Effect of Current Velocity on Cd Accumulation in the Aquatic Moss Fontinalis antipyretica
Abstract
1. Introduction
2. Materials and Methods
2.1. Obtaining the Moss Samples and Preparing the Transplants
2.2. Experimental Setup and Exposure
2.3. Analytical Procedures
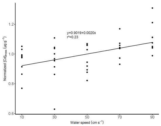
3. Results and Discussion
4. Conclusions
Supplementary Materials
Author Contributions
Funding
Institutional Review Board Statement
Informed Consent Statement
Data Availability Statement
Acknowledgments
Conflicts of Interest
References
- Schwarzenbach, R.P.; Egli, T.; Hofstetter, T.B.; Von Gunten, U.; Wehrli, B. Global Water Pollution and Human Health. Annu. Rev. Environ. Resour. 2010, 35, 109–136. [Google Scholar] [CrossRef]
- European Commission. European Parliament and of the Council Common Implementation Strategy for the Water Framework Directive (2000/60/EC): Guidance Document No. 25. Guidance on Chemical Monitoring of Sediments and Biota under Water Framework Directive; Office for the Official Publications in the European Communities: Luxembourg, 2010. [Google Scholar]
- US EPA. Clean Water Act; US EPA: Washington, DC, USA, 1972. [Google Scholar]
- Burton, M.A.S.; Peterson, P.J. Metal accumulation by aquatic bryophytes from polluted mine streams. Environ. Pollut. 1979, 19, 39–46. [Google Scholar] [CrossRef]
- Say, P.J.; Harding, J.P.C.; Whitton, B.A. Aquatic mosses as monitors of heavy metal contamination in the river etherow, great britain. Environ. Pollut. Ser. B Chem. Phys. 1981, 2, 295–307. [Google Scholar] [CrossRef]
- Debén, S.; Aboal, J.R.; Carballeira, A.; Cesa, M.; Fernández, J.A. Monitoring river water quality with transplanted bryophytes: A methodological review. Ecol. Indic. 2017, 81, 461–470. [Google Scholar] [CrossRef]
- Phillips, D.J.H. Quantitative Aquatic Biological Indicators: Their Use to Monitor Trace Metal and Organochlorine Pollution; Applied Science Publishers: Barking, UK, 1980. [Google Scholar]
- Debén, S.; Aboal, J.R.; Carballeira, A.; Cesa, M.; Real, C.; Fernández, J.A. Inland water quality monitoring with native bryophytes: A methodological review. Ecol. Indic. 2015, 53, 115–124. [Google Scholar] [CrossRef]
- Vázquez, M.D.; López, J.; Díaz, S.; Carballeira, A. The effect of pH on the kinetics of intra- and extracellular uptake of Al in Fontinalis antipyretica: Changes in the cellular contents of K, Mg, and Ca. Arch. Environ. Contam. Toxicol. 2000, 39, 74–85. [Google Scholar] [CrossRef] [PubMed]
- Croisetière, L.; Hare, L.; Tessier, A. Influence of Current Velocity on Cadmium Accumulation by an Aquatic Moss and the Consequences for Its Use as a Biomonitor. Environ. Sci. Technol. 2001, 35, 923–927. [Google Scholar] [CrossRef] [PubMed]
- Jørgensen, B.B.; Des Marais, D.J. The diffusive boundary layer of sediments: Oxygen microgradients over a microbial mat. Limnol. Oceanogr. 1990, 35, 1343–1355. [Google Scholar] [CrossRef] [PubMed]
- Gonçalves, E.P.R.; Boaventura, R.A.R.; Mouvet, C. Sediments and aquatic mosses as pollution indicators for heavy metals in the Ave river basin (Portugal). Sci. Total Environ. 1992, 114, 7–24. [Google Scholar] [CrossRef]
- Aboal, J.R.; Fernández, J.A.; Boquete, T.; Carballeira, A. Is it possible to estimate atmospheric deposition of heavy metals by analysis of terrestrial mosses? Sci. Total Environ. 2010, 408, 6291–6297. [Google Scholar] [CrossRef] [PubMed]
- Say, P.J.; Whitton, B.A. Accumulation of heavy metals by aquatic mosses. 1: Fontinalis antipyretica Hedw. Hydrobiologia 1983, 100, 245–260. [Google Scholar] [CrossRef]
- Debén, S.; Fernández, J.A.; Carballeira, A.; Aboal, J.R. Using devitalized moss for active biomonitoring of water pollution. Environ. Pollut. 2016, 210, 315–322. [Google Scholar] [CrossRef]
- Schulze, K.; Hunger, M.; Döll, P. Simulating river flow velocity on global scale. Adv. Geosci. 2005, 5, 133–136. [Google Scholar] [CrossRef]
- Zar, J.H. Biostatistical Analysis, 5th ed.; Prentice-Hall: Upper Saddle River, NJ, USA, 2010. [Google Scholar]
- R Core Team. R: A Language and Environment for Statistical Computing; R Core Team: Vienna, Austria, 2020. [Google Scholar]
- Favas, P.J.C.; Pratas, J.; Rodrigues, N.; D’Souza, R.; Varun, M.; Paul, M.S. Metal(loid) accumulation in aquatic plants of a mining area: Potential for water quality biomonitoring and biogeochemical prospecting. Chemosphere 2018, 194, 158–170. [Google Scholar] [CrossRef] [PubMed]
- García-Álvaro, M.A.; Martínez-Abaigar, J.; Núñez-Olivera, E.; Beaucourt, N. Element concentrations and enrichment ratios in the aquatic moss Rhynchostegium riparioides along the River Iregua (La Rioja, northern Spain). Bryologist 2000, 103, 518–533. [Google Scholar] [CrossRef]
- López, J.; Vázquez, M.D.; Carballeira, A. Stress responses and metal exchange kinetics following transplant of the aquatic moss Fontinalis antipyretica. Freshw. Biol. 1994, 32, 185–198. [Google Scholar] [CrossRef]
- Fernández, J.A.; Vázquez, M.D.; López, J.; Carballeira, A. Modelling the extra and intracellular uptake and discharge of heavy metals in Fontinalis antipyretica transplanted along a heavy metal and pH contamination gradient. Environ. Pollut. 2006, 139, 21–31. [Google Scholar] [CrossRef] [PubMed]



Publisher’s Note: MDPI stays neutral with regard to jurisdictional claims in published maps and institutional affiliations. |
© 2021 by the authors. Licensee MDPI, Basel, Switzerland. This article is an open access article distributed under the terms and conditions of the Creative Commons Attribution (CC BY) license (http://creativecommons.org/licenses/by/4.0/).
Share and Cite
Vázquez-Arias, A.; Debén, S.; Casanova, A.; Pacín, C.; Aboal, J.R.; Fernández, J.A. Effect of Current Velocity on Cd Accumulation in the Aquatic Moss Fontinalis antipyretica. Water 2021, 13, 157. https://doi.org/10.3390/w13020157
Vázquez-Arias A, Debén S, Casanova A, Pacín C, Aboal JR, Fernández JA. Effect of Current Velocity on Cd Accumulation in the Aquatic Moss Fontinalis antipyretica. Water. 2021; 13(2):157. https://doi.org/10.3390/w13020157
Chicago/Turabian StyleVázquez-Arias, Antón, Sofía Debén, Adrián Casanova, Carme Pacín, Jesús R. Aboal, and José A. Fernández. 2021. "Effect of Current Velocity on Cd Accumulation in the Aquatic Moss Fontinalis antipyretica" Water 13, no. 2: 157. https://doi.org/10.3390/w13020157
APA StyleVázquez-Arias, A., Debén, S., Casanova, A., Pacín, C., Aboal, J. R., & Fernández, J. A. (2021). Effect of Current Velocity on Cd Accumulation in the Aquatic Moss Fontinalis antipyretica. Water, 13(2), 157. https://doi.org/10.3390/w13020157

