniform Gravel Bed. Water 2019, 11, 1421. [Google Scholar] [CrossRef]
- Wolman, M.G. A method of sampling coarse river-bed material. Eos Trans. AGU 1954, 35, 951–956. [Google Scholar] [CrossRef]
- Bathurst, J.C. Flow resistance estimation in mountain rivers. J. Hydraul. Eng. 1985, 111, 625–643. [Google Scholar] [CrossRef]
- Wiberg, P.L.; Smith, J.D. Velocity distribution and bed roughness in high-gradient streams. Water Resour. Res. 1991, 27, 825–838. [Google Scholar] [CrossRef]
- Furbish, D.J. Conditions for geometric similarity of coarse stream-bed roughness. Math Geosci. 1987, 19, 291–307. [Google Scholar] [CrossRef]
- Robert, A. Statistical properties of sediment bed profiles in alluvial channels. Math Geosci. 1988, 20, 205–225. [Google Scholar] [CrossRef]
- Robert, A. Boundary roughness in coarse-grained channels. Prog. Phys. Geogr. 1990, 14, 42–70. [Google Scholar] [CrossRef]
- Robert, A. Fractal properties of simulated bed profiles in coarse-grained channels. Math Geosci. 1991, 23, 367–382. [Google Scholar] [CrossRef]
- Clifford, N.J.; Robert, A.; Richards, K.S. Estimation of flow resistance in gravel-bedded rivers: A physical explanation of the multiplier of roughness length. Earth Surf. Process. Landf. 2010, 17, 111–126. [Google Scholar] [CrossRef]
- Marion, A.; Tait, S.J.; Mcewan, I.K. Analysis of small-scale gravel bed topography during armoring. Water Resour. Res. 2003, 39. [Google Scholar] [CrossRef]
- Aberle, J.; Nikora, V. Statistical properties of armored gravel bed surfaces. Water Resour. Res. 2006, 42. [Google Scholar] [CrossRef]
- Lane, S.N. Roughness–time for a re-evaluation? Earth Surf. Process. Landf. 2005, 30, 251–253. [Google Scholar] [CrossRef]
- Hardy, R.J.; Lane, S.N.; Lawless, M.R.; Best, J.L.; Elliott, L.; Ingham, D.B. Development and testing of a numerical code for treatment of complex river channel topography in three-dimensional CFD models with structured grids. J. Hydraul. Res. 2005, 43, 468–480. [Google Scholar] [CrossRef]
- Carney, S.K.; Bledsoe, B.P.; Gessler, D. Representing the bed roughness of coarse-grained streams in computational fluid dynamics. Earth Surf. Process. Landf. 2006, 31, 736–749. [Google Scholar] [CrossRef]
- Heritage, G.L.; Milan, D.J. Terrestrial Laser Scanning of grain roughness in a gravel-bed river. Geomorphology 2009, 113, 4–11. [Google Scholar] [CrossRef]
- Baewert, H.; Martin, B.; Bryk, A.; Rascher, E.; Schmidt, K.H.; Morche, D. Roughness determination of coarse grained alpine riverbed surfaces using Terrestrial Laser Scanning data. Z. Geomorphol. 2014, 58, 81–95. [Google Scholar] [CrossRef]
- Westoby, M.J.; Dunning, S.A.; Woodward, J.; Rascher, E.; Schmidt, K.H.; Morche, D. Sedimentological characterization of antarctic moraines using UAVs and structure-from-motion photogrammetry. J. Glaciol. 2015, 61, 1088–1102. [Google Scholar] [CrossRef]
- Bertin, S.; Friedrich, H. Field application of close-range digital photogrammetry (crdp) for grain-scale fluvial morphology studies. Earth Surf. Process. Landf. 2016, 41, 1258–1269. [Google Scholar] [CrossRef]
- Detert, M.; Kadinski, L.; Weitbrecht, V. On the way to airborne gravelometry based on 3D spatial data derived from images. Int. J. Sediment Res. 2018, 33, 87–95. [Google Scholar] [CrossRef]
- Bertin, S.; Friedrich, H. Effect of surface texture and structure on the development of stable fluvial armors. Geomorphology 2018, 306, 64–79. [Google Scholar] [CrossRef]
- Recking, A. Simple method for calculating reach-averaged bed-load transport. J. Hydraul. Eng. 2013, 139, 70–75. [Google Scholar] [CrossRef]
- López, R.; Vericat, D.; Batalla, R.J. Evaluation of bed load transport formulae in a large regulated gravel bed river: The lower Ebro (NE Iberian Peninsula). J. Hydrol. 2014, 510, 164–181. [Google Scholar] [CrossRef]
- Sidiropoulos, E.; Papalaskaris, T.; Hrissanthou, V. Parameter Optimization of a Bed Load Transport Formula for Nestos River, Greece. Proceedings 2018, 2, 627. [Google Scholar] [CrossRef]
- Venditti, J.G.; Dietrich, W.E.; Nelson, P.A.; Wydzga, M.A.; Fadde, J.; Sklar, L. Mobilization of coarse surface layers in gravel-bed rivers by finer gravel bed load. Water Resour. Res. 2010, 46. [Google Scholar] [CrossRef]
- Powell, D.M.; Ockelford, A.; Rice, S.P.; Hillier, J.K.; Nguyen, T.; Reid, I.; Tate, N.J.; Ackerley, D. Structural properties of mobile armors formed at different flow strengths in gravel-bed rivers. J. Geophys. Res. Earth Surf. 2016, 121, 1494–1515. [Google Scholar] [CrossRef]
















| Run | Group | Discharge(L/s) | Shear Stress(Pa) | Depth-Average(cm) | Slope | τdest/τform1 |
|---|---|---|---|---|---|---|
| Run 1 | 1-0 | 50 | 3.73 | 7.61 | 0.005 | 1 |
| 1-1 | 67.8 | 4.47 | 9.12 | 0.0048 | 1.2 | |
| Run 2 | 2-0 | 67.8 | 4.51 | 9.2 | 0.005 | 1 |
| 2-1 | 88 | 5.64 | 11.51 | 0.0047 | 1.2 | |
| Run 3 | 3-0 | 40 | 3.29 | 6.72 | 0.005 | 1 |
| 3-1 | 54 | 3.97 | 8.10 | 0.0049 | 1.2 | |
| Run 4 | 4-0 | 54 | 3.97 | 8.10 | 0.005 | 1 |
| 4-1 | 72 | 4.76 | 9.72 | 0.0047 | 1.2 |
© 2020 by the authors. Licensee MDPI, Basel, Switzerland. This article is an open access article distributed under the terms and conditions of the Creative Commons Attribution (CC BY) license (http://creativecommons.org/licenses/by/4.0/).
Share and Cite
Wang, Q.; Pan, Y.; Yang, K.; Nie, R. Structural Properties of the Static Armor during Formation and Reestablishment in Gravel-Bed Rivers. Water 2020, 12, 1845. https://doi.org/10.3390/w12071845
Wang Q, Pan Y, Yang K, Nie R. Structural Properties of the Static Armor during Formation and Reestablishment in Gravel-Bed Rivers. Water. 2020; 12(7):1845. https://doi.org/10.3390/w12071845
Chicago/Turabian StyleWang, Qiang, Yunwen Pan, Kejun Yang, and Ruihua Nie. 2020. "Structural Properties of the Static Armor during Formation and Reestablishment in Gravel-Bed Rivers" Water 12, no. 7: 1845. https://doi.org/10.3390/w12071845
APA StyleWang, Q., Pan, Y., Yang, K., & Nie, R. (2020). Structural Properties of the Static Armor during Formation and Reestablishment in Gravel-Bed Rivers. Water, 12(7), 1845. https://doi.org/10.3390/w12071845
