Aquatic Ecosystem Health Assessment of Poyang Lake through Extension Evaluation Method
Abstract
1. Introduction
2. Materials and Methods
2.1. Study Area
2.2. Data Sources
2.3. Aquatic Ecosystem Assessment Indicators and Thresholds
2.4. Extension Evaluation Method
2.4.1. Matter Elements
2.4.2. Assessment Steps of Extension Evaluation Method
- (1)
- Verification of the assessed objects , criterion and maximum ranges of attributes
- (2)
- Computation of the extension weights with primary correlative function
- (3)
- Calculation the correlative degree
- (4)
- Determination of the evaluation grade
3. Results
3.1. Overall Health Status of Aquatic Ecosystem in the Lake
3.2. Temporal and Spatial Variations in the Health Status of the Aquatic Ecosystem
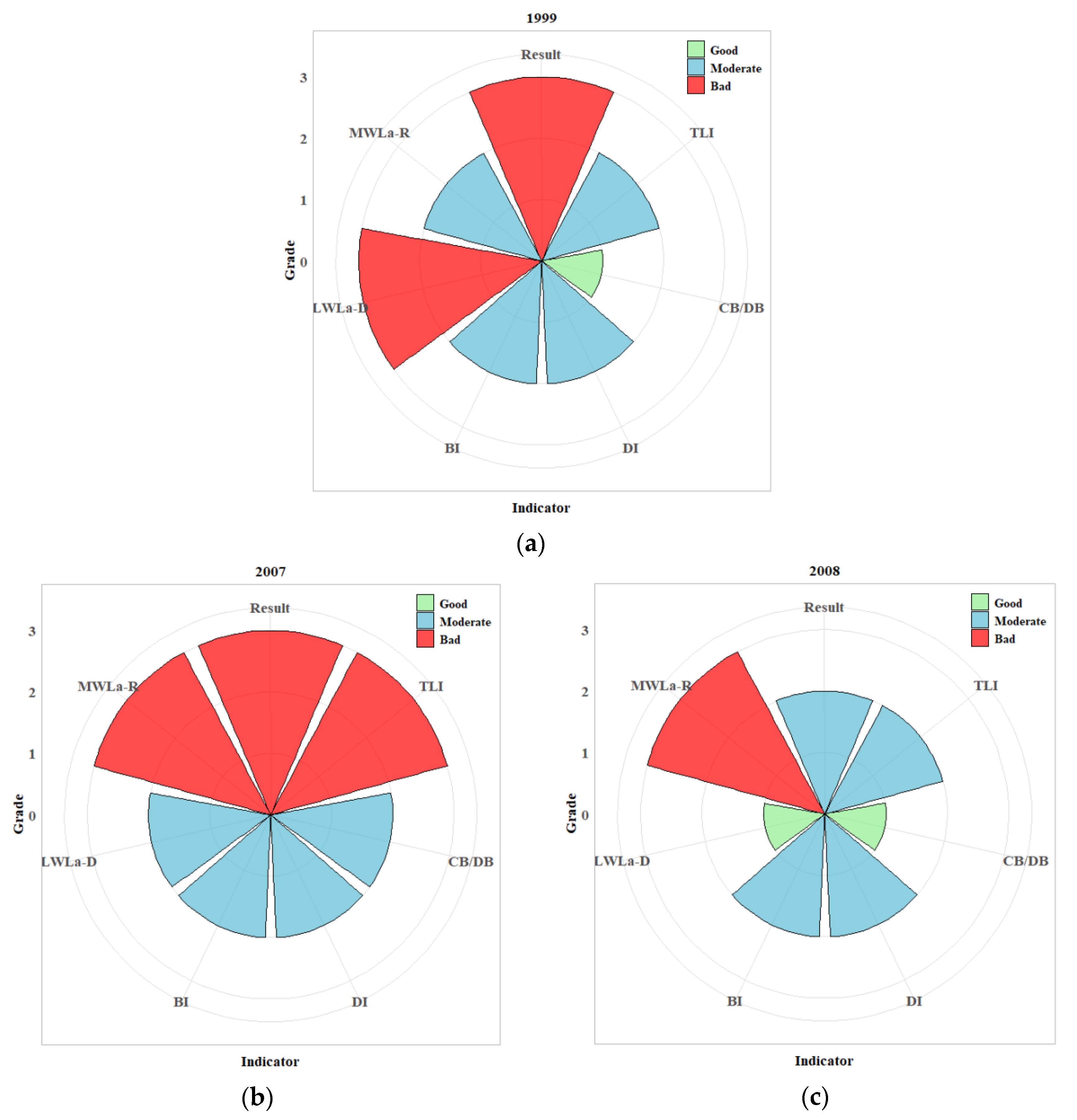
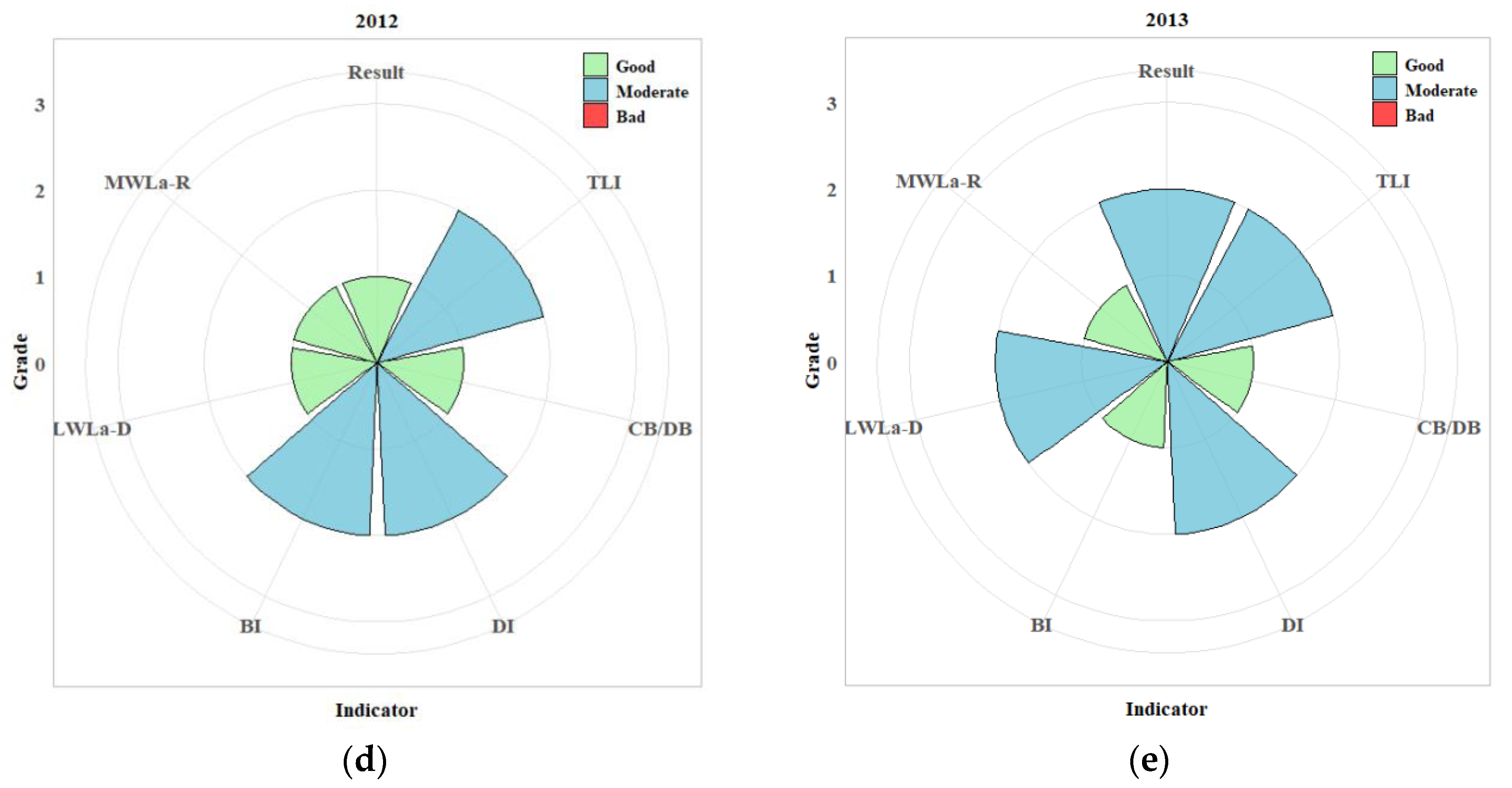
3.2.1. Temporal Succession (1999–2013)
3.2.2. Seasonal Variations
3.2.3. Spatial Variations
4. Discussion
4.1. Assessment Indicators
4.2. Assessment Method
4.3. Assessment Results
5. Conclusions
Author Contributions
Funding
Institutional Review Board Statement
Informed Consent Statement
Data Availability Statement
Acknowledgments
Conflicts of Interest
References
- Hering, D.; Carvalho, L.; Argillier, C. Managing aquatic ecosystems and water resources under multiple stress—An introduction to the MARS project. Sci. Total Environ. 2015, 503, 10–21. [Google Scholar] [CrossRef] [PubMed]
- Jackson, M.C.; Loewen, C.J.G.; Vinebrooke, R.D.; Chimimba, C.T. Net effects of multiple stressors in freshwater ecosystems: A meta-analysis. Glob. Chang. Biol. 2016, 22, 180–189. [Google Scholar] [CrossRef] [PubMed]
- Zhao, Q.; Huang, G.; Qian, H. Ecological environment and sustainable development of Poyang Lake. Acta Pedol. Sinica 2007, 44, 318–326. [Google Scholar]
- Yang, G.S.; Ma, R.H.; Zhang, L.; Jiang, J.H.; Yao, S.H.; Zhang, M.; Zeng, H.A. Lake status, major problems and protection strategy in China. J. Lake Sci. 2010, 22, 799–810. (In Chinese) [Google Scholar]
- Rapport, D.J. Evaluating ecosystem health. J. School Health 1992, 1, 15–24. [Google Scholar] [CrossRef]
- Silow, E.A.; Mokry, A.V. Exergy as a Tool for Ecosystem Health Assessment. Entropy 2010, 12, 902–925. [Google Scholar] [CrossRef]
- Zhang, Y.H.; Yang, G.S.; Wan, R.R.; Zhu, H.Y. Research on Ecosystem Health Assessment Indices and Thresholds of a Large Yangtze-connected Lake, Poyang Lake. Appl. Ecol. Environ. Res. 2019, 17, 11701–11716. [Google Scholar] [CrossRef]
- Xu, F.L.; Tao, S.; Dawson, R.W.; Li, P.G.; Cao, J. Lake ecosystem health assessment: Indicators and methods. Water Res. 2001, 35, 3157–3167. [Google Scholar] [CrossRef]
- Xu, F.; Yang, Z.F.; Chen, B.; Zhao, Y.W. Ecosystem Health Assessment of Baiyangdian Lake Based on Thermodynamic Indicators. Procedia Environ. Sci. 2012, 13, 2402–2413. [Google Scholar] [CrossRef][Green Version]
- Kane, D.D.; Gordon, S.I.; Munawar, M.; Charlton, M.N.; Culver, D.A. The Planktonic Index of Biotic Integrity (P-IBI): An approach for assessing lake ecosystem health. Ecol. Indic. 2009, 9, 1234–1247. [Google Scholar] [CrossRef]
- Zhang, Y.H.; Yang, G.S.; Li, B.; Cai, Y.J.; Chen, Y.W. Using eutrophication and ecological indicators to assess ecosystem condition in Poyang Lake a Yangtze connected lake. Aquat. Ecosyst. Health Manag. 2016, 19, 29–39. [Google Scholar] [CrossRef]
- Qi, L.Y.; Huang, J.C.; Huang, Q.; Gao, J.F.; Wang, S.G.; Guo, Y.Y. Assessing aquatic ecological health for Lake Poyang, China: Part II Index application. Water 2018, 10, 909. [Google Scholar] [CrossRef]
- Wong, H.; Hu, B.Q. Application of interval clustering approach to water quality evaluation. J. Hydrol. 2013, 491, 1–12. [Google Scholar] [CrossRef]
- Cai, W.; Lin, W.C. Extension Engineering Method; Science Press: Beijing, China, 1997. [Google Scholar]
- Wong, H.; Hu, B.Q. Application of improved extension evaluation method to water quality evaluation. J. Hydrol. 2014, 509, 539–548. [Google Scholar] [CrossRef]
- Hu, B. Application of extension assessment method. Shuili Xuebao 2000, 2, 66–70. (In Chinese) [Google Scholar]
- Liu, Y.B.; Wu, G.P.; Zhao, X.S. Recent declines in China’s largest freshwater lake: Trend or regime shift? Environ. Res. Lett. 2013, 8, 014010. [Google Scholar] [CrossRef]
- Wang, Y.Y.; Jia, Y.F.; Guan, L.; Cai, L.; Lei, G.C.; Li, W.; Liu, G.H. Optimising hydrological conditions to sustain wintering waterbird populations in Poyang Lake National Natural Reserve: Implications for dam operations. Freshwater Biol. 2013, 58, 2366–2379. [Google Scholar] [CrossRef]
- Hu, Z.P.; Ge, G.; Liu, C.; Chen, F.; Li, S. Structure of Poyang Lake Wetland Plants Ecosystem and Influence of Lake Water Level for the Structure. Resour. Environ. Yangtze Basin 2010, 19, 597–605. (In Chinese) [Google Scholar]
- Zhang, Q.; Ye, X.; Werner, A.D.; Li, Y.L.; Yao, J.; Li, X.H.; Xu, C.Y. An investigation of enhanced recessions in Poyang Lake: Comparison of Yangtze River and local catchment impacts. J. Hydrol. 2014, 517, 425–434. [Google Scholar] [CrossRef]
- Zhang, Q.; Li, L.; Wang, Y.; Werner, A.D.; Xin, P.; Jiang, T.; Barry, D.A. Has the Three-Gorges Dam made the Poyang Lake wetlands wetter and drier? Geophys. Res. Lett. 2012, 39, L20402. [Google Scholar] [CrossRef]
- Yang, G.; Zhang, Q.; Wan, R.; Lai, X.; Jiang, X.; Li, L.; Dai, H.; Lei, G.; Chen, J.; Lu, Y. Lake hydrology, water quality and ecology impacts of altered river-lake interactions: Advances in research on the middle Yangtze river. Hydrol. Res. 2016, 47 (Suppl. S1), 1–7. [Google Scholar] [CrossRef]
- Zhu, H.H.; Zhang, B. Poyang Lake, 1st ed.; Press of University of Science and Technology of China: Hefei, China, 1997. (In Chinese) [Google Scholar]
- Committee, C. Research on Poyang Lake; Shanghai Scientific & Technical Publishers: Shanghai, China, 1988. (In Chinese) [Google Scholar]
- Shankman, D.; Keim, B.D.; Song, J. Flood frequency in China’s Poyang Lake region: Trends and teleconnections. Int. J. Climatol. 2006, 26, 1255–1266. [Google Scholar] [CrossRef]
- Cheng, X.Y.; Li, S.J. An analysis on the evolvement processes of lake eutrophication and their characteristics of the typical lakes in the middle and lower reaches of Yangtze River. Chin. Sci. Bull. 2006, 51, 1603–1613. [Google Scholar] [CrossRef]
- Chen, G.J.; Zhou, W.B.; Li, M.T. Research on the Effect of Nitrogen and Phosphorus on the Phytoplankton Community in Poyang Lake. China Rural Water Hydropower 2013, 3, 48–61. (In Chinese) [Google Scholar]
- Committee, C. Atlas of Poyang Lake; Science Press: Beijing, China, 1993. (In Chinese) [Google Scholar]
- Xie, Q.M.; Li, C.C.; Peng, C.L. Primary Studies on Community Ecology of Floating Algae in Poyang Lake. Jiangxi Sci. 2000, 18, 162–166. (In Chinese) [Google Scholar]
- Mjelde, M.; Hellsten, S.; Ecke, F. A water level drawdown index for aquatic macrophytes in Nordic lakes. Hydrobiologia 2013, 704, 141–151. [Google Scholar] [CrossRef]
- Wang, M.C.; Liu, X.Q.; Zhang, J.H. Evaluate method and classification standard on lake eutrophication. Environ. Monit. China 2002, 18, 47–49. (In Chinese) [Google Scholar]
- Wu, Z.S.; Zhang, D.; Cai, Y.; Wang, X.; Zhang, L.; Chen, Y. Water quality assessment based on the water quality index method in Lake Poyang: The largest freshwater lake in China. Sci. Rep. 2017, 7, 17999. [Google Scholar] [CrossRef]
- Xu, C.P.; Li, S.C.; Chai, W.B.; Chen, Y.W. A newly recorded cyanobacterial species in water blooms occurred in Lake Poyang—Merismperdia convoluta Breb. Kützing. J. Lake Sci. 2012, 24, 643–646. (In Chinese) [Google Scholar]
- Li, B.; Yang, G.S.; Wan, R.R.; Zhang, L.; Zhang, Y.h.; Dai, X. Using fuzzy theory and variable weights for water quality evaluation in Poyang Lake, China. Chin. Geogr. Sci. 2017, 27, 39–51. [Google Scholar] [CrossRef]
- Zhang, L.; Chen, X.; Zhang, Y.; Chen, L.; Zhang, P. Spatial distribution of water quality and its impacting factor in the wet season of Poyang Lake using the hydro-geomorphological partitions. China Environ. Sci. 2014, 34, 2637–2645. [Google Scholar]
- Fan, F.P. The Study of Hydrodynamic Simulation of Poyang Lake Based on Delft3D Model; Jiangxi Normal University: Nanchang, China, 2010. (In Chinese) [Google Scholar]
- Wan, R.R.; Dai, X.; David, S. Vegetation Response to Hydrological Changes in Poyang Lake, China. Wetlands. 2019, 39, 99–112. [Google Scholar] [CrossRef]
- Xu, F.L. Exergy and structural exergy as ecological indicators for the development state of the Lake Chaohu ecosystem. Ecol. Model. 1997, 99, 41–49. [Google Scholar] [CrossRef]
- Xu, F.L.; Lam, K.C.; Zhao, Z.Y.; Zhan, W.; Chen, Y.D.; Tao, S. Marine coastal ecosystem health assessment: A case study of the Tolo Harbour, Hong Kong, China. Ecol. Model. 2004, 173, 355–370. [Google Scholar] [CrossRef]
- Wu, Z.; Cai, Y.; Liu, X.; Xu, C.P.; Chen, Y.; Zhang, L. Temporal and spatial variability of phytoplankton in Lake Poyang: The largest freshwater lake in China. J. Great Lakes Res. 2013, 39, 476–483. [Google Scholar] [CrossRef]
- Paerl, H.W.; Valdes, L.M.; Pinckney, J.L.; Piehler, M.F.; Dyble, J.; Moisander, P.H. Phytoplankton photopigments as indicators of estuarine and coastal eutrophication. BioScience 2003, 53, 953–964. [Google Scholar] [CrossRef]
- Bovo-Scomparin, V.M.; Train, S. Long-term variability of the phytoplankton community in an isolated floodplain lake of the Ivinhema River State Park, Brazil. Hydrobiologia 2008, 610, 331–344. [Google Scholar] [CrossRef]
- De Emiliani, M.O.G. Effects of water level fluctuations on phytoplankton in a river-floodplain lake system (Paraná River, Argentina). Hydrobiologia 1997, 357, 1–15. [Google Scholar] [CrossRef]
- Wantzen, K.; Rothhaupt, K.-O.; Mortl, M.; Cantonati, M.; Toth, L.G.; Fischer, P. Ecological effects of water-level fluctuations in lakes: An urgent issue. Hydrobiologia 2008, 613, 1–4. [Google Scholar] [CrossRef]
- Evitmova, V.V.; Donhoue, I. Water-level fluctuations regulate the structure and functioning of natural lakes. Freshwater Biol. 2016, 61, 251–264. [Google Scholar] [CrossRef]
- Zou, Z.H.; Yun, Y.; Sun, J.N. Entropy method for determination of weight of evaluating in fuzzy synthetic evaluation for water quality assessment indicators. J. Environ. Sci. 2006, 18, 1020–1023. [Google Scholar] [CrossRef]
- Dai, X.; Wan, R.R.; Yang, G.S. Non-stationary water-level fluctuation in China’s Poyang Lake and its interactions with Yangtze River. J. Geogr. Sci. 2015, 25, 274–288. [Google Scholar] [CrossRef]












| Years | Months | Sites | Parameters |
|---|---|---|---|
| 1999 | More details seen in previous research [29] | Biological parameters (such as density of phytoplankton) | |
| 2007 and 2008 | October and June | 24 sites and 35 sites | Physical, biological and chemical parameters (TN, TP, CODmn, Chl-a, CB, DB, macrozoobenthic density and SD) |
| 2012 and 2013 | Quarterly (January, April, July and October) | 15 sites, 68 sites (July) | |
| 1999, 2007, 2008, 2012 and 2013 | From January to December, monthly | Seven sites | Water level |
| Health Status/Indicators | CB/DB | DI | MWLa-R | BI | LWLa-D | TLI |
|---|---|---|---|---|---|---|
| Good | ≤0.4 | ≥2 | From −1.03 m to 1.05 m | 0–5.5 | From −0.76 m to 0.76 m | ≤40 |
| Moderate | 0.4–0.6 | 1–2 | From 1.05 m to 1.52 m and from −1.50 m to −1.03 m | 5.5–6.5 | From 0.76 m to 1.18 m and from −0.76 m to 1.18 m | 40–50 |
| Poor | 0–1 | 0–1 | From < −1.50 m to > 1.52 m | 6.5–10 | From <−1.18 m to > 1.18 m | ≥50 |
| Site | Weights | Grade | j*(p) | ||||||
|---|---|---|---|---|---|---|---|---|---|
| TLI | CB/DB | DI | BI | LWLa-D | MWLa-R | ||||
| 1 | 0.31 | 0.10 | 0.23 | 0.14 | 0.10 | 0.11 | 2 | 1.72 | −0.28 |
| 2 | 0.25 | 0.12 | 0.26 | 0.16 | 0.11 | 0.12 | 2 | 1.90 | −0.10 |
| 3 | 0.31 | 0.11 | 0.09 | 0.27 | 0.11 | 0.12 | 2 | 2.43 | 0.43 |
| 4 | 0.23 | 0.10 | 0.24 | 0.24 | 0.09 | 0.10 | 2 | 1.96 | −0.04 |
| 5 | 0.29 | 0.16 | 0.17 | 0.15 | 0.11 | 0.12 | 2 | 1.66 | −0.34 |
| 6 | 0.23 | 0.11 | 0.21 | 0.26 | 0.09 | 0.10 | 1 | 1.31 | 0.31 |
| 7 | 0.18 | 0.14 | 0.19 | 0.23 | 0.18 | 0.08 | 2 | 1.58 | −0.42 |
| 8 | 0.21 | 0.14 | 0.21 | 0.22 | 0.16 | 0.07 | 2 | 1.93 | −0.07 |
| 9 | 0.19 | 0.14 | 0.34 | 0.13 | 0.14 | 0.06 | 2 | 2.41 | 0.41 |
| 10 | 0.21 | 0.13 | 0.34 | 0.13 | 0.09 | 0.10 | 3 | 2.88 | −0.12 |
| 11 | 0.23 | 0.17 | 0.21 | 0.11 | 0.20 | 0.07 | 2 | 2.30 | 0.30 |
| 12 | 0.26 | 0.11 | 0.19 | 0.18 | 0.19 | 0.08 | 2 | 2.03 | 0.03 |
| 13 | 0.26 | 0.13 | 0.17 | 0.16 | 0.19 | 0.08 | 1 | 1.35 | 0.35 |
| 14 | 0.24 | 0.22 | 0.16 | 0.14 | 0.17 | 0.07 | 2 | 1.93 | −0.07 |
| 15 | 0.23 | 0.16 | 0.23 | 0.14 | 0.17 | 0.07 | 2 | 1.76 | −0.24 |
| Sites | Weights | Grade | j*(p) | ||||||
|---|---|---|---|---|---|---|---|---|---|
| TLI | CB/DB | DI | BI | LWLa-D | MWLa-R | ||||
| 2013 | 0.26 | 0.15 | 0.20 | 0.15 | 0.17 | 0.08 | 2 | 1.78 | −0.22 |
| 2012 | 0.23 | 0.14 | 0.22 | 0.18 | 0.12 | 0.11 | 1 | 1.39 | 0.39 |
| 2008 | 0.22 | 0.19 | 0.15 | 0.12 | 0.16 | 0.17 | 2 | 2.37 | 0.37 |
| 2007 | 0.21 | 0.06 | 0.18 | 0.13 | 0.12 | 0.30 | 3 | 2.54 | −0.46 |
| 1999 | 0.13 | 0.24 | 0.15 | 0.19 | 0.22 | 0.06 | 3 | 2.86 | −0.14 |
| Regions | Characteristics of Lake Surface and Depth | Flow Speed and Direction | Human Activities | Wusong Elevation (m) |
|---|---|---|---|---|
| Northern region connected to Yangtze River | Narrow waterway, deep | Faster velocity, northward flow | Sanding | −7~9.5 |
| Northwestern region | Semi-enclosed broad lake, relatively shallow | Uneven velocity, mixed flow direction | Complicated, sanding, high population density, fish farming, some inlets of river | 13~15 |
| Central lake | Broad lake, relatively shallow | Faster velocity, northward flow | Scarcely any affects | 9~13 |
| Eastern region | Lake Bay, depth of 1–3 m | Low flow rate | Substantial fish farming | 9~13 |
| Southern region | Washland and enclosed waters | Low flow rate or lentic lake | More inlets of river, serious pollution | 13~15 |
Publisher’s Note: MDPI stays neutral with regard to jurisdictional claims in published maps and institutional affiliations. |
© 2021 by the authors. Licensee MDPI, Basel, Switzerland. This article is an open access article distributed under the terms and conditions of the Creative Commons Attribution (CC BY) license (http://creativecommons.org/licenses/by/4.0/).
Share and Cite
Zhang, Y.; Zhu, H.; Li, B.; Yang, G.; Wan, R. Aquatic Ecosystem Health Assessment of Poyang Lake through Extension Evaluation Method. Water 2021, 13, 211. https://doi.org/10.3390/w13020211
Zhang Y, Zhu H, Li B, Yang G, Wan R. Aquatic Ecosystem Health Assessment of Poyang Lake through Extension Evaluation Method. Water. 2021; 13(2):211. https://doi.org/10.3390/w13020211
Chicago/Turabian StyleZhang, Yanhui, Hongyun Zhu, Bing Li, Guishan Yang, and Rongrong Wan. 2021. "Aquatic Ecosystem Health Assessment of Poyang Lake through Extension Evaluation Method" Water 13, no. 2: 211. https://doi.org/10.3390/w13020211
APA StyleZhang, Y., Zhu, H., Li, B., Yang, G., & Wan, R. (2021). Aquatic Ecosystem Health Assessment of Poyang Lake through Extension Evaluation Method. Water, 13(2), 211. https://doi.org/10.3390/w13020211
